• 文献检索
  • 文档翻译
  • 深度研究
  • 学术资讯
  • Suppr Zotero 插件Zotero 插件
  • 邀请有礼
  • 套餐&价格
  • 历史记录
应用&插件
Suppr Zotero 插件Zotero 插件浏览器插件Mac 客户端Windows 客户端微信小程序
定价
高级版会员购买积分包购买API积分包
服务
文献检索文档翻译深度研究API 文档MCP 服务
关于我们
关于 Suppr公司介绍联系我们用户协议隐私条款
关注我们

Suppr 超能文献

核心技术专利:CN118964589B侵权必究
粤ICP备2023148730 号-1Suppr @ 2026

文献检索

告别复杂PubMed语法,用中文像聊天一样搜索,搜遍4000万医学文献。AI智能推荐,让科研检索更轻松。

立即免费搜索

文件翻译

保留排版,准确专业,支持PDF/Word/PPT等文件格式,支持 12+语言互译。

免费翻译文档

深度研究

AI帮你快速写综述,25分钟生成高质量综述,智能提取关键信息,辅助科研写作。

立即免费体验

固体填料对基于含能热塑性弹性体的推进剂流变性能的影响

Influence of Solid Filler on the Rheological Properties of Propellants Based on Energetic Thermoplastic Elastomer.

作者信息

Zhang Jing, Wang Zhen, Sun Shixiong, Luo Yunjun

机构信息

School of Materials Science and Technology, Beijing Institute of Technology, Beijing 100081, China.

Key Laboratory for Ministry of Education of High Energy Density Materials, Beijing 100081, China.

出版信息

Materials (Basel). 2023 Jan 13;16(2):808. doi: 10.3390/ma16020808.

DOI:10.3390/ma16020808
PMID:36676544
原文链接:https://pmc.ncbi.nlm.nih.gov/articles/PMC9862051/
Abstract

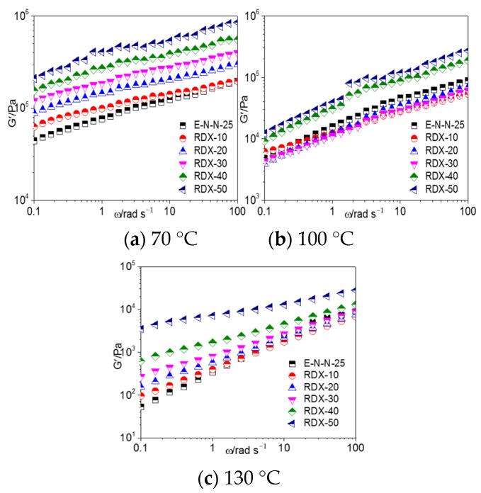
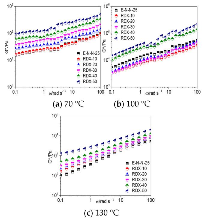
Glycidyl azide polymer-energetic thermoplastic elastomer propellant (GAP-ETPE) has high development prospects as a green solid propellant, although the preparation of GAP-ETPE with excellent performance is still a challenge. Focusing on the demand of high-strength solid propellants for free-loading rocket motors, a GAP-ETPE model propellant with excellent overall performance was prepared in this work, and the influence of adhesive structure characteristics on its fluidity was studied. Furthermore, the influence of filler on the rheological properties of the model propellant was investigated by introducing hexogen (RDX) and Al, and a corresponding two-phase model was established. The results may provide a reference for the structural design, molding process, and parameter selection of high-performance GAP-based green solid propellants.

摘要

缩水甘油叠氮聚合物-含能热塑性弹性体推进剂(GAP-ETPE)作为一种绿色固体推进剂具有很高的发展前景,尽管制备具有优异性能的GAP-ETPE仍然是一项挑战。针对自由装填火箭发动机对高强度固体推进剂的需求,本文制备了一种综合性能优异的GAP-ETPE模型推进剂,并研究了粘合剂结构特性对其流动性的影响。此外,通过引入黑索今(RDX)和铝粉,研究了填料对模型推进剂流变性能的影响,并建立了相应的两相模型。研究结果可为高性能GAP基绿色固体推进剂的结构设计、成型工艺及参数选择提供参考。

https://cdn.ncbi.nlm.nih.gov/pmc/blobs/9691/9862051/84534947e946/materials-16-00808-g015.jpg
https://cdn.ncbi.nlm.nih.gov/pmc/blobs/9691/9862051/74c6d8d8c741/materials-16-00808-g001.jpg
https://cdn.ncbi.nlm.nih.gov/pmc/blobs/9691/9862051/8987dc1a2bb0/materials-16-00808-g002.jpg
https://cdn.ncbi.nlm.nih.gov/pmc/blobs/9691/9862051/eecffea965e8/materials-16-00808-g003.jpg
https://cdn.ncbi.nlm.nih.gov/pmc/blobs/9691/9862051/0bc184186e30/materials-16-00808-g004.jpg
https://cdn.ncbi.nlm.nih.gov/pmc/blobs/9691/9862051/0c82e75177be/materials-16-00808-g005a.jpg
https://cdn.ncbi.nlm.nih.gov/pmc/blobs/9691/9862051/d668f0270da2/materials-16-00808-g006.jpg
https://cdn.ncbi.nlm.nih.gov/pmc/blobs/9691/9862051/d5cdbbaec220/materials-16-00808-g007.jpg
https://cdn.ncbi.nlm.nih.gov/pmc/blobs/9691/9862051/91d30e997544/materials-16-00808-g008.jpg
https://cdn.ncbi.nlm.nih.gov/pmc/blobs/9691/9862051/aa40b5dcf658/materials-16-00808-g009.jpg
https://cdn.ncbi.nlm.nih.gov/pmc/blobs/9691/9862051/3d9b3dfa081d/materials-16-00808-g010.jpg
https://cdn.ncbi.nlm.nih.gov/pmc/blobs/9691/9862051/072cc15c1503/materials-16-00808-g011.jpg
https://cdn.ncbi.nlm.nih.gov/pmc/blobs/9691/9862051/1345eb3c2864/materials-16-00808-g012.jpg
https://cdn.ncbi.nlm.nih.gov/pmc/blobs/9691/9862051/a4a21a246378/materials-16-00808-g013.jpg
https://cdn.ncbi.nlm.nih.gov/pmc/blobs/9691/9862051/2caec6140688/materials-16-00808-g014.jpg
https://cdn.ncbi.nlm.nih.gov/pmc/blobs/9691/9862051/84534947e946/materials-16-00808-g015.jpg
https://cdn.ncbi.nlm.nih.gov/pmc/blobs/9691/9862051/74c6d8d8c741/materials-16-00808-g001.jpg
https://cdn.ncbi.nlm.nih.gov/pmc/blobs/9691/9862051/8987dc1a2bb0/materials-16-00808-g002.jpg
https://cdn.ncbi.nlm.nih.gov/pmc/blobs/9691/9862051/eecffea965e8/materials-16-00808-g003.jpg
https://cdn.ncbi.nlm.nih.gov/pmc/blobs/9691/9862051/0bc184186e30/materials-16-00808-g004.jpg
https://cdn.ncbi.nlm.nih.gov/pmc/blobs/9691/9862051/0c82e75177be/materials-16-00808-g005a.jpg
https://cdn.ncbi.nlm.nih.gov/pmc/blobs/9691/9862051/d668f0270da2/materials-16-00808-g006.jpg
https://cdn.ncbi.nlm.nih.gov/pmc/blobs/9691/9862051/d5cdbbaec220/materials-16-00808-g007.jpg
https://cdn.ncbi.nlm.nih.gov/pmc/blobs/9691/9862051/91d30e997544/materials-16-00808-g008.jpg
https://cdn.ncbi.nlm.nih.gov/pmc/blobs/9691/9862051/aa40b5dcf658/materials-16-00808-g009.jpg
https://cdn.ncbi.nlm.nih.gov/pmc/blobs/9691/9862051/3d9b3dfa081d/materials-16-00808-g010.jpg
https://cdn.ncbi.nlm.nih.gov/pmc/blobs/9691/9862051/072cc15c1503/materials-16-00808-g011.jpg
https://cdn.ncbi.nlm.nih.gov/pmc/blobs/9691/9862051/1345eb3c2864/materials-16-00808-g012.jpg
https://cdn.ncbi.nlm.nih.gov/pmc/blobs/9691/9862051/a4a21a246378/materials-16-00808-g013.jpg
https://cdn.ncbi.nlm.nih.gov/pmc/blobs/9691/9862051/2caec6140688/materials-16-00808-g014.jpg
https://cdn.ncbi.nlm.nih.gov/pmc/blobs/9691/9862051/84534947e946/materials-16-00808-g015.jpg

相似文献

1
Influence of Solid Filler on the Rheological Properties of Propellants Based on Energetic Thermoplastic Elastomer.固体填料对基于含能热塑性弹性体的推进剂流变性能的影响
Materials (Basel). 2023 Jan 13;16(2):808. doi: 10.3390/ma16020808.
2
Mechanical Properties and Thermal Decomposition Mechanism of Glycidyl Azide Polyol Energetic Thermoplastic Elastomer Binder with RDX Composite.含RDX的聚叠氮缩水甘油醚多元醇热塑性弹性体粘结剂复合材料的力学性能及热分解机理
Polymers (Basel). 2024 Sep 17;16(18):2626. doi: 10.3390/polym16182626.
3
Preparation and Properties of a Novel High-Toughness Solid Propellant Adhesive System Based on Glycidyl Azide Polymer-Energetic Thermoplastic Elastomer/Nitrocellulose/Butyl Nitrate Ethyl Nitramine.基于缩水甘油叠氮聚合物-含能热塑性弹性体/硝化纤维素/硝酸丁酯乙硝胺的新型高韧性固体推进剂粘合剂体系的制备与性能
Polymers (Basel). 2023 Sep 5;15(18):3656. doi: 10.3390/polym15183656.
4
A Novel Method of Improving the Mechanical Properties of Propellant Using Energetic Thermoplastic Elastomers with Bonding Groups.一种使用带有键合基团的含能热塑性弹性体改善推进剂力学性能的新方法。
Polymers (Basel). 2024 Mar 13;16(6):792. doi: 10.3390/polym16060792.
5
A study on the effect of four thermoplastic elastomers on the properties of double-base propellants.四种热塑性弹性体对双基推进剂性能影响的研究
RSC Adv. 2020 Nov 25;10(70):42883-42889. doi: 10.1039/d0ra08370d. eCollection 2020 Nov 23.
6
Effect of Metastable Intermolecular Composites on the Thermal Decomposition of Glycidyl Azide Polymer Energetic Thermoplastic Elastomer.亚稳分子间复合材料对叠氮缩水甘油聚合物热分解的影响。 高能热塑性弹性体
Polymers (Basel). 2024 Jul 24;16(15):2107. doi: 10.3390/polym16152107.
7
The Effect of Glycidyl Azide Polymer Grafted Tetrafunctional Isocyanate on Polytriazole Polyethylene Oxide-Tetrahydrofuran Elastomer and its Propellant Properties.缩水甘油叠氮聚合物接枝四官能异氰酸酯对聚三唑聚环氧乙烷 - 四氢呋喃弹性体及其推进剂性能的影响
Polymers (Basel). 2020 Jan 31;12(2):278. doi: 10.3390/polym12020278.
8
Synthesis of two novel neutral polymeric bonding agents to enhance the mechanical properties of composite solid propellants.两种新型中性聚合物粘结剂的合成以增强复合固体推进剂的机械性能。
RSC Adv. 2022 Jul 8;12(31):19946-19952. doi: 10.1039/d2ra01842j. eCollection 2022 Jul 6.
9
Non-Isothermal Simulation and Safety Analysis of Twin-Screw Extrusion Process for Synthetizing Glycidyl Azide Polymer-Based Energetic Thermoplastic Elastomer.合成叠氮缩水甘油聚合物基含能热塑性弹性体双螺杆挤出过程的非等温模拟与安全性分析
Polymers (Basel). 2023 Sep 5;15(18):3662. doi: 10.3390/polym15183662.
10
Research on the Thermal Aging Performance of a GAP-Based Polyurethane Elastomer.基于GAP的聚氨酯弹性体热老化性能研究
Polymers (Basel). 2024 Mar 13;16(6):795. doi: 10.3390/polym16060795.

引用本文的文献

1
Pressure Effect on the Rheological Behavior of Highly Filled Solid Propellant During Extrusion Flow.压力对高装填固体推进剂挤压流动过程中流变行为的影响
Polymers (Basel). 2025 Jul 22;17(15):2003. doi: 10.3390/polym17152003.
2
Research on Time-Dimension Expansion of HBP Model Based on Hydroxyl-Terminated Polybutadiene (HTPB) Propellant Slurry.基于端羟基聚丁二烯(HTPB)推进剂浆料的HBP模型时间维度扩展研究
Polymers (Basel). 2025 Jun 17;17(12):1682. doi: 10.3390/polym17121682.
3
Study on the Rheological Properties of BGAP Adhesive and Its Propellant.

本文引用的文献

1
Novel Polyurethanes Based on Recycled Polyethylene Terephthalate: Synthesis, Characterization, and Formulation of Binders for Environmentally Responsible Rocket Propellants.基于回收聚对苯二甲酸乙二酯的新型聚氨酯:环保型火箭推进剂粘合剂的合成、表征与配方
Polymers (Basel). 2021 Nov 5;13(21):3828. doi: 10.3390/polym13213828.
2
Effect of Polar Environments on the Aluminum Oxide Shell Surrounding Aluminum Particles: Simulations of Surface Hydroxyl Bonding and Charge.极地环境对铝颗粒表面氧化铝壳的影响:表面羟基键合和电荷的模拟。
ACS Appl Mater Interfaces. 2016 Jun 8;8(22):13926-33. doi: 10.1021/acsami.6b02665. Epub 2016 May 23.
3
BGAP粘合剂及其推进剂的流变特性研究
Molecules. 2025 Apr 29;30(9):1967. doi: 10.3390/molecules30091967.
4
Theoretical characterization of mesoscopic structure of PBT propellant based on liquid film thickness.基于液膜厚度的聚丁烯对苯二甲酸酯推进剂细观结构的理论表征
Sci Rep. 2025 Apr 15;15(1):12968. doi: 10.1038/s41598-025-97596-x.
5
Influence of Process Aids on Solid-Liquid Interfacial Properties of Three-Component Hydroxyl-Terminated Polybutadiene Propellants.工艺助剂对三元端羟基聚丁二烯推进剂固液界面性能的影响
Polymers (Basel). 2025 Jan 23;17(3):286. doi: 10.3390/polym17030286.
A microscopic look at the reinforcement of silica-filled rubbers.
二氧化硅填充橡胶增强作用的微观观察。
J Chem Phys. 2006 May 7;124(17):174908. doi: 10.1063/1.2191048.