• 文献检索
  • 文档翻译
  • 深度研究
  • 学术资讯
  • Suppr Zotero 插件Zotero 插件
  • 邀请有礼
  • 套餐&价格
  • 历史记录
应用&插件
Suppr Zotero 插件Zotero 插件浏览器插件Mac 客户端Windows 客户端微信小程序
定价
高级版会员购买积分包购买API积分包
服务
文献检索文档翻译深度研究API 文档MCP 服务
关于我们
关于 Suppr公司介绍联系我们用户协议隐私条款
关注我们

Suppr 超能文献

核心技术专利:CN118964589B侵权必究
粤ICP备2023148730 号-1Suppr @ 2026

文献检索

告别复杂PubMed语法,用中文像聊天一样搜索,搜遍4000万医学文献。AI智能推荐,让科研检索更轻松。

立即免费搜索

文件翻译

保留排版,准确专业,支持PDF/Word/PPT等文件格式,支持 12+语言互译。

免费翻译文档

深度研究

AI帮你快速写综述,25分钟生成高质量综述,智能提取关键信息,辅助科研写作。

立即免费体验

有机改良剂施用后厌氧土壤中砷的溶解增强:酸解性有机质作为潜在指标。

Enhanced dissolution of arsenic in anaerobic soils upon organic amendment application: acid detergent-soluble organic matter as a potential indicator.

机构信息

Institute for Agro-Environmental Sciences, NARO, Kannondai 3-1-3, Tsukuba, Ibaraki, 305-8604, Japan.

Research Center for Advanced Analysis, NARO, Kannondai 3-1-3, Tsukuba, Ibaraki, 305-8604, Japan.

出版信息

Sci Rep. 2023 Jan 5;13(1):217. doi: 10.1038/s41598-022-27325-1.

DOI:10.1038/s41598-022-27325-1
PMID:36604487
原文链接:https://pmc.ncbi.nlm.nih.gov/articles/PMC9816317/
Abstract

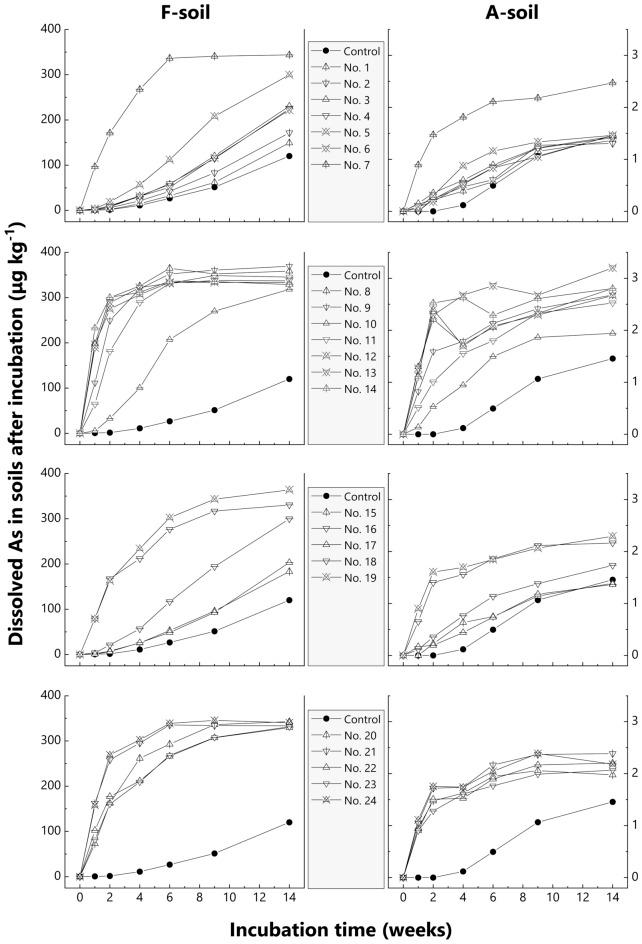
Application of organic amendments (OAMs) often enhances arsenic (As) dissolution in paddy soils. Therefore, understanding the properties of OAMs that determine the extent of As dissolution is essential for appropriate soil management. Since As dissolution increases with decrease in soil redox potential caused by microbial respiration, the decomposability of OAMs might be a critical factor controlling As dissolution in amended soils. We hypothesized that contents of acid detergent-soluble organic matter (ADSOM, mainly composed of non-fiber organic matter and hemicellulose) in OAMs can help estimate the potential of OAMs in accelerating As dissolution in soils with added OAMs. Therefore, two contrasting soil types, Andosol and Fluvisol, were mixed with 24 different OAMs and subjected to anaerobic incubation for 14 weeks. Changes in soil Eh and dissolved As contents were monitored throughout the incubation period, and As species in solid phases and ferrous iron (Fe(II)) contents in soils were measured after 2 and 6 weeks of incubation. The higher the ADSOM content in soils with OAMs, the higher the dissolved As contents in soils and the lower the Eh values. Dissolved As also positively correlated with the proportion of As(III) in solid phases and Fe(II) content after 2 and 6 weeks of incubation, indicating that decomposition of ADSOM led to reducing soil conditions, thereby promoting the reduction of As(V) and As-bearing Fe oxides and subsequent As dissolution. The results were consistent between the two types of soils, despite dissolved As content in the Andosol being two orders lower than that in Fluvisol. This is the first study to demonstrate that ADSOM can be a prominent indicator of the potential of OAMs, for promoting As dissolution, when applied to paddy soils.

摘要

有机添加物(OAMs)的应用通常会增强稻田土壤中砷(As)的溶解。因此,了解决定 As 溶解程度的 OAMs 的特性对于适当的土壤管理至关重要。由于 As 的溶解随着微生物呼吸引起的土壤氧化还原电位降低而增加,因此 OAMs 的可分解性可能是控制添加 OAMs 的土壤中 As 溶解的关键因素。我们假设 OAMs 中的酸洗涤剂可溶有机物(ADSOM,主要由非纤维有机物和半纤维素组成)含量可以帮助估计 OAMs 在加速添加 OAMs 的土壤中 As 溶解的潜力。因此,将两种对比土壤类型(安山土和冲积土)与 24 种不同的 OAMs 混合,并进行为期 14 周的厌氧培养。在整个培养期间监测土壤 Eh 和溶解 As 含量的变化,并在培养 2 和 6 周后测量固相中的 As 形态和土壤中的亚铁(Fe(II))含量。OAMs 土壤中的 ADSOM 含量越高,土壤中溶解的 As 含量越高,Eh 值越低。溶解的 As 也与固相中 As(III)的比例和培养 2 和 6 周后的 Fe(II)含量呈正相关,表明 ADSOM 的分解导致土壤条件还原,从而促进 As(V)和含 As 的 Fe 氧化物的还原以及随后的 As 溶解。这两种类型的土壤结果一致,尽管安山土中的溶解 As 含量比冲积土低两个数量级。这是第一项表明 ADSOM 可以成为促进稻田土壤中 As 溶解的 OAMs 潜力的突出指标的研究。

https://cdn.ncbi.nlm.nih.gov/pmc/blobs/4492/9816317/e3f218c1fcde/41598_2022_27325_Fig7_HTML.jpg
https://cdn.ncbi.nlm.nih.gov/pmc/blobs/4492/9816317/f551ec107c81/41598_2022_27325_Fig1_HTML.jpg
https://cdn.ncbi.nlm.nih.gov/pmc/blobs/4492/9816317/082143359d6c/41598_2022_27325_Fig2_HTML.jpg
https://cdn.ncbi.nlm.nih.gov/pmc/blobs/4492/9816317/4b08d5bfdc65/41598_2022_27325_Fig3_HTML.jpg
https://cdn.ncbi.nlm.nih.gov/pmc/blobs/4492/9816317/b2788c5c4e98/41598_2022_27325_Fig4_HTML.jpg
https://cdn.ncbi.nlm.nih.gov/pmc/blobs/4492/9816317/87d040101b35/41598_2022_27325_Fig5_HTML.jpg
https://cdn.ncbi.nlm.nih.gov/pmc/blobs/4492/9816317/c7ebb684418f/41598_2022_27325_Fig6_HTML.jpg
https://cdn.ncbi.nlm.nih.gov/pmc/blobs/4492/9816317/e3f218c1fcde/41598_2022_27325_Fig7_HTML.jpg
https://cdn.ncbi.nlm.nih.gov/pmc/blobs/4492/9816317/f551ec107c81/41598_2022_27325_Fig1_HTML.jpg
https://cdn.ncbi.nlm.nih.gov/pmc/blobs/4492/9816317/082143359d6c/41598_2022_27325_Fig2_HTML.jpg
https://cdn.ncbi.nlm.nih.gov/pmc/blobs/4492/9816317/4b08d5bfdc65/41598_2022_27325_Fig3_HTML.jpg
https://cdn.ncbi.nlm.nih.gov/pmc/blobs/4492/9816317/b2788c5c4e98/41598_2022_27325_Fig4_HTML.jpg
https://cdn.ncbi.nlm.nih.gov/pmc/blobs/4492/9816317/87d040101b35/41598_2022_27325_Fig5_HTML.jpg
https://cdn.ncbi.nlm.nih.gov/pmc/blobs/4492/9816317/c7ebb684418f/41598_2022_27325_Fig6_HTML.jpg
https://cdn.ncbi.nlm.nih.gov/pmc/blobs/4492/9816317/e3f218c1fcde/41598_2022_27325_Fig7_HTML.jpg

相似文献

1
Enhanced dissolution of arsenic in anaerobic soils upon organic amendment application: acid detergent-soluble organic matter as a potential indicator.有机改良剂施用后厌氧土壤中砷的溶解增强:酸解性有机质作为潜在指标。
Sci Rep. 2023 Jan 5;13(1):217. doi: 10.1038/s41598-022-27325-1.
2
Arsenic release from flooded paddy soils is influenced by speciation, Eh, pH, and iron dissolution.砷从水淹稻田中的释放受到形态、氧化还原电位(Eh)、pH 值和铁溶解的影响。
Chemosphere. 2011 May;83(7):925-32. doi: 10.1016/j.chemosphere.2011.02.044. Epub 2011 Mar 21.
3
Role of MnO in controlling iron and arsenic mobilization from illuminated flooded arsenic-enriched soils.二氧化锰在控制光照淹水富砷土壤中铁和砷的迁移方面的作用。
J Hazard Mater. 2021 Jan 5;401:123362. doi: 10.1016/j.jhazmat.2020.123362. Epub 2020 Jul 1.
4
Arsenic mitigation in paddy soils by using microbial fuel cells.利用微生物燃料电池减轻稻田土壤中的砷污染。
Environ Pollut. 2018 Jul;238:647-655. doi: 10.1016/j.envpol.2018.03.085. Epub 2018 Mar 31.
5
Photo-induced redox coupling of dissolved organic matter and iron in biochars and soil system: Enhanced mobility of arsenic.光诱导生物炭和土壤系统中溶解有机质与铁的氧化还原偶联:砷的迁移性增强。
Sci Total Environ. 2019 Nov 1;689:1037-1043. doi: 10.1016/j.scitotenv.2019.06.478. Epub 2019 Jun 28.
6
Arsenic speciation and mobilization in CCA-contaminated soils: influence of organic matter content.铬化砷酸铜处理过的土壤中砷的形态及迁移:有机质含量的影响
Sci Total Environ. 2006 Jul 1;364(1-3):239-50. doi: 10.1016/j.scitotenv.2005.06.006. Epub 2005 Aug 1.
7
Biochar increases arsenic release from an anaerobic paddy soil due to enhanced microbial reduction of iron and arsenic.生物炭通过增强铁和砷的微生物还原作用增加了厌氧稻田土壤中砷的释放。
Environ Pollut. 2017 Jan;220(Pt A):514-522. doi: 10.1016/j.envpol.2016.09.095. Epub 2016 Oct 6.
8
Redox changes in speciation and solubility of arsenic in paddy soils as affected by sulfur concentrations.硫浓度对水稻土砷形态和溶解态砷的氧化还原变化的影响。
Environ Pollut. 2018 Jul;238:617-623. doi: 10.1016/j.envpol.2018.03.039. Epub 2018 Mar 31.
9
Microbial reactions and environmental factors affecting the dissolution and release of arsenic in the severely contaminated soils under anaerobic or aerobic conditions.在厌氧或好氧条件下,严重污染土壤中砷的溶解和释放所涉及的微生物反应和环境因素。
Ecotoxicol Environ Saf. 2020 Feb;189:109946. doi: 10.1016/j.ecoenv.2019.109946. Epub 2019 Nov 20.
10
Pig carcass-derived biochar caused contradictory effects on arsenic mobilization in a contaminated paddy soil under fluctuating controlled redox conditions.猪尸源生物炭在波动控制氧化还原条件下对污染稻田砷迁移的矛盾影响。
J Hazard Mater. 2022 Jan 5;421:126647. doi: 10.1016/j.jhazmat.2021.126647. Epub 2021 Jul 20.

引用本文的文献

1
Diversity and transcription of genes involved in respiratory As(V) reduction and As(III) methylation in Japanese paddy soils.日本稻田土壤中参与呼吸态砷(V)还原和砷(III)甲基化的基因多样性与转录。
BMC Microbiol. 2024 Oct 9;24(1):396. doi: 10.1186/s12866-024-03562-4.

本文引用的文献

1
Carbon and Nitrogen Dynamics, and CO Efflux in the Calcareous Sandy Loam Soil Treated with Chemically Modified Organic Amendments.施用化学改性有机肥料对钙质砂壤土碳氮动态和 CO 排放的影响。
Molecules. 2021 Aug 4;26(16):4707. doi: 10.3390/molecules26164707.
2
Decomposition characteristics of indigenous organic fertilisers and introduced quick compost and their short-term nitrogen availability in the semi-arid Ethiopian Rift Valley.埃塞俄比亚裂谷半干旱地区土著有机肥料、引进快速堆肥的分解特性及其短期氮有效性。
Sci Rep. 2019 Nov 5;9(1):16000. doi: 10.1038/s41598-019-52497-8.
3
Global patterns in root decomposition: comparisons of climate and litter quality effects.
全球根系分解模式:气候与凋落物质量效应的比较
Oecologia. 2001 Nov;129(3):407-419. doi: 10.1007/s004420100740. Epub 2001 Nov 1.
4
Effect of organic manure on Cd and As accumulation in brown rice and grain yield in Cd-As-contaminated paddy fields.有机肥对镉砷污染稻田糙米中镉和砷积累及粮食产量的影响
Environ Sci Pollut Res Int. 2017 Apr;24(10):9111-9121. doi: 10.1007/s11356-017-8460-4. Epub 2017 Feb 1.
5
Understanding arsenic dynamics in agronomic systems to predict and prevent uptake by crop plants.了解农业系统中的砷动态,以预测和防止作物吸收。
Sci Total Environ. 2017 Mar 1;581-582:209-220. doi: 10.1016/j.scitotenv.2016.12.111. Epub 2016 Dec 30.
6
Impact of agronomic practices on arsenic accumulation and speciation in rice grain.农艺措施对水稻籽粒中砷积累及形态的影响
Environ Pollut. 2014 Nov;194:217-223. doi: 10.1016/j.envpol.2014.08.004. Epub 2014 Aug 24.
7
Bacterial reduction and release of adsorbed arsenate on Fe(III)-, Al- and coprecipitated Fe(III)/Al-hydroxides.铁(III)、铝和共沉淀铁(III)/铝氢氧化物上吸附砷酸根的细菌还原和释放。
J Environ Sci (China). 2012;24(3):440-8. doi: 10.1016/s1001-0742(11)60792-4.
8
Competitive sorption of carbonate and arsenic to hematite: combined ATR-FTIR and batch experiments.竞争吸附:赤铁矿对碳酸盐和砷的吸附作用——ATR-FTIR 与批量实验的联合研究。
J Colloid Interface Sci. 2012 Jul 1;377(1):313-21. doi: 10.1016/j.jcis.2012.03.025. Epub 2012 Mar 19.
9
Arsenic speciation and volatilization from flooded paddy soils amended with different organic matters.施用不同有机物料对淹水稻田砷形态变化及挥发的影响。
Environ Sci Technol. 2012 Feb 21;46(4):2163-8. doi: 10.1021/es203635s. Epub 2012 Feb 10.
10
Influence of arsenate adsorption to ferrihydrite, goethite, and boehmite on the kinetics of arsenate reduction by Shewanella putrefaciens strain CN-32.砷酸盐在水铁矿、针铁矿和薄水铝石上的吸附对腐生脱硫弧菌 CN-32 还原砷酸盐动力学的影响。
Environ Sci Technol. 2011 Sep 15;45(18):7701-9. doi: 10.1021/es201503g. Epub 2011 Aug 24.