Bagheri Vahid, Ghanbarzadeh Babak, Parastouei Karim, Baghersad Mohammad Hadi
Health Research Centre, Life Style Institute, Baqiyatallah University of Medical Sciences, Tehran P.O. Box 51666-16471, Iran.
Department of Food Science and Technology, Faculty of Agriculture, University of Tabriz, Tabriz P.O. Box 51666-16471, Iran.
Foods. 2022 Nov 8;11(22):3553. doi: 10.3390/foods11223553.
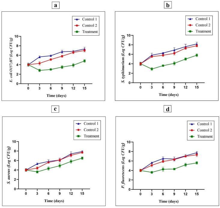
In this research work, the effects of myrtle essential oil (MEO) and Caucasian whortleberry extract (CWE) as natural additives were investigated on mechanical, physico-mechanical and antimicrobial properties of gellan/polyvinyl alcohol (G/PVA) film. Then, optimal blend active films were used for the wrapping of turkey breast meat stored at low temperature (4 ± 1 °C) for 15 days and chemical and sensory properties of wrapped meats were evaluated. The addition of MEO and CWE decreased tensile strength and increased the strain at the break of the films ( ≤ 0.05). Additionally, with increasing the amount of MEO and CWE, the permeability to water vapor (WVP) and the moisture content (MC) of the films decreased ( ≤ 0.05). MIC test showed that MEO and CWE were effective against , , , and . at the concentrations of 5-6 and 15-17 mg/mL, respectively. Different microbiological, chemical, and sensory tests indicated that active films significantly enhanced the shelf life of turkey breast meat ( ≤ 0.05). Therefore, based on our finding in this study, the use of these active and biodegradable packagings can be effective and useful for protecting the microbial and sensory quality of turkey breast meat.
在本研究工作中,研究了作为天然添加剂的桃金娘精油(MEO)和高加索越橘提取物(CWE)对结冷胶/聚乙烯醇(G/PVA)薄膜的机械性能、物理机械性能和抗菌性能的影响。然后,将最佳混合活性薄膜用于低温(4±1℃)储存15天的火鸡胸肉的包装,并评估包装后肉类的化学和感官特性。添加MEO和CWE会降低薄膜的拉伸强度并增加其断裂伸长率(≤0.05)。此外,随着MEO和CWE用量的增加,薄膜的水蒸气透过率(WVP)和水分含量(MC)降低(≤0.05)。最低抑菌浓度(MIC)测试表明,MEO和CWE分别在5 - 6mg/mL和15 - 17mg/mL的浓度下对[具体菌种未给出]、[具体菌种未给出]、[具体菌种未给出]和[具体菌种未给出]有效。不同的微生物学、化学和感官测试表明,活性薄膜显著延长了火鸡胸肉的货架期(≤0.05)。因此,基于我们在本研究中的发现,使用这些活性和可生物降解的包装对于保护火鸡胸肉的微生物和感官品质可能是有效且有用的。