• 文献检索
  • 文档翻译
  • 深度研究
  • 学术资讯
  • Suppr Zotero 插件Zotero 插件
  • 邀请有礼
  • 套餐&价格
  • 历史记录
应用&插件
Suppr Zotero 插件Zotero 插件浏览器插件Mac 客户端Windows 客户端微信小程序
定价
高级版会员购买积分包购买API积分包
服务
文献检索文档翻译深度研究API 文档MCP 服务
关于我们
关于 Suppr公司介绍联系我们用户协议隐私条款
关注我们

Suppr 超能文献

核心技术专利:CN118964589B侵权必究
粤ICP备2023148730 号-1Suppr @ 2026

文献检索

告别复杂PubMed语法,用中文像聊天一样搜索,搜遍4000万医学文献。AI智能推荐,让科研检索更轻松。

立即免费搜索

文件翻译

保留排版,准确专业,支持PDF/Word/PPT等文件格式,支持 12+语言互译。

免费翻译文档

深度研究

AI帮你快速写综述,25分钟生成高质量综述,智能提取关键信息,辅助科研写作。

立即免费体验

富含甘露聚糖组分添加物对商品肉鸡小肠和盲肠微生物群的影响。

Effect of Mannan-rich fraction supplementation on commercial broiler intestinum tenue and cecum microbiota.

作者信息

Leigh Robert J, Corrigan Aoife, Murphy Richard A, Walsh Fiona

机构信息

Antimicrobial Resistance and Microbiome Research Group, Department of Biology, Maynooth University, Co. Kildare, Ireland.

Alltech Inc. (Alltech European Bioscience Centre), Summerhill Road, Sarney, Dunboyne, Co. Meath, Ireland.

出版信息

Anim Microbiome. 2022 Dec 19;4(1):66. doi: 10.1186/s42523-022-00208-6.

DOI:10.1186/s42523-022-00208-6
PMID:36536475
原文链接:https://pmc.ncbi.nlm.nih.gov/articles/PMC9762088/
Abstract

BACKGROUND

The broiler gastrointestinal microbiome is a potent flock performance modulator yet may also serve as a reservoir for pathogen entry into the food chain. The goal of this project was to characterise the effect of mannan rich fraction (MRF) supplementation on microbiome diversity and composition of the intestinum tenue and cecum of commercial broilers. This study also aimed to address some of the intrinsic biases that exist in microbiome studies which arise due to the extensive disparity in 16S rRNA gene copy numbers between bacterial species and due to large intersample variation.

RESULTS

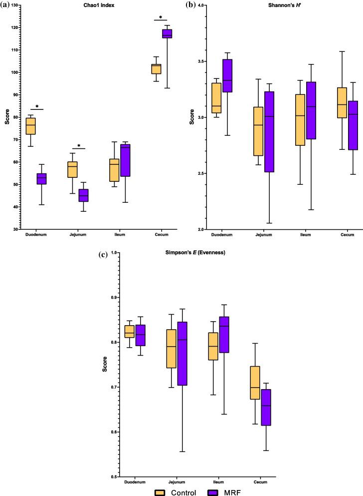
We observed a divergent yet rich microbiome structure between different anatomical sites and observed the explicit effect MRF supplementation had on community structure, diversity, and pathogen modulation. Birds supplemented with MRF displayed significantly higher species richness in the cecum and significantly different bacterial community composition in each gastrointestinal (GI) tract section. Supplemented birds had lower levels of the zoonotic pathogens Escherichia coli and Clostridioides difficile across all three intestinum tenue sites highlighting the potential of MRF supplementation in maintaining food chain integrity. Higher levels of probiotic genera (eg. Lactobacillus and Blautia) were also noted in the MRF supplemented birds. Following MRF supplementation, the cecum displayed higher relative abundances of both short chain fatty acid (SFCA) synthesising bacteria and SCFA concentrations.

CONCLUSIONS

Mannan rich fraction addition has been observed to reduce the bioburden of pathogens in broilers and to promote greater intestinal tract microbial biodiversity. This study is the first, to our knowledge, to investigate the effect of mannan-rich fraction supplementation on the microbiome associated with different GI tract anatomical geographies. In addition to this novelty, this study also exploited machine learning and biostatistical techniques to correct the intrinsic biases associated with microbiome community studies to enable a more robust understanding of community structure.

摘要

背景

肉鸡胃肠道微生物群是影响鸡群生产性能的重要因素,同时也可能成为病原体进入食物链的源头。本项目的目的是研究添加富含甘露聚糖的组分(MRF)对商品肉鸡小肠和盲肠微生物群多样性及组成的影响。本研究还旨在解决微生物群研究中存在的一些内在偏差,这些偏差是由于细菌物种之间16S rRNA基因拷贝数的巨大差异以及样本间的巨大差异而产生的。

结果

我们观察到不同解剖部位之间微生物群结构存在差异但丰富,并观察到添加MRF对群落结构、多样性和病原体调控的显著影响。添加MRF的鸡在盲肠中显示出显著更高的物种丰富度,并且在每个胃肠道(GI)段中细菌群落组成显著不同。在所有三个小肠部位,添加MRF的鸡体内人畜共患病原体大肠杆菌和艰难梭菌的水平较低,这突出了添加MRF在维持食物链完整性方面的潜力。在添加MRF的鸡中还发现了更高水平的益生菌属(如乳酸杆菌属和布劳特氏菌属)。添加MRF后,盲肠中短链脂肪酸(SFCA)合成细菌的相对丰度和SCFA浓度均较高。

结论

已观察到添加富含甘露聚糖的组分可降低肉鸡的病原体生物负荷,并促进更大的肠道微生物生物多样性。据我们所知,本研究是首次调查添加富含甘露聚糖的组分对与不同胃肠道解剖区域相关的微生物群的影响。除了这一新颖性之外,本研究还利用机器学习和生物统计技术来纠正与微生物群落研究相关的内在偏差,以便更深入地了解群落结构。

https://cdn.ncbi.nlm.nih.gov/pmc/blobs/35fe/9762088/d44c02e37f5a/42523_2022_208_Fig5_HTML.jpg
https://cdn.ncbi.nlm.nih.gov/pmc/blobs/35fe/9762088/d10368810cc6/42523_2022_208_Fig1_HTML.jpg
https://cdn.ncbi.nlm.nih.gov/pmc/blobs/35fe/9762088/c537547ff207/42523_2022_208_Fig2_HTML.jpg
https://cdn.ncbi.nlm.nih.gov/pmc/blobs/35fe/9762088/5a2a14e2d1c8/42523_2022_208_Fig3_HTML.jpg
https://cdn.ncbi.nlm.nih.gov/pmc/blobs/35fe/9762088/8b674c685b29/42523_2022_208_Fig4_HTML.jpg
https://cdn.ncbi.nlm.nih.gov/pmc/blobs/35fe/9762088/d44c02e37f5a/42523_2022_208_Fig5_HTML.jpg
https://cdn.ncbi.nlm.nih.gov/pmc/blobs/35fe/9762088/d10368810cc6/42523_2022_208_Fig1_HTML.jpg
https://cdn.ncbi.nlm.nih.gov/pmc/blobs/35fe/9762088/c537547ff207/42523_2022_208_Fig2_HTML.jpg
https://cdn.ncbi.nlm.nih.gov/pmc/blobs/35fe/9762088/5a2a14e2d1c8/42523_2022_208_Fig3_HTML.jpg
https://cdn.ncbi.nlm.nih.gov/pmc/blobs/35fe/9762088/8b674c685b29/42523_2022_208_Fig4_HTML.jpg
https://cdn.ncbi.nlm.nih.gov/pmc/blobs/35fe/9762088/d44c02e37f5a/42523_2022_208_Fig5_HTML.jpg

相似文献

1
Effect of Mannan-rich fraction supplementation on commercial broiler intestinum tenue and cecum microbiota.富含甘露聚糖组分添加物对商品肉鸡小肠和盲肠微生物群的影响。
Anim Microbiome. 2022 Dec 19;4(1):66. doi: 10.1186/s42523-022-00208-6.
2
Yeast mannan rich fraction positively influences microbiome uniformity, productivity associated taxa, and lay performance.富含酵母甘露聚糖的部分对微生物群的均匀性、与生产力相关的分类群以及产蛋性能有积极影响。
Anim Microbiome. 2024 Mar 4;6(1):9. doi: 10.1186/s42523-024-00295-7.
3
The use of random forests modelling to detect yeast-mannan sensitive bacterial changes in the broiler cecum.使用随机森林模型来检测肉鸡盲肠中酵母甘露聚糖敏感细菌的变化。
Sci Rep. 2018 Sep 5;8(1):13270. doi: 10.1038/s41598-018-31438-x.
4
Investigation into the effect of mannan-rich fraction supplementation on the metagenome of broiler chickens.调查甘露聚糖丰富部分补充对肉鸡宏基因组的影响。
Microb Genom. 2021 Jul;7(7). doi: 10.1099/mgen.0.000602.
5
Dietary supplementation of weaned piglets with a yeast-derived mannan-rich fraction modulates cecal microbial profiles, jejunal morphology and gene expression.断奶仔猪日粮中添加酵母源甘露寡糖可调节盲肠微生物谱、空肠形态和基因表达。
Animal. 2019 Aug;13(8):1591-1598. doi: 10.1017/S1751731118003361. Epub 2019 Jan 7.
6
Short-chain fatty acids and ceca microbiota profiles in broilers and turkeys in response to diets supplemented with phytase at varying concentrations, with or without xylanase.在添加不同浓度植酸酶、有或没有木聚糖酶的日粮条件下,肉鸡和火鸡的短链脂肪酸和盲肠微生物群特征。
Poult Sci. 2020 Apr;99(4):2068-2077. doi: 10.1016/j.psj.2019.11.051. Epub 2020 Feb 26.
7
Changes in cecum microbial community in response to total sulfur amino acid (TSAA: DL-methionine) in antibiotic-free and supplemented poultry birds.无抗及添加硫氨基酸(DL-蛋氨酸)条件下家禽盲肠微生物群落变化。
Poult Sci. 2019 Nov 1;98(11):5809-5819. doi: 10.3382/ps/pez380.
8
Phylogenetic and functional alterations in bacterial community compositions in broiler ceca as a result of mannan oligosaccharide supplementation.添加甘露寡糖对肉鸡盲肠细菌群落组成的系统发育和功能改变。
Appl Environ Microbiol. 2015 May 15;81(10):3460-70. doi: 10.1128/AEM.04194-14. Epub 2015 Mar 13.
9
The link between broiler flock heterogeneity and cecal microbiome composition.肉鸡群体异质性与盲肠微生物组组成之间的联系。
Anim Microbiome. 2021 Jul 31;3(1):54. doi: 10.1186/s42523-021-00110-7.
10
Effect of dietary supplementation with a Saccharomyces cerevisiae mannan oligosaccharide on the bacterial community structure of broiler cecal contents.饲粮添加酿酒酵母甘露寡糖对肉鸡盲肠内容物细菌群落结构的影响。
Appl Environ Microbiol. 2011 Sep;77(18):6653-62. doi: 10.1128/AEM.05028-11. Epub 2011 Jul 29.

引用本文的文献

1
Breaking the Cycle: A Yeast Mannan-Rich Fraction Beneficially Modulates Egg Quality and the Antimicrobial Resistome Associated with Layer Hen Caecal Microbiomes under Commercial Conditions.打破循环:富含酵母甘露聚糖的组分在商业条件下对蛋品质以及与蛋鸡盲肠微生物群相关的抗菌耐药组具有有益调节作用。
Microorganisms. 2024 Jul 30;12(8):1562. doi: 10.3390/microorganisms12081562.

本文引用的文献

1
Valid publication of the names of forty-two phyla of prokaryotes.公布 42 个原核生物门的有效名称。
Int J Syst Evol Microbiol. 2021 Oct;71(10). doi: 10.1099/ijsem.0.005056.
2
Potential Use of Gut Microbiota Composition as a Biomarker of Heat Stress in Monogastric Species: A Review.单胃动物肠道微生物群组成作为热应激生物标志物的潜在用途:综述
Animals (Basel). 2021 Jun 19;11(6):1833. doi: 10.3390/ani11061833.
3
Effect of yeast cell wall supplementation on intestinal integrity, digestive enzyme activity and immune traits of broilers.
酵母细胞壁补充剂对肉鸡肠道完整性、消化酶活性和免疫特性的影响。
Br Poult Sci. 2021 Oct;62(5):771-782. doi: 10.1080/00071668.2021.1929070. Epub 2021 Jun 23.
4
Dietary supplementation with Bacillus subtilis promotes growth performance of broilers by altering the dominant microbial community.枯草芽孢杆菌的膳食补充通过改变优势微生物群落促进肉鸡的生长性能。
Poult Sci. 2021 Mar;100(3):100935. doi: 10.1016/j.psj.2020.12.032. Epub 2021 Jan 23.
5
The regional diversity of gut microbiome along the GI tract of male C57BL/6 mice.雄性 C57BL/6 小鼠胃肠道内肠道微生物组的区域多样性。
BMC Microbiol. 2021 Feb 12;21(1):44. doi: 10.1186/s12866-021-02099-0.
6
Prebiotic supplementation effect on and species associated with experimentally induced intestinal coccidiosis in rabbits.益生元补充剂对家兔实验性诱导肠道球虫病相关的[具体物种1]和[具体物种2]的影响 。 (注:原文中“and species”处信息不完整,应补充完整具体物种名称)
PeerJ. 2021 Jan 22;9:e10714. doi: 10.7717/peerj.10714. eCollection 2021.
7
Development of the duodenal, ileal, jejunal and caecal microbiota in chickens.鸡十二指肠、回肠、空肠和盲肠微生物群的发育
Anim Microbiome. 2019 Nov 21;1(1):17. doi: 10.1186/s42523-019-0017-z.
8
Yeast cell wall mannan rich fraction modulates bacterial cellular respiration potentiating antibiotic efficacy.酵母细胞壁甘露聚糖丰富部分调节细菌细胞呼吸,增强抗生素疗效。
Sci Rep. 2020 Dec 14;10(1):21880. doi: 10.1038/s41598-020-78855-5.
9
Shiga toxin-producing Escherichia coli (STEC) in bovine meat and meat products over the last 15 years in Brazil: A systematic review and meta-analysis.过去 15 年巴西牛肉类和肉类产品中产志贺毒素大肠杆菌(STEC)的情况:系统评价和荟萃分析。
Meat Sci. 2021 Mar;173:108394. doi: 10.1016/j.meatsci.2020.108394. Epub 2020 Nov 30.
10
Broiler chickens and early life programming: Microbiome transplant-induced cecal community dynamics and phenotypic effects.肉鸡和生命早期编程:微生物组移植诱导的盲肠群落动态和表型效应。
PLoS One. 2020 Nov 13;15(11):e0242108. doi: 10.1371/journal.pone.0242108. eCollection 2020.