Suppr超能文献

超声-磁同轴复合 GTAW 的电弧特性

Arc Characteristics of Ultrasonic-Magnetic Coaxial Hybrid GTAW.

作者信息

Du Wenbo, Li Wenlong, Li Yue, Chen Chao

机构信息

National Key Laboratory for Remanufacturing, Army Academy of Armored Forces, Beijing 100072, China.

College of Mechanical and Electrical Engineering, Northeast Forestry University, Harbin 150040, China.

出版信息

Materials (Basel). 2022 Nov 16;15(22):8130. doi: 10.3390/ma15228130.

Abstract

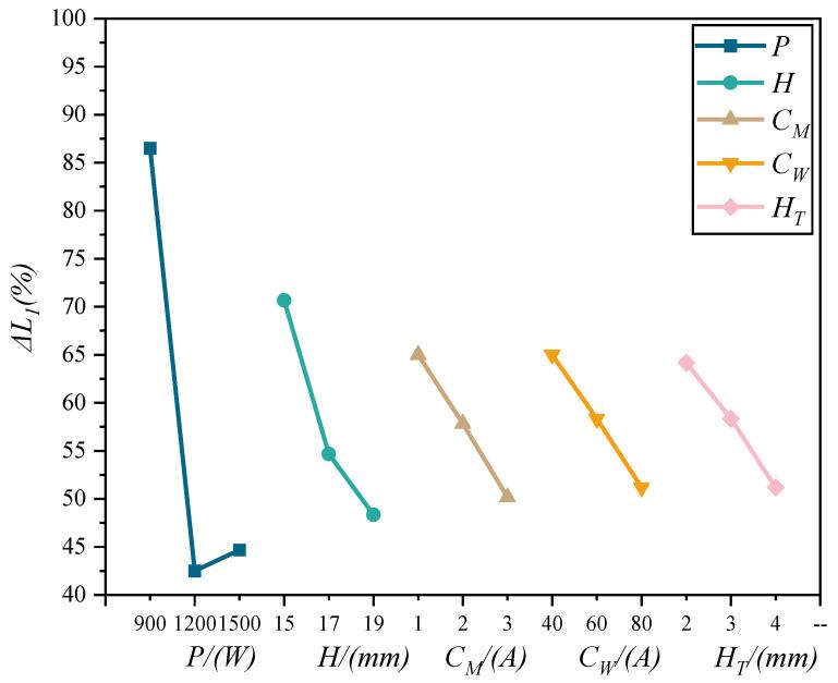
Ultrasonic-magnetic field coaxial hybrid GTAW(U-M-GTAW) is a new non-melting electrode welding method proposed by combining ultrasonic assisted GTAW(U-GTAW) and magnetic assisted GTAW(M-GTAW) on the regulation characteristics of the GTAW arc. U-M-GTAW introduces ultrasonic and magnetic field effects into GTAW to improve arc characteristics. The orthogonal experiment was designed to investigate the degree of influence of different process parameters on the arc. The degree of influence of ultrasonic power , radiator height , magnetic field current , welding current and tungsten electrode height on Δ (degree of arc root diameter change), Δ (degree of maximum diameter change) and Δ (degree of area change) were analyzed. In the parameter range, has the greatest degree of influence on Δ and Δ. As all process parameters increase, shows a tendency to decrease, indicating an increase in the compression of the arc root. Δ with the increase in and shows a trend of first decreasing and then increasing. Δ with the increase in decreases, indicating that the acoustic radiation force increases, the arc energy increases, and the dark region decreases. The magnetic field current increases, the bottom of the arc expands, and the height of the tungsten electrode increases, the arc dispersion and thus the difference between the dark and luminous regions at the bottom increases, resulting in Δ with the increase in and H increases. has the greatest degree of influence on Δ. Δ decreases and then increases as and increase, which indicates that the force on acoustic radiation increases and then decreases in the range. An increase in the magnetic field current increases the rotation of the arc, leading to an increase in the arc area. An increase in welding current leads to an increase in arc energy, expansion of the arc morphology, and an increase in Δ. The tungsten electrode height increases, the arc diverges, the dark region increases, the luminous area decreases, and Δ increases. Finally, combined with the analysis of ultrasonic field and magnetic field theory, changes in process parameters will affect the force of the arc and thus the arc morphology. The U-M-GTAW arc under the action of acoustic radiation force, the plasma flow is shifted in the direction of the arc axis, and the arc contraction, under the action of magnetic field force to generate circumferential current, the arc undergoes periodic rotation, which improves GTAW arc characteristics.

摘要

超声-磁场同轴复合 GTAW(U-M-GTAW)是一种通过将超声辅助 GTAW(U-GTAW)和磁辅助 GTAW(M-GTAW)结合在 GTAW 电弧调节特性上而提出的新型非熔化极焊接方法。U-M-GTAW 将超声和磁场效应引入 GTAW 以改善电弧特性。设计了正交试验来研究不同工艺参数对电弧的影响程度。分析了超声功率、散热器高度、磁场电流、焊接电流和钨极高度对Δ(电弧根部直径变化程度)、Δ(最大直径变化程度)和Δ(面积变化程度)的影响程度。在参数范围内,对Δ和Δ的影响程度最大。随着所有工艺参数的增加,呈现出减小的趋势,表明电弧根部的压缩增加。随着和的增加,Δ呈现出先减小后增加的趋势。随着的增加,Δ减小,表明声辐射力增加,电弧能量增加,暗区减小。磁场电流增加,电弧底部扩展,钨极高度增加,电弧发散,因此底部暗区和亮区之间的差异增加,导致随着和的增加,Δ增加。对Δ的影响程度最大。随着和的增加,Δ先减小后增加,这表明在该范围内声辐射力先增加后减小。磁场电流增加会导致电弧旋转增加,从而导致电弧面积增加。焊接电流增加会导致电弧能量增加,电弧形态扩展,Δ增加。钨极高度增加,电弧发散,暗区增加,亮区减小,Δ增加。最后,结合超声场和磁场理论分析,工艺参数的变化会影响电弧力,进而影响电弧形态。在声辐射力作用下的 U-M-GTAW 电弧,等离子体流沿电弧轴线方向移动,电弧收缩,在磁场力作用下产生周向电流,电弧进行周期性旋转,从而改善了 GTAW 电弧特性。

https://cdn.ncbi.nlm.nih.gov/pmc/blobs/c187/9692962/98f6364b5e0a/materials-15-08130-g001.jpg

文献AI研究员

20分钟写一篇综述,助力文献阅读效率提升50倍。

立即体验

用中文搜PubMed

大模型驱动的PubMed中文搜索引擎

马上搜索

文档翻译

学术文献翻译模型,支持多种主流文档格式。

立即体验