Suppr超能文献

利用扩展测距去除循环前缀 OFDM 感知中的虚假目标。

Removing False Targets for Cyclic Prefixed OFDM Sensing with Extended Ranging.

机构信息

Global Big Data Technologies Centre (GBDTC), University of Technology Sydney (UTS), Sydney, NSW 2007, Australia.

出版信息

Sensors (Basel). 2022 Nov 21;22(22):9015. doi: 10.3390/s22229015.

Abstract

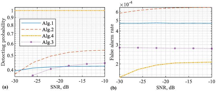
Employing a cyclic prefixed OFDM (CP-OFDM) communication waveform for sensing has attracted extensive attention in vehicular integrated sensing and communications (ISAC). A unified sensing framework was developed recently, enabling CP-OFDM sensing to surpass the conventional limits imposed by underlying communications. However, a false target issue still remains unsolved. In this paper, we investigate and solve this issue. Specifically, we unveil that false targets are caused by periodic cyclic prefixes (CPs) in CP-OFDM waveforms. We also derive the relation between the locations of false and true targets, and other features, e.g., strength, of false targets. Moreover, we develop an effective solution to remove false targets. Simulations are provided to confirm the validity of our analysis and the effectiveness of the proposed solution. In particular, our design can reduce the false alarm rate caused by false targets by over 50% compared with the prior art.

摘要

在车载集成感知与通信(ISAC)中,采用循环前缀正交频分复用(CP-OFDM)通信波形进行感知引起了广泛关注。最近提出了一个统一的感知框架,使得 CP-OFDM 感知能够超越基础通信所施加的传统限制。然而,虚假目标问题仍然没有得到解决。在本文中,我们研究并解决了这个问题。具体来说,我们揭示了虚假目标是由 CP-OFDM 波形中的周期性循环前缀(CP)引起的。我们还推导出了虚假目标和真实目标的位置之间的关系,以及其他特征,例如虚假目标的强度。此外,我们开发了一种有效的解决方案来消除虚假目标。仿真结果验证了我们的分析和所提出解决方案的有效性。特别是,与现有技术相比,我们的设计可以将虚假目标引起的误报率降低 50%以上。

https://cdn.ncbi.nlm.nih.gov/pmc/blobs/2e84/9693631/9f1e837585de/sensors-22-09015-g001.jpg

文献AI研究员

20分钟写一篇综述,助力文献阅读效率提升50倍。

立即体验

用中文搜PubMed

大模型驱动的PubMed中文搜索引擎

马上搜索

文档翻译

学术文献翻译模型,支持多种主流文档格式。

立即体验