Suppr超能文献

PI3K 抑制与吡格列酮联合作用对急性早幼粒细胞白血病细胞的影响。

Synergistic effects of PI3K inhibition and pioglitazone against acute promyelocytic leukemia cells.

机构信息

Department of Hematology and Blood Banking, School of Allied Medical Sciences, Shahid Beheshti University of Medical Sciences, Tehran, Iran.

出版信息

Mol Genet Genomic Med. 2023 Mar;11(3):e2106. doi: 10.1002/mgg3.2106. Epub 2022 Nov 18.

Abstract

BACKGROUND

Although pioglitazone, a well-known anti-diabetic agent, has recently established itself as a pillar of cancer treatment, its therapeutic value could be attenuated by the aberrant activation of the PI3K/Akt pathway.

AIM

To evaluate whether the PI3K/Akt suppression in leukemic cells could potentiate the anti-leukemic effects of pioglitazone.

METHODS

To assess the anti-leukemic effects of PI3K/Akt inhibitors on anti-leukemic effects of pioglitazone, we used MTT and trypan blue assays. Flow cytometric analysis and qRT-PCR were also applied to evaluate cell cycle and apoptosis.

RESULT

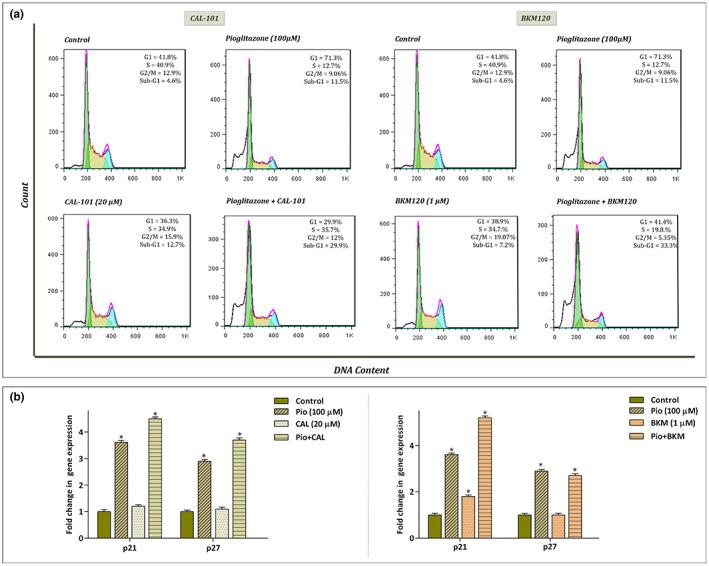
The resulting data revealed that upon PPARγ stimulation in different leukemic cell lines using pioglitazone, the survival and the proliferative capacity of the cells were significantly halted. Then, we evaluated the impact of the PI3K/Akt axis on the effectiveness of the drug in the most sensitive leukemic cell line; NB4 cells. Our results showed that treatment of NB4 cells with the PI3K inhibitors increased the sensitivity of leukemic cells to pioglitazone to the degree that even lower concentrations of the agent succeeded to induce apoptotic as well as the anti-proliferative effects. Moreover, it seems that PI3K inhibition could potentiate the anti-leukemic effect of pioglitazone through induction of p21-mediated sub-G1 cell cycle arrest and altering the balance between the pro-and anti-apoptotic genes.

CONCLUSION

This study sheds light on the significance of the PI3K/Akt pathway in APL cell sensitivity to pioglitazone and proposed that the presence of the PI3K inhibitor in the therapeutic regimen containing pioglitazone could be promising in the treatment of this malignancy.

摘要

背景

吡格列酮作为一种著名的抗糖尿病药物,最近已成为癌症治疗的主要药物之一,但由于 PI3K/Akt 通路的异常激活,其治疗效果可能会受到影响。

目的

评估白血病细胞中 PI3K/Akt 的抑制是否可以增强吡格列酮的抗白血病作用。

方法

为了评估 PI3K/Akt 抑制剂对吡格列酮抗白血病作用的影响,我们使用 MTT 和台盼蓝测定法。还应用流式细胞术分析和 qRT-PCR 来评估细胞周期和细胞凋亡。

结果

结果数据显示,在不同的白血病细胞系中使用吡格列酮刺激 PPARγ 后,细胞的存活和增殖能力明显受到抑制。然后,我们评估了 PI3K/Akt 轴对最敏感的白血病细胞系(NB4 细胞)中药物有效性的影响。我们的结果表明,用 PI3K 抑制剂处理 NB4 细胞可使白血病细胞对吡格列酮的敏感性增加,以至于即使较低浓度的药物也能诱导细胞凋亡和抗增殖作用。此外,PI3K 抑制似乎可以通过诱导 p21 介导的亚 G1 细胞周期阻滞和改变促凋亡和抗凋亡基因之间的平衡来增强吡格列酮的抗白血病作用。

结论

本研究揭示了 PI3K/Akt 通路在 APL 细胞对吡格列酮敏感性中的重要性,并提出在含有吡格列酮的治疗方案中加入 PI3K 抑制剂可能对治疗这种恶性肿瘤有希望。

https://cdn.ncbi.nlm.nih.gov/pmc/blobs/5806/10009912/378b22b59811/MGG3-11-e2106-g004.jpg

文献AI研究员

20分钟写一篇综述,助力文献阅读效率提升50倍。

立即体验

用中文搜PubMed

大模型驱动的PubMed中文搜索引擎

马上搜索

文档翻译

学术文献翻译模型,支持多种主流文档格式。

立即体验