• 文献检索
  • 文档翻译
  • 深度研究
  • 学术资讯
  • Suppr Zotero 插件Zotero 插件
  • 邀请有礼
  • 套餐&价格
  • 历史记录
应用&插件
Suppr Zotero 插件Zotero 插件浏览器插件Mac 客户端Windows 客户端微信小程序
定价
高级版会员购买积分包购买API积分包
服务
文献检索文档翻译深度研究API 文档MCP 服务
关于我们
关于 Suppr公司介绍联系我们用户协议隐私条款
关注我们

Suppr 超能文献

核心技术专利:CN118964589B侵权必究
粤ICP备2023148730 号-1Suppr @ 2026

文献检索

告别复杂PubMed语法,用中文像聊天一样搜索,搜遍4000万医学文献。AI智能推荐,让科研检索更轻松。

立即免费搜索

文件翻译

保留排版,准确专业,支持PDF/Word/PPT等文件格式,支持 12+语言互译。

免费翻译文档

深度研究

AI帮你快速写综述,25分钟生成高质量综述,智能提取关键信息,辅助科研写作。

立即免费体验

生物特征能否作为鱼类引入、定殖和相互作用的预测指标?以地中海为例。

Can Biological Traits Serve as Predictors for Fishes' Introductions, Establishment, and Interactions? The Mediterranean Sea as a Case Study.

作者信息

Karachle Paraskevi K, Oikonomou Anthi, Pantazi Maria, Stergiou Konstantinos I, Zenetos Argyro

机构信息

Institute of Marine Biological Resources and Inland Waters, Hellenic Centre for Marine Research, 19013 Attika, Greece.

Department of Zoology, School of Biology, Aristotle University of Thessaloniki, U.P.B. 134, 54124 Thessaloniki, Greece.

出版信息

Biology (Basel). 2022 Nov 7;11(11):1625. doi: 10.3390/biology11111625.

DOI:10.3390/biology11111625
PMID:36358326
原文链接:https://pmc.ncbi.nlm.nih.gov/articles/PMC9687294/
Abstract

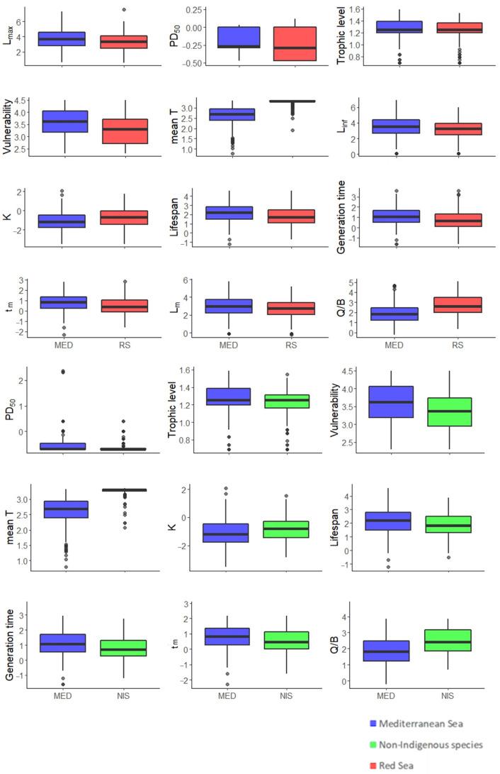
The Mediterranean Sea (MED) is prone to species' introductions, induced by human activities and/or climate change. Recent studies focus on the biological traits that result in such introductions, yet on a single-area-type approach. Here, we used, analyzed, and compared biological traits derived from FishBase for MED, non-indigenous (NIS) and neonative (NEO) in the Mediterranean, and adjacent Atlantic (ATL) and Red Sea (RS) species. A quantitative trait-based analysis was performed using random forest to determine the importance of traits in the successful establishment in the Mediterranean. MED fishes were mainly demersal, slow growing and small-medium sized, preferring intermediate temperatures. Conversely, ATL were mainly deep-dwelling species, preferring low temperatures. RS and NIS were predominantly reef-associated, thermophilus, and stenothermic. NEO species were stenothermic with preference to intermediate-high temperatures. Omnivores with preference to animals was the most common trophic group among regions. MED species exhibited higher phylogenetic uniqueness (PD) compared to RS and NIS, indicating that they have long ancestral branches and few descendants. Preferred temperature, habitat type preference and maximum reported length (L) and infinite length (L) were the most important predictors in the establishment process. Overall, the results presented here could serve as a baseline for future research, especially by using more refined and/or additional biological trail estimates.

摘要

地中海(MED)容易受到由人类活动和/或气候变化引发的物种引入。最近的研究聚焦于导致此类引入的生物学特征,但采用的是单一区域类型的方法。在此,我们使用、分析并比较了源自鱼类数据库(FishBase)的地中海、地中海非本土(NIS)和新本土(NEO)物种以及相邻大西洋(ATL)和红海(RS)物种的生物学特征。使用随机森林进行了基于定量特征的分析,以确定特征在地中海成功定殖中的重要性。地中海鱼类主要为底栖性,生长缓慢,体型中小,偏好中等温度。相反,大西洋鱼类主要是深海栖息物种,偏好低温。红海和非本土物种主要与珊瑚礁相关,喜温且狭温。新本土物种狭温,偏好中高温。各区域中偏好动物的杂食动物是最常见的营养类群。与红海和非本土物种相比,地中海物种表现出更高的系统发育独特性(PD),表明它们具有长的祖先分支和较少的后代。偏好温度、栖息地类型偏好以及最大报道体长(L)和无限体长(L)是定殖过程中最重要的预测因子。总体而言,本文给出的结果可作为未来研究的基线,特别是通过使用更精细和/或更多的生物学特征估计。

https://cdn.ncbi.nlm.nih.gov/pmc/blobs/9864/9687294/791118d41a6d/biology-11-01625-g005.jpg
https://cdn.ncbi.nlm.nih.gov/pmc/blobs/9864/9687294/586edc532df1/biology-11-01625-g001.jpg
https://cdn.ncbi.nlm.nih.gov/pmc/blobs/9864/9687294/50cfcf733385/biology-11-01625-g002.jpg
https://cdn.ncbi.nlm.nih.gov/pmc/blobs/9864/9687294/b59614ed367c/biology-11-01625-g003.jpg
https://cdn.ncbi.nlm.nih.gov/pmc/blobs/9864/9687294/e5678693a314/biology-11-01625-g004.jpg
https://cdn.ncbi.nlm.nih.gov/pmc/blobs/9864/9687294/791118d41a6d/biology-11-01625-g005.jpg
https://cdn.ncbi.nlm.nih.gov/pmc/blobs/9864/9687294/586edc532df1/biology-11-01625-g001.jpg
https://cdn.ncbi.nlm.nih.gov/pmc/blobs/9864/9687294/50cfcf733385/biology-11-01625-g002.jpg
https://cdn.ncbi.nlm.nih.gov/pmc/blobs/9864/9687294/b59614ed367c/biology-11-01625-g003.jpg
https://cdn.ncbi.nlm.nih.gov/pmc/blobs/9864/9687294/e5678693a314/biology-11-01625-g004.jpg
https://cdn.ncbi.nlm.nih.gov/pmc/blobs/9864/9687294/791118d41a6d/biology-11-01625-g005.jpg

相似文献

1
Can Biological Traits Serve as Predictors for Fishes' Introductions, Establishment, and Interactions? The Mediterranean Sea as a Case Study.生物特征能否作为鱼类引入、定殖和相互作用的预测指标?以地中海为例。
Biology (Basel). 2022 Nov 7;11(11):1625. doi: 10.3390/biology11111625.
2
Ecological traits and environmental affinity explain Red Sea fish introduction into the Mediterranean.生态特征和环境亲和力解释了红海鱼类引入地中海的现象。
Glob Chang Biol. 2013 May;19(5):1373-82. doi: 10.1111/gcb.12132. Epub 2013 Feb 11.
3
Improving predictions of invasive fish ranges combining functional and ecological traits with environmental suitability under climate change scenarios.结合功能和生态特征以及气候变化情景下的环境适宜性,改进入侵鱼类分布范围的预测。
Glob Chang Biol. 2021 Dec;27(23):6086-6102. doi: 10.1111/gcb.15896. Epub 2021 Sep 27.
4
Exploring the relationships between marine protected areas and invasive fish in the world's most invaded sea.探讨世界上受入侵最严重海域的海洋保护区与入侵鱼类之间的关系。
Ecol Appl. 2019 Jan;29(1):e01809. doi: 10.1002/eap.1809. Epub 2018 Nov 30.
5
Hydroids (Cnidaria, Hydrozoa) from Mauritanian Coral Mounds.来自毛里塔尼亚珊瑚丘的水螅虫纲动物(刺胞动物门,水螅虫纲)。
Zootaxa. 2020 Nov 16;4878(3):zootaxa.4878.3.2. doi: 10.11646/zootaxa.4878.3.2.
6
Thermal affinity as the dominant factor changing Mediterranean fish abundances.热亲和性是改变地中海鱼类丰度的主导因素。
Glob Chang Biol. 2018 Jan;24(1):e80-e89. doi: 10.1111/gcb.13835. Epub 2017 Sep 1.
7
Climate change and body size shift in Mediterranean bivalve assemblages: unexpected role of biological invasions.地中海双壳类组合中的气候变化与体型变化:生物入侵的意外作用
Proc Biol Sci. 2017 Aug 16;284(1860). doi: 10.1098/rspb.2017.0357.
8
Decoding the spread of non-indigenous fishes in the Mediterranean Sea.解析非本地鱼类在地中海的扩散。
Sci Rep. 2024 Mar 20;14(1):6669. doi: 10.1038/s41598-024-57109-8.
9
Chapter 4. Susceptibility of sharks, rays and chimaeras to global extinction.第 4 章 鲨鱼、鳐鱼和银鲛的全球灭绝易感性。
Adv Mar Biol. 2009;56:275-363. doi: 10.1016/S0065-2881(09)56004-X.
10
New Record of sp. (Family: Nephtheidae) from Mediterranean Israel: Evidence for Tropicalization?来自以色列地中海地区的新物种记录(海鳃科):热带化的证据?
Biology (Basel). 2023 Sep 8;12(9):1220. doi: 10.3390/biology12091220.

引用本文的文献

1
Cumulative Negative Impacts of Invasive Alien Species on Marine Ecosystems of the Aegean Sea.外来入侵物种对爱琴海海洋生态系统的累积负面影响。
Biology (Basel). 2023 Jun 29;12(7):933. doi: 10.3390/biology12070933.

本文引用的文献

1
Species invasiveness and community invasibility of North American freshwater fish fauna revealed via trait-based analysis.基于特征分析揭示的北美的淡水鱼类区系的物种入侵性和群落入侵性。
Nat Commun. 2023 Apr 22;14(1):2332. doi: 10.1038/s41467-023-38107-2.
2
Improving predictions of invasive fish ranges combining functional and ecological traits with environmental suitability under climate change scenarios.结合功能和生态特征以及气候变化情景下的环境适宜性,改进入侵鱼类分布范围的预测。
Glob Chang Biol. 2021 Dec;27(23):6086-6102. doi: 10.1111/gcb.15896. Epub 2021 Sep 27.
3
The gill-oxygen limitation theory (GOLT) and its critics.
鳃氧限制理论(GOLT)及其批评者。
Sci Adv. 2021 Jan 6;7(2). doi: 10.1126/sciadv.abc6050. Print 2021 Jan.
4
Trait-based life strategies, ecological niches, and niche overlap in the nekton of the data-poor Mediterranean Sea.基于性状的生活策略、生态位以及数据匮乏的地中海海洋生物中的生态位重叠
Ecol Evol. 2020 May 26;10(14):7129-7144. doi: 10.1002/ece3.6414. eCollection 2020 Jul.
5
Mediterranean nekton traits: distribution, relationships and significance for marine ecology monitoring and management.地中海海洋生物特征:分布、关系及其对海洋生态监测与管理的意义。
PeerJ. 2020 Feb 14;8:e8494. doi: 10.7717/peerj.8494. eCollection 2020.
6
Developing a list of invasive alien species likely to threaten biodiversity and ecosystems in the European Union.制定一份可能威胁欧盟生物多样性和生态系统的入侵外来物种清单。
Glob Chang Biol. 2019 Mar;25(3):1032-1048. doi: 10.1111/gcb.14527. Epub 2018 Dec 12.
7
Productive instability of coral reef fisheries after climate-driven regime shifts.气候驱动的生态系统状态改变后,珊瑚礁渔业的生产力不稳定。
Nat Ecol Evol. 2019 Feb;3(2):183-190. doi: 10.1038/s41559-018-0715-z. Epub 2018 Nov 12.
8
Horizon scanning for invasive alien species with the potential to threaten biodiversity in Great Britain.对有可能威胁英国生物多样性的外来入侵物种进行前沿扫描。
Glob Chang Biol. 2014 Dec;20(12):3859-71. doi: 10.1111/gcb.12603. Epub 2014 May 19.
9
Population structure in the native range predicts the spread of introduced marine species.本土范围内的种群结构可以预测引入的海洋物种的扩散。
Proc Biol Sci. 2013 Apr 17;280(1760):20130409. doi: 10.1098/rspb.2013.0409. Print 2013 Jun 7.
10
A phylogenetic perspective on the evolution of Mediterranean teleost fishes.从系统发生学角度看地中海硬骨鱼类的演化。
PLoS One. 2012;7(5):e36443. doi: 10.1371/journal.pone.0036443. Epub 2012 May 8.