Suppr超能文献

在美国,免疫疗法输注治疗黑色素瘤所导致的时间和生产力损失:对医疗保健专业人员和患者的调查。

Time and productivity loss associated with immunotherapy infusions for the treatment of melanoma in the United States: a survey of health care professionals and patients.

机构信息

Merck Canada Inc., Kirkland, QC, Canada.

Merck & Co., Inc., Rahway, NJ, USA.

出版信息

BMC Health Serv Res. 2023 Feb 9;23(1):136. doi: 10.1186/s12913-022-08904-4.

Abstract

INTRODUCTION

A new dosing schedule for the oncology immunotherapy pembrolizumab, every 6 weeks (Q6W), has been approved by the U.S. FDA, reducing the frequency of visits to infusion centers. We quantified the time spent by oncologists, nurses, patients, and caregivers per melanoma-related immunotherapy infusion visit to evaluate its potential impact.

METHODS

Surveys were self-completed by 100 oncologists, 101 oncology nurses, and 100 patients with melanoma across the U.S. to quantify the time spent per infusion visit with pembrolizumab (Q3W or Q6W), nivolumab (Q2W or Q4W), or nivolumab+ipilimumab (nivolumab in combination: Q3W; nivolumab maintenance: Q2W or Q4W). Time measures included traveling, waiting, consultation, infusion, post-treatment observation, and caregiving. Respondents were also surveyed regarding the impact of the COVID-19 pandemic on infusion treatments.

RESULTS

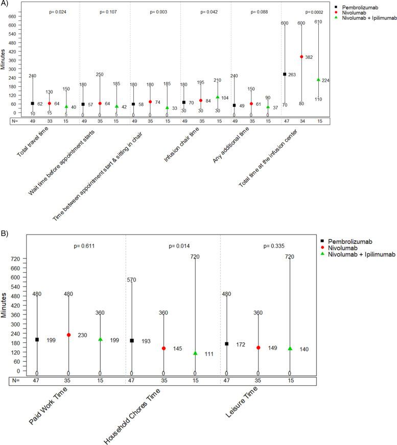
Responses deemed valid were provided by 89 oncologists, 93 nurses, and 100 patients. For each new [returning] patient treated with pembrolizumab, nivolumab or nivolumab+ipilimumab, oncologists reported to spend an average of 90 [64], 87 [60] and 101 [69] minutes per infusion visit (p-value for between-group difference = 0.300 [0.627]). For first [subsequent] treatment cycles, nurses reported spending 160 [145] average minutes per visit for nivolumab+ipilimumab, versus roughly 120 [110] for the single agents (p-value for between-group difference = 0.018 [0.022]). Patients reported to spend an average of 263, 382, and 224 minutes per visit at the center for pembrolizumab (N = 47), nivolumab (n = 34), and nivolumab+ipilimumab (n = 15) respectively (p-value for between-group difference = 0.0002). Patients also reported that their unpaid (N = 20) and paid caregivers (N = 41) spent with them an average of 966 and 333 minutes, respectively, from the day before to the day after the infusion visit.

CONCLUSION

Less frequent immunotherapy infusion visits may result in substantial time savings for oncologists, nurses, patients, and caregivers.

摘要

简介

美国食品和药物管理局(FDA)批准了一种新的肿瘤免疫治疗药物 pembrolizumab 的给药方案,每 6 周(Q6W)一次,这将减少患者前往输液中心的频率。我们量化了每位黑色素瘤相关免疫治疗输液患者的每位肿瘤医生、护士、患者和护理人员的输液就诊时间,以评估其潜在影响。

方法

在美国,100 名肿瘤医生、101 名肿瘤护士和 100 名黑色素瘤患者完成了自我评估,以量化 pembrolizumab(Q3W 或 Q6W)、nivolumab(Q2W 或 Q4W)或 nivolumab+ipilimumab(nivolumab 联合治疗:Q3W;nivolumab 维持治疗:Q2W 或 Q4W)每次输液就诊的时间。时间测量包括旅行、等待、咨询、输液、治疗后观察和护理。受访者还被调查了 COVID-19 大流行对输液治疗的影响。

结果

89 名肿瘤医生、93 名护士和 100 名患者提供了被认为有效的回复。对于每位接受 pembrolizumab、nivolumab 或 nivolumab+ipilimumab 治疗的新(复诊)患者,肿瘤医生报告每次输液就诊平均花费 90 [64]、87 [60] 和 101 [69] 分钟(组间差异的 p 值=0.300 [0.627])。对于 nivolumab+ipilimumab 的首次[后续]治疗周期,护士报告每次就诊平均花费 160 [145] 分钟,而单药治疗则约为 120 [110] 分钟(组间差异的 p 值=0.018 [0.022])。患者报告每次就诊在中心花费平均 263、382 和 224 分钟,用于 pembrolizumab(N=47)、nivolumab(n=34)和 nivolumab+ipilimumab(n=15)(组间差异的 p 值=0.0002)。患者还报告说,他们的无薪(N=20)和带薪(N=41)护理人员在输液就诊前一天到后一天平均陪伴他们 966 和 333 分钟。

结论

免疫治疗输液就诊频率降低可能为肿瘤医生、护士、患者和护理人员节省大量时间。

https://cdn.ncbi.nlm.nih.gov/pmc/blobs/9525/9912538/8c05ce72369b/12913_2022_8904_Fig1_HTML.jpg

文献AI研究员

20分钟写一篇综述,助力文献阅读效率提升50倍。

立即体验

用中文搜PubMed

大模型驱动的PubMed中文搜索引擎

马上搜索

文档翻译

学术文献翻译模型,支持多种主流文档格式。

立即体验