Suppr超能文献

新型基于尿嘧啶的乙酰胆碱酯酶抑制剂,具有治疗阿尔茨海默病动物模型记忆损伤的潜力。

Novel Uracil-Based Inhibitors of Acetylcholinesterase with Potency for Treating Memory Impairment in an Animal Model of Alzheimer's Disease.

机构信息

Arbuzov Institute of Organic and Physical Chemistry, FRC Kazan Scientific Center of RAS, Arbuzov str. 8, Kazan 420088, Russia.

Emanuel Institute of Biochemical Physics, Kosygina st. 4, Moscow 119334, Russia.

出版信息

Molecules. 2022 Nov 14;27(22):7855. doi: 10.3390/molecules27227855.

Abstract

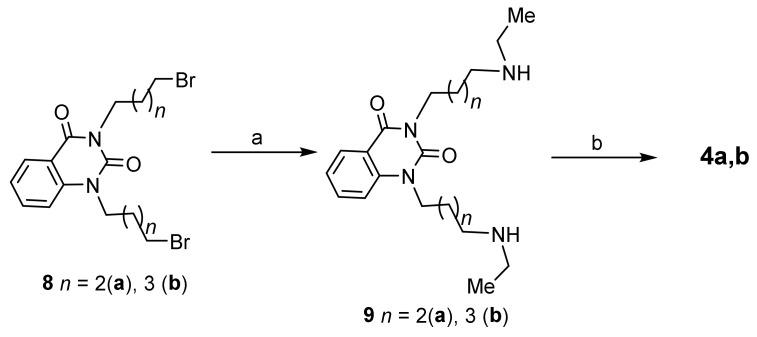
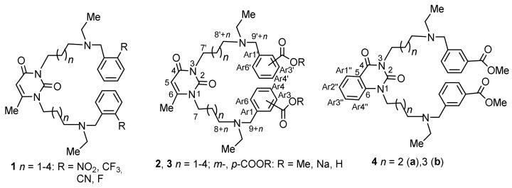
Novel derivatives based on 6-methyluracil and condensed uracil, 2,4-quinazoline-2,4-dione, were synthesized with terminal - and -benzoate moieties in polymethylene chains at the N atoms of the pyrimidine ring. In the synthesized compounds, the polymethylene chains were varied from having tris- to hexamethylene chains and quaternary ammonium groups; varying substituents (ester, salt, acid) at benzene ring were introduced into the chains and benzoate moieties. In vivo biological experiments demonstrated the potency of these compounds in decreasing the number of β-amyloid plaques and their suitability for the treatment of memory impairment in a transgenic model of Alzheimer's disease.

摘要

基于 6-甲基尿嘧啶和稠合尿嘧啶、2,4-喹唑啉-2,4-二酮的新型衍生物,在嘧啶环的 N 原子上具有末端苯甲酸盐部分和亚甲基链,被合成出来。在合成的化合物中,亚甲基链的长度从三甲基到六亚甲基链和季铵基团不等;苯环上的取代基(酯、盐、酸)和苯甲酸盐部分被引入到链中。体内生物实验表明,这些化合物具有降低β-淀粉样斑块数量的功效,并且适合治疗阿尔茨海默病转基因模型中的记忆障碍。

https://cdn.ncbi.nlm.nih.gov/pmc/blobs/6563/9694926/a482ffe43803/molecules-27-07855-g001.jpg

文献AI研究员

20分钟写一篇综述,助力文献阅读效率提升50倍。

立即体验

用中文搜PubMed

大模型驱动的PubMed中文搜索引擎

马上搜索

文档翻译

学术文献翻译模型,支持多种主流文档格式。

立即体验