Suppr超能文献

一个具有序列相关创新的一阶二项混合泊松整数值自回归模型。

A first-order binomial-mixed Poisson integer-valued autoregressive model with serially dependent innovations.

作者信息

Chen Zezhun, Dassios Angelos, Tzougas George

机构信息

Department of Statistics, London School of Economics, London, UK.

出版信息

J Appl Stat. 2021 Nov 1;50(2):352-369. doi: 10.1080/02664763.2021.1993798. eCollection 2023.

Abstract

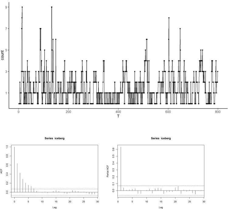
Motivated by the extended Poisson INAR(1), which allows innovations to be serially dependent, we develop a new family of binomial-mixed Poisson INAR(1) (BMP INAR(1)) processes by adding a mixed Poisson component to the innovations of the classical Poisson INAR(1) process. Due to the flexibility of the mixed Poisson component, the model includes a large class of INAR(1) processes with different transition probabilities. Moreover, it can capture some overdispersion features coming from the data while keeping the innovations serially dependent. We discuss its statistical properties, stationarity conditions and transition probabilities for different mixing densities (Exponential, Lindley). Then, we derive the maximum likelihood estimation method and its asymptotic properties for this model. Finally, we demonstrate our approach using a real data example of iceberg count data from a financial system.

摘要

受扩展泊松INAR(1)(它允许创新序列相关)的启发,我们通过在经典泊松INAR(1)过程的创新项中添加一个混合泊松成分,开发了一个新的二项混合泊松INAR(1)(BMP INAR(1))过程族。由于混合泊松成分的灵活性,该模型包含一大类具有不同转移概率的INAR(1)过程。此外,它可以在保持创新序列相关的同时,捕捉来自数据的一些过度分散特征。我们讨论了其统计性质、平稳性条件以及针对不同混合密度(指数分布、林德利分布)的转移概率。然后,我们推导了该模型的最大似然估计方法及其渐近性质。最后,我们使用来自金融系统的冰山计数数据的实际例子展示了我们的方法。

https://cdn.ncbi.nlm.nih.gov/pmc/blobs/f7e0/9870000/3da7291fbade/CJAS_A_1993798_F0001_OC.jpg

相似文献

2
Generalized Poisson integer-valued autoregressive processes with structural changes.具有结构变化的广义泊松整数值自回归过程
J Appl Stat. 2021 Apr 15;49(11):2717-2739. doi: 10.1080/02664763.2021.1915255. eCollection 2022.

文献检索

告别复杂PubMed语法,用中文像聊天一样搜索,搜遍4000万医学文献。AI智能推荐,让科研检索更轻松。

立即免费搜索

文件翻译

保留排版,准确专业,支持PDF/Word/PPT等文件格式,支持 12+语言互译。

免费翻译文档

深度研究

AI帮你快速写综述,25分钟生成高质量综述,智能提取关键信息,辅助科研写作。

立即免费体验