Zhang Xiaomin, Wei Zihao, Wang Xin, Wang Yuming, Tang Qingjuan, Huang Qingrong, Xue Changhu
College of Food Science and Engineering, Ocean University of China, Qingdao, 266003, China.
Department of Food Science, Rutgers University, 65 Dudley Road, New Brunswick, NJ, 08901, United States.
Curr Res Food Sci. 2022 Jan 29;5:288-297. doi: 10.1016/j.crfs.2022.01.019. eCollection 2022.
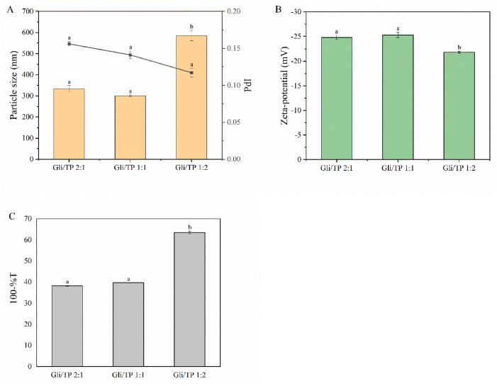
The objectives of the present study were to synthesize gliadin/tremella polysaccharide nanoparticles (Gli/TP NPs) as well as curcumin-loaded gliadin/tremella polysaccharide nanoparticles (Cur-Gli/TP NPs) and evaluate the encapsulation efficiency (EE), physicochemical stability and bioaccessibility of Cur-Gli/TP NPs. The physicochemical properties of the nanoparticles depended on the mass ratio of Gli to TP and pH values. The characterization of the Gli/TP NPs indicated that the prepared nanoparticles were the most stable when the Gli/TP mass ratio was 1:1 and pH was at 4.0-7.0. Afterward, prepared Cur-Gli/TP NPs at different pH values were studied. Compared with the EE of Cur (58.2%) in Cur-Gli NPs at pH 5.0, the EE of Cur (90.6%) in Cur-Gli/TP NPs at pH 5.0 was increased by 32.4%. Besides, the Cur-Gli/TP NPs possessed excellent physical stability, photostability, thermal stability and re-dispersibility than Cur-Gli NPs. Furthermore, the bioaccessibility of Cur reached 83.5% after encapsulation of Cur into Gli/TP NPs after digestion, indicating that Cur-Gli/TP NPs could improve curcumin bioaccessibility significantly. In summary, this study demonstrates that the new food-grade Gli/TP NPs possess high encapsulation efficiency, excellent stability and prominent nutraceutical bioaccessibility. Meanwhile, it contributes to expanding the application of TP in food-grade delivery systems.
本研究的目的是合成麦醇溶蛋白/银耳多糖纳米颗粒(Gli/TP NPs)以及载姜黄素的麦醇溶蛋白/银耳多糖纳米颗粒(Cur-Gli/TP NPs),并评估Cur-Gli/TP NPs的包封率(EE)、物理化学稳定性和生物可及性。纳米颗粒的物理化学性质取决于Gli与TP的质量比以及pH值。Gli/TP NPs的表征表明,当Gli/TP质量比为1:1且pH值在4.0 - 7.0时,所制备的纳米颗粒最稳定。随后,研究了在不同pH值下制备的Cur-Gli/TP NPs。与pH 5.0时Cur-Gli NPs中Cur的EE(58.2%)相比,pH 5.0时Cur-Gli/TP NPs中Cur的EE(90.6%)提高了32.4%。此外,Cur-Gli/TP NPs比Cur-Gli NPs具有优异的物理稳定性、光稳定性、热稳定性和再分散性。此外,在消化后将Cur包封到Gli/TP NPs中后,Cur的生物可及性达到83.5%,表明Cur-Gli/TP NPs可显著提高姜黄素的生物可及性。总之,本研究表明新型食品级Gli/TP NPs具有高包封率、优异的稳定性和显著的营养生物可及性。同时,它有助于扩大TP在食品级递送系统中的应用。