Suppr超能文献

深蓝光三重重入湮灭有机发光二极管(CIE≈0.05),使用四苯并咪唑和苯甲腈功能化蒽/芘发射器。

Deep-Blue Triplet-Triplet Annihilation Organic Light-Emitting Diode (CIE ≈ 0.05) Using Tetraphenylimidazole and Benzonitrile Functionalized Anthracene/Chrysene Emitters.

机构信息

Department of Materials Science and Engineering, School of Molecular Science and Engineering, Vidyasirimedhi Institute of Science and Technology, Wangchan, Rayong 21210, Thailand.

出版信息

Molecules. 2022 Dec 15;27(24):8923. doi: 10.3390/molecules27248923.

Abstract

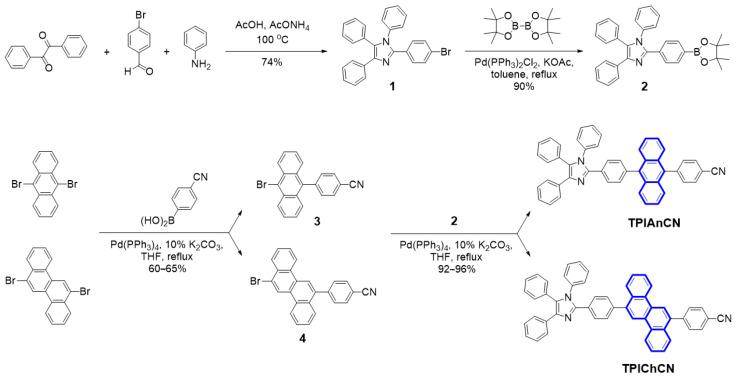
Herein, new deep-blue triplet-triplet annihilation (TTA) molecules, namely 4-(10-(4-(1,4,5-triphenyl-1H-imidazol-2-yl)phenyl)anthracen-9-yl)benzonitrile (TPIAnCN) and 4-(12-(4-(1,4,5-triphenyl-1H-imidazol-2-yl)phenyl)chrysen-6-yl)benzonitrile (TPIChCN), are designed, synthesized, and investigated as emitters for organic light-emitting diodes (OLED). TPIAnCN and TPIChCN are composed of polyaromatic hydrocarbons of anthracene (An) and chrysene (Ch) as the cores functionalized with tetraphenylimidazole (TPI) and benzonitrile (CN) moieties, respectively. The experimental and theoretical results verify their excellent thermal properties, photophysical properties, as well as electrochemical properties. Particularly, their emissions are in the deep blue region, with TTA emissions being observed in their thin films. By utilization of these molecules as emitters, deep blue TTA OLEDs with CIE coordinates of (0.15, 0.05), high external quantum efficiency of 6.84%, and high exciton utilization efficiency (η) of 48% were fabricated. This result manifests the potential use of chrysene as an alternate building block to formulate new TTA molecules for accomplishing high-performance TTA OLEDs.

摘要

本文设计、合成了两种新型深蓝色三重态-三重态湮灭(TTA)分子,分别为 4-(10-(4-(1,4,5-三苯基-1H-咪唑-2-基)苯基)蒽-9-基)苯甲腈(TPIAnCN)和 4-(12-(4-(1,4,5-三苯基-1H-咪唑-2-基)苯基)并四苯-6-基)苯甲腈(TPIChCN),并将其用作有机发光二极管(OLED)的发光材料。TPIAnCN 和 TPIChCN 分别以蒽(An)和并四苯(Ch)作为多环芳烃核心,通过四苯基咪唑(TPI)和苯甲腈(CN)官能团进行功能化。实验和理论结果验证了它们优异的热性能、光物理性能和电化学性能。特别地,它们的发射光谱位于深蓝色区域,在薄膜中观察到 TTA 发射。利用这些分子作为发光材料,成功制备了 CIE 坐标为(0.15, 0.05)、外量子效率为 6.84%和激子利用率(η)为 48%的深蓝色 TTA OLED。该结果表明,将并四苯作为构筑基元,有望设计出新型 TTA 分子,从而制备出高性能 TTA OLED。

https://cdn.ncbi.nlm.nih.gov/pmc/blobs/8dae/9787557/c441b431aa24/molecules-27-08923-sch001.jpg

文献检索

告别复杂PubMed语法,用中文像聊天一样搜索,搜遍4000万医学文献。AI智能推荐,让科研检索更轻松。

立即免费搜索

文件翻译

保留排版,准确专业,支持PDF/Word/PPT等文件格式,支持 12+语言互译。

免费翻译文档

深度研究

AI帮你快速写综述,25分钟生成高质量综述,智能提取关键信息,辅助科研写作。

立即免费体验