Suppr超能文献

微晶纤维素对含扩链剂的PBAT/热塑性淀粉生物可降解薄膜性能的影响

Effect of Microcrystalline Cellulose on the Properties of PBAT/Thermoplastic Starch Biodegradable Film with Chain Extender.

作者信息

Lang Haitao, Chen Xianlei, Tian Jiarong, Chen Jing, Zhou Mengna, Lu Fangfang, Qian Shaoping

机构信息

School of Materials Science and Chemical Engineering, Ningbo University, Ningbo 315211, China.

Zhoushan Institute of Calibration and Testing for Quality and Technology Supervision, Zhoushan 316000, China.

出版信息

Polymers (Basel). 2022 Oct 25;14(21):4517. doi: 10.3390/polym14214517.

Abstract

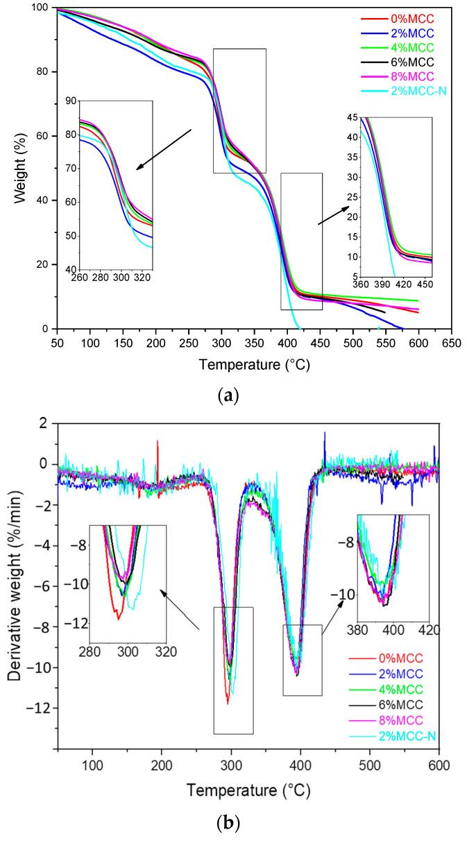
Poly (butylene adipate-co-terephthalate) (PBAT) is a fully biodegradable polymer with toughness and ductility. It is usually compounded with thermoplastic starch (TPS) to balance the cost for manufacturing biodegradable films such as disposable plastic bags. However, blending with TPS reduces valuable tensile strength, which limits the bearing capacity of PBAT film. In this study, microcrystalline cellulose (MCC) was employed as a reinforcement to strengthen the PBAT/TPS biodegradable film. The effect of MCC content on the mechanical, thermal, and morphological properties of the composite film were investigated. The optimal tensile strength and elongation at break reached 5.08 MPa and 230% when 4% MCC was added. The thermal stability and thermal resistance were improved with the addition of MCC; for example, T increased by 1 °C and T increased by 2-8 °C. Moreover, good compatibility among PBAT, TPS, and MCC can be achieved when the MCC content was below 6%. Consequently, the optimal MCC content was found to be 4%. These results could provide experimental data and method support for preparing high-performance PBAT hybrid films.

摘要

聚(己二酸丁二醇酯-co-对苯二甲酸丁二醇酯)(PBAT)是一种具有韧性和延展性的完全可生物降解聚合物。它通常与热塑性淀粉(TPS)共混,以平衡制造一次性塑料袋等可生物降解薄膜的成本。然而,与TPS共混会降低宝贵的拉伸强度,这限制了PBAT薄膜的承载能力。在本研究中,微晶纤维素(MCC)被用作增强剂来强化PBAT/TPS可生物降解薄膜。研究了MCC含量对复合薄膜力学、热学和形态学性能的影响。添加4%的MCC时,最佳拉伸强度和断裂伸长率分别达到5.08 MPa和230%。添加MCC提高了热稳定性和耐热性;例如,T增加了1℃,T增加了2 - 8℃。此外,当MCC含量低于6%时,PBAT、TPS和MCC之间可实现良好的相容性。因此,发现最佳MCC含量为4%。这些结果可为制备高性能PBAT混合薄膜提供实验数据和方法支持。

https://cdn.ncbi.nlm.nih.gov/pmc/blobs/3470/9659196/56b0fd204131/polymers-14-04517-g001.jpg

文献AI研究员

20分钟写一篇综述,助力文献阅读效率提升50倍。

立即体验

用中文搜PubMed

大模型驱动的PubMed中文搜索引擎

马上搜索

文档翻译

学术文献翻译模型,支持多种主流文档格式。

立即体验