Suppr超能文献

比较 JET-ILW H 模式等离子体中的支脚结构与僵硬 ETG 湍流传热模型。

Comparing pedestal structure in JET-ILW H-mode plasmas with a model for stiff ETG turbulent heat transport.

机构信息

United Kingdom Atomic Energy Authority, Culham Centre for Fusion Energy, Culham Science Centre, Abingdon, Oxon OX14 3DB, UK.

Division of Fusion Plasma Physics, KTH Royal Institute of Technology SE-100 44 Stockholm, Sweden.

出版信息

Philos Trans A Math Phys Eng Sci. 2023 Feb 20;381(2242):20210228. doi: 10.1098/rsta.2021.0228. Epub 2023 Jan 2.

Abstract

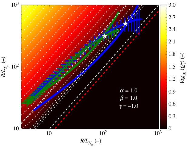
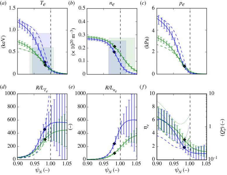
A predictive model for the electron temperature profile of the H-mode pedestal is described, and its results are compared with the pedestal structure of JET-ILW plasmas. The model is based on a scaling for the gyro-Bohm normalized, turbulent electron heat flux [Formula: see text] resulting from electron temperature gradient (ETG) turbulence, derived from results of nonlinear gyrokinetic (GK) calculations for the steep gradient region. By using the local temperature gradient scale length [Formula: see text] in the normalization, the dependence of [Formula: see text] on the normalized gradients [Formula: see text] and [Formula: see text] can be represented by a unified scaling with the parameter [Formula: see text], to which the linear stability of ETG turbulence is sensitive when the density gradient is sufficiently steep. For a prescribed density profile, the value of [Formula: see text] determined from this scaling, required to maintain a constant electron heat flux [Formula: see text] across the pedestal, is used to calculate the temperature profile. Reasonable agreement with measurements is found for different cases, the model providing an explanation of the relative widths and shifts of the [Formula: see text] and [Formula: see text] profiles, as well as highlighting the importance of the separatrix boundary conditions. Other cases showing disagreement indicate conditions where other branches of turbulence might dominate. This article is part of a discussion meeting issue 'H-mode transition and pedestal studies in fusion plasmas'.

摘要

描述了一种预测 H 模基区电子温度剖面的模型,并将其结果与 JET-ILW 等离子体的基区结构进行了比较。该模型基于电子温度梯度(ETG)湍流产生的回旋玻姆归一化、湍流传热系数[Formula: see text]的标度,该标度来自于对陡峭梯度区域的非线性回旋动力(GK)计算结果。通过在归一化中使用局部温度梯度标度长度[Formula: see text],[Formula: see text]对归一化梯度[Formula: see text]和[Formula: see text]的依赖可以用一个统一的标度表示,当密度梯度足够陡峭时,ETG 湍流的线性稳定性对该参数[Formula: see text]敏感。对于给定的密度剖面,从该标度确定的[Formula: see text]值,用于在基区保持恒定的电子热通量[Formula: see text],用于计算温度剖面。对于不同的情况,发现与测量值有合理的一致性,该模型解释了[Formula: see text]和[Formula: see text]剖面的相对宽度和偏移,以及强调了分隔边界条件的重要性。其他显示不一致的情况表明,可能存在其他分支的湍流占主导地位。本文是关于“聚变等离子体中的 H 模跃迁和基区研究”讨论会议的一部分。

https://cdn.ncbi.nlm.nih.gov/pmc/blobs/6c17/9805819/69ec030a85c8/rsta20210228f01.jpg

文献AI研究员

20分钟写一篇综述,助力文献阅读效率提升50倍。

立即体验

用中文搜PubMed

大模型驱动的PubMed中文搜索引擎

马上搜索

文档翻译

学术文献翻译模型,支持多种主流文档格式。

立即体验