Suppr超能文献

直接 V2X 通信技术物理层摘引方法学。

A Methodology for Abstracting the Physical Layer of Direct V2X Communications Technologies.

机构信息

College of Computer Science and Technology, Harbin Engineering University, Harbin 150001, China.

WiLab, CNIT/DEI, University of Bologna, 40126 Bologna, Italy.

出版信息

Sensors (Basel). 2022 Nov 30;22(23):9330. doi: 10.3390/s22239330.

Abstract

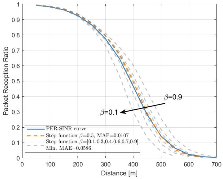
Recent advancements in vehicle-to-everything (V2X) communications have greatly increased the flexibility of the physical (PHY) and medium access control (MAC) layers. This increases the complexity when investigating the system from a network perspective to evaluate the performance of the supported applications. Such flexibility, in fact, needs to be taken into account through a cross-layer approach, which might lead to challenging evaluation processes. As an accurate simulation of the signals appears unfeasible, a typical solution is to rely on simple models for incorporating the PHY layer of the supported technologies based on off-line measurements or accurate link-level simulations. Such data are, however, limited to a subset of possible configurations, and extending them to others is costly when not even impossible. The goal of this paper is to develop a new approach for modeling the PHY layer of V2X communications that can be extended to a wide range of configurations without leading to extensive measurement or simulation campaigns at the link layer. In particular, given a scenario and starting from results in terms of the packet error rate (PER) vs. signal-to-interference-plus-noise ratio (SINR) related to a subset of possible configurations, we first approximated the curves with step functions characterized by a given SINR threshold, and we then derived one parameter, called implementation loss, that was used to obtain the SINR threshold and evaluate the network performance under any configuration in the same scenario. The proposed methodology, leading to a good trade-off among the complexity, generality, and accuracy of the performance evaluation process, was validated through extensive simulations with both IEEE 802.11p and LTE-V2X sidelink technologies in various scenarios. The results first show that the curves can be effectively approximated by using an SINR threshold, with a value corresponding to 0.5 PER, and then demonstrate that the network-level outputs derived from the proposed approach are very close to those obtained with complete curves, despite not being restricted to a few possible configurations.

摘要

最近,车对一切(V2X)通信方面的进展极大地提高了物理(PHY)和媒体访问控制(MAC)层的灵活性。这增加了从网络角度研究系统以评估支持应用程序性能的复杂性。实际上,这种灵活性需要通过跨层方法来考虑,这可能导致具有挑战性的评估过程。由于对信号进行准确的仿真似乎不可行,因此一种典型的解决方案是依靠简单的模型来结合所支持技术的 PHY 层,这些模型基于离线测量或准确的链路级仿真。然而,这些数据仅限于可能配置的一个子集,并且将其扩展到其他配置既昂贵又不可能。本文的目标是开发一种新的 V2X 通信 PHY 层建模方法,该方法可以扩展到广泛的配置,而无需在链路层进行广泛的测量或仿真活动。具体来说,给定一个场景,并从与可能配置子集相关的分组错误率(PER)与信号干扰加噪声比(SINR)的结果开始,我们首先使用给定的 SINR 阈值对曲线进行分段函数逼近,然后推导出一个称为实现损失的参数,该参数用于获得 SINR 阈值并在同一场景中的任何配置下评估网络性能。所提出的方法在性能评估过程的复杂性、通用性和准确性之间取得了良好的折衷,并通过在各种场景中使用 IEEE 802.11p 和 LTE-V2X 侧链路技术进行了广泛的仿真进行了验证。结果首先表明,可以有效地使用 SINR 阈值对曲线进行逼近,其值对应于 0.5 PER,然后表明从所提出的方法中得出的网络级输出与使用完整曲线获得的输出非常接近,尽管不受限于几个可能的配置。

https://cdn.ncbi.nlm.nih.gov/pmc/blobs/5113/9735777/09556eb33f37/sensors-22-09330-g001.jpg

相似文献

1
A Methodology for Abstracting the Physical Layer of Direct V2X Communications Technologies.
Sensors (Basel). 2022 Nov 30;22(23):9330. doi: 10.3390/s22239330.
2
On the Impact of Multiple Access Interference in LTE-V2X and NR-V2X Sidelink Communications.
Sensors (Basel). 2023 May 19;23(10):4901. doi: 10.3390/s23104901.
5
Cellular-V2X Communications for Platooning: Design and Evaluation.
Sensors (Basel). 2018 May 11;18(5):1527. doi: 10.3390/s18051527.
7
3GPP NR V2X Mode 2: Overview, Models and System-Level Evaluation.
IEEE Access. 2021 Jun;9. doi: 10.1109/access.2021.3090855.

引用本文的文献

1
Feature Papers in Vehicular Sensing.
Sensors (Basel). 2023 May 5;23(9):4495. doi: 10.3390/s23094495.

文献AI研究员

20分钟写一篇综述,助力文献阅读效率提升50倍。

立即体验

用中文搜PubMed

大模型驱动的PubMed中文搜索引擎

马上搜索

文档翻译

学术文献翻译模型,支持多种主流文档格式。

立即体验