Department of Respiratory and Critical Care Medicine, Ningbo First Hospital, Ningbo, China.
Department of Respiratory and Critical Care Medicine, The Affiliated People Hospital of Ningbo University, Ningbo, China.
Clin Appl Thromb Hemost. 2023 Jan-Dec;29:10760296231151696. doi: 10.1177/10760296231151696.
To investigate the risk factors of pulmonary embolism in patients with lung cancer and develop and validate a novel nomogram scoring system-based prediction model.
We retrospectively analyzed the clinical data and laboratory characteristics of 900 patients with lung cancer who were treated, including patients with lung cancer without pulmonary embolism (LC) and patients with lung cancer with pulmonary embolism (LC + PE). The patients were randomly divided into derivation and internal validation groups in a 7:3 ratio. Using logistic regression analysis, a diagnostic model of the nomogram scoring system was developed by incorporating selected variables in the derivation group and validated in the internal and external validation groups (n = 108).
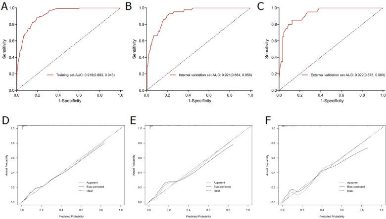
Seven variables (adenocarcinoma, stage III-IV LC, indwelling central venous catheter, chemotherapy, and the levels of serum albumin, hemoglobin, and D-dimer) were identified as valuable parameters for developing the novel nomogram diagnostic model for differentiating patients with LC and LC + PE. The scoring system demonstrated good diagnostic performance in the derivation (area under the curve [AUC]; 95% confidence interval [CI], 0.918; 0.893, 0.943; sensitivity, 88.5%; specificity, 80.5%), internal validation (AUC; 95% CI, 0.921; 0.884, 0.958; sensitivity, 90.5%; specificity, 80.4%), and external validation (AUC; 95% CI, 0.929; 0.875, 0.983; sensitivity; 85.0%; specificity; 87.5%) groups.
In this study, we constructed and validated a nomogram scoring system based on 7 clinical parameters. The scoring system exhibits good accuracy and discrimination between patients with LC and LC + PE and can effectively predict the risk of PE in patients with LC.
探讨肺癌患者发生肺栓塞的危险因素,建立并验证一种基于新型列线图评分系统的预测模型。
回顾性分析 900 例肺癌患者的临床资料和实验室特征,包括肺癌合并肺栓塞(LC+PE)患者和单纯肺癌(LC)患者。患者按照 7∶3 的比例随机分为推导组和内部验证组。采用 logistic 回归分析,在推导组中选择有价值的变量,建立列线图评分系统诊断模型,并在内部和外部验证组(n=108)中进行验证。
7 个变量(腺癌、III 期-IV 期 LC、中心静脉导管留置、化疗、血清白蛋白、血红蛋白和 D-二聚体水平)被确定为区分 LC 和 LC+PE 患者的新型列线图诊断模型的有价值参数。评分系统在推导组(曲线下面积[AUC]:95%置信区间[CI],0.918;0.893,0.943;敏感度,88.5%;特异度,80.5%)、内部验证组(AUC:95%CI,0.921;0.884,0.958;敏感度,90.5%;特异度,80.4%)和外部验证组(AUC:95%CI,0.929;0.875,0.983;敏感度,85.0%;特异度,87.5%)中均具有良好的诊断性能。
本研究构建并验证了一种基于 7 个临床参数的列线图评分系统。该评分系统在区分 LC 和 LC+PE 患者方面具有较好的准确性和判别能力,可有效预测 LC 患者发生 PE 的风险。