• 文献检索
  • 文档翻译
  • 深度研究
  • 学术资讯
  • Suppr Zotero 插件Zotero 插件
  • 邀请有礼
  • 套餐&价格
  • 历史记录
应用&插件
Suppr Zotero 插件Zotero 插件浏览器插件Mac 客户端Windows 客户端微信小程序
定价
高级版会员购买积分包购买API积分包
服务
文献检索文档翻译深度研究API 文档MCP 服务
关于我们
关于 Suppr公司介绍联系我们用户协议隐私条款
关注我们

Suppr 超能文献

核心技术专利:CN118964589B侵权必究
粤ICP备2023148730 号-1Suppr @ 2026

文献检索

告别复杂PubMed语法,用中文像聊天一样搜索,搜遍4000万医学文献。AI智能推荐,让科研检索更轻松。

立即免费搜索

文件翻译

保留排版,准确专业,支持PDF/Word/PPT等文件格式,支持 12+语言互译。

免费翻译文档

深度研究

AI帮你快速写综述,25分钟生成高质量综述,智能提取关键信息,辅助科研写作。

立即免费体验

半合成倍半萜内酯由 Glaucolide B 对路易斯酸和布朗斯特-劳里酸碱的敏感性产生:细胞毒性和抗炎活性。

Semisynthetic Sesquiterpene Lactones Generated by the Sensibility of Glaucolide B to Lewis and Brønsted-Lowry Acids and Bases: Cytotoxicity and Anti-Inflammatory Activities.

机构信息

Post-Graduate Program of Pharmacy, Universidade Federal de Santa Catarina, Campus Universitário-Trindade, Florianópolis CEP 8840-970, SC, Brazil.

Department of Chemistry, Universidade Federal de Santa Catarina, Campus Universitário-Trindade, Florianópolis CEP 88040-900, SC, Brazil.

出版信息

Molecules. 2023 Jan 27;28(3):1243. doi: 10.3390/molecules28031243.

DOI:10.3390/molecules28031243
PMID:36770909
原文链接:https://pmc.ncbi.nlm.nih.gov/articles/PMC9921329/
Abstract

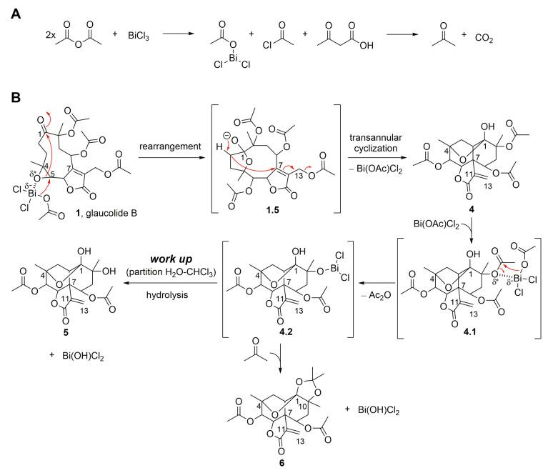
Sesquiterpene lactone (SL) subtypes including hirsutinolide and cadinanolide have a controversial genesis. Metabolites of these classes are either described as natural products or as artifacts produced via the influence of solvents, chromatographic mobile phases, and adsorbents used in phytochemical studies. Based on this divergence, and to better understand the sensibility of these metabolites, different pH conditions were used to prepare semisynthetic SLs and evaluate the anti-inflammatory and antiproliferative activities. Therefore, glaucolide B () was treated with various Brønsted-Lowry and Lewis acids and bases-the same approach was applied to some of its derivatives-allowing us to obtain 14 semisynthetic SL derivatives, 10 of which are hereby reported for the first time. Hirsutinolide derivatives (CC = 5.0 µM; SI = 2.5) and (CC = 11.2 µM; SI = 2.5) and the germacranolide derivative (CC = 3.1 µM; SI = 3.0) revealed significant cytotoxic activity and selectivity against human melanoma SK-MEL-28 cells when compared with that against non-tumoral HUVEC cells. Additionally, compounds and showed strongly reduced interleukin-6 (IL-6) and nitrite (NOx) release in pre-treated M1 macrophages J774A.1 when stimulated with lipopolysaccharide. Despite the fact that hirsutinolide and cadinanolide SLs may be produced via plant metabolism, this study shows that acidic and alkaline extraction and solid-phase purification processes can promote their formation.

摘要

倍半萜内酯(SL)亚型包括毛喉萜烯内酯和卡达烯内酯的起源存在争议。这些类别的代谢物要么被描述为天然产物,要么被描述为溶剂、色谱流动相和植物化学研究中使用的吸附剂影响下产生的人工制品。基于这种分歧,并为了更好地了解这些代谢物的敏感性,我们使用不同的 pH 值条件来制备半合成 SL,并评估其抗炎和抗增殖活性。因此,我们用各种布朗斯台德-劳里和路易斯酸和碱处理了格拉醇内酯 B (),同样的方法也应用于其一些衍生物,使我们能够获得 14 种半合成 SL 衍生物,其中 10 种是首次报道。毛喉萜烯内酯衍生物 (CC = 5.0 µM;SI = 2.5)和 (CC = 11.2 µM;SI = 2.5)和大根香叶烯醇内酯衍生物 (CC = 3.1 µM;SI = 3.0)在人黑色素瘤 SK-MEL-28 细胞中的细胞毒性活性和选择性方面表现出显著的活性,与非肿瘤性 HUVEC 细胞相比。此外,化合物 和 在经脂多糖刺激的 M1 巨噬细胞 J774A.1 中预处理时,显示出强烈减少白细胞介素 6(IL-6)和亚硝酸盐(NOx)的释放。尽管毛喉萜烯内酯和卡达烯内酯 SL 可能是通过植物代谢产生的,但本研究表明,酸性和碱性提取和固相纯化过程可以促进它们的形成。

https://cdn.ncbi.nlm.nih.gov/pmc/blobs/020b/9921329/0d94e35810c1/molecules-28-01243-g013.jpg
https://cdn.ncbi.nlm.nih.gov/pmc/blobs/020b/9921329/9195de99e211/molecules-28-01243-g001.jpg
https://cdn.ncbi.nlm.nih.gov/pmc/blobs/020b/9921329/62d4835f2370/molecules-28-01243-g002.jpg
https://cdn.ncbi.nlm.nih.gov/pmc/blobs/020b/9921329/091f92ad8529/molecules-28-01243-g003.jpg
https://cdn.ncbi.nlm.nih.gov/pmc/blobs/020b/9921329/bbd11c733fe5/molecules-28-01243-g004.jpg
https://cdn.ncbi.nlm.nih.gov/pmc/blobs/020b/9921329/0d81abb0e7fa/molecules-28-01243-g005.jpg
https://cdn.ncbi.nlm.nih.gov/pmc/blobs/020b/9921329/fd2473297411/molecules-28-01243-g006.jpg
https://cdn.ncbi.nlm.nih.gov/pmc/blobs/020b/9921329/7faf89bb325a/molecules-28-01243-g007.jpg
https://cdn.ncbi.nlm.nih.gov/pmc/blobs/020b/9921329/d26be9957888/molecules-28-01243-g008.jpg
https://cdn.ncbi.nlm.nih.gov/pmc/blobs/020b/9921329/00b4e6bd1df9/molecules-28-01243-g009.jpg
https://cdn.ncbi.nlm.nih.gov/pmc/blobs/020b/9921329/0851fbb7cd6f/molecules-28-01243-g010.jpg
https://cdn.ncbi.nlm.nih.gov/pmc/blobs/020b/9921329/b071771064c3/molecules-28-01243-g011.jpg
https://cdn.ncbi.nlm.nih.gov/pmc/blobs/020b/9921329/013ce2f704e0/molecules-28-01243-g012.jpg
https://cdn.ncbi.nlm.nih.gov/pmc/blobs/020b/9921329/0d94e35810c1/molecules-28-01243-g013.jpg
https://cdn.ncbi.nlm.nih.gov/pmc/blobs/020b/9921329/9195de99e211/molecules-28-01243-g001.jpg
https://cdn.ncbi.nlm.nih.gov/pmc/blobs/020b/9921329/62d4835f2370/molecules-28-01243-g002.jpg
https://cdn.ncbi.nlm.nih.gov/pmc/blobs/020b/9921329/091f92ad8529/molecules-28-01243-g003.jpg
https://cdn.ncbi.nlm.nih.gov/pmc/blobs/020b/9921329/bbd11c733fe5/molecules-28-01243-g004.jpg
https://cdn.ncbi.nlm.nih.gov/pmc/blobs/020b/9921329/0d81abb0e7fa/molecules-28-01243-g005.jpg
https://cdn.ncbi.nlm.nih.gov/pmc/blobs/020b/9921329/fd2473297411/molecules-28-01243-g006.jpg
https://cdn.ncbi.nlm.nih.gov/pmc/blobs/020b/9921329/7faf89bb325a/molecules-28-01243-g007.jpg
https://cdn.ncbi.nlm.nih.gov/pmc/blobs/020b/9921329/d26be9957888/molecules-28-01243-g008.jpg
https://cdn.ncbi.nlm.nih.gov/pmc/blobs/020b/9921329/00b4e6bd1df9/molecules-28-01243-g009.jpg
https://cdn.ncbi.nlm.nih.gov/pmc/blobs/020b/9921329/0851fbb7cd6f/molecules-28-01243-g010.jpg
https://cdn.ncbi.nlm.nih.gov/pmc/blobs/020b/9921329/b071771064c3/molecules-28-01243-g011.jpg
https://cdn.ncbi.nlm.nih.gov/pmc/blobs/020b/9921329/013ce2f704e0/molecules-28-01243-g012.jpg
https://cdn.ncbi.nlm.nih.gov/pmc/blobs/020b/9921329/0d94e35810c1/molecules-28-01243-g013.jpg

相似文献

1
Semisynthetic Sesquiterpene Lactones Generated by the Sensibility of Glaucolide B to Lewis and Brønsted-Lowry Acids and Bases: Cytotoxicity and Anti-Inflammatory Activities.半合成倍半萜内酯由 Glaucolide B 对路易斯酸和布朗斯特-劳里酸碱的敏感性产生:细胞毒性和抗炎活性。
Molecules. 2023 Jan 27;28(3):1243. doi: 10.3390/molecules28031243.
2
A single-step isolation by centrifugal partition chromatography of the potential anti-inflammatory glaucolide B from Lepidaploa chamissonis.从 Lepidaploa chamissonis 中通过离心分配色谱一步法分离潜在抗炎的 glaucolide B。
J Chromatogr A. 2019 Nov 8;1605:460362. doi: 10.1016/j.chroma.2019.460362. Epub 2019 Jul 12.
3
Hirsutinolide- and Cadinanolide-type Sesquiterpene Lactones from Lessingianthus rubricaulis (Vernonieae, Asteraceae).来自红茎少花菊(菊科,斑鸠菊族)的刺苞菊内酯型和杜松醇内酯型倍半萜内酯
Chem Biodivers. 2024 Mar;21(3):e202302023. doi: 10.1002/cbdv.202302023. Epub 2024 Feb 21.
4
Cajamolides A-N: Cytotoxic and anti-inflammatory sesquiterpene lactones from Calea jamaicensis.卡雅莫利德斯 A-N:来自 Jamaicensis 草的细胞毒性和抗炎倍半萜内酯。
Bioorg Chem. 2021 Nov;116:105351. doi: 10.1016/j.bioorg.2021.105351. Epub 2021 Sep 11.
5
Preparation of Sesquiterpene Lactone Derivatives: Cytotoxic Activity and Selectivity of Action.倍半萜内酯衍生物的制备:细胞毒性活性和作用选择性。
Molecules. 2019 Mar 20;24(6):1113. doi: 10.3390/molecules24061113.
6
Anti-Inflammatory and Immunoregulatory Action of Sesquiterpene Lactones.倍半萜内酯的抗炎和免疫调节作用。
Molecules. 2022 Feb 8;27(3):1142. doi: 10.3390/molecules27031142.
7
ESI-QTof-MS characterization of hirsutinolide and glaucolide sesquiterpene lactones: Fragmentation mechanisms and differentiation based on Na /H adducts interactions in complex mixture.ESI-QTof-MS characterization of hirsutinolide and glaucolide sesquiterpene lactones: Fragmentation mechanisms and differentiation based on Na /H adducts interactions in complex mixture.
J Mass Spectrom. 2019 Nov;54(11):915-932. doi: 10.1002/jms.4433. Epub 2019 Dec 17.
8
Highly Modified Sesquiterpene Lactones with Cytotoxic Activities from .从. 中提取到具有细胞毒性的高度修饰倍半萜内酯。
J Org Chem. 2023 Aug 4;88(15):11122-11129. doi: 10.1021/acs.joc.3c01104. Epub 2023 Jul 20.
9
Three rare anti-inflammatory sesquiterpene lactones from Magnolia grandiflora.从玉兰中分离得到的三种罕见的抗炎倍半萜内酯。
Chin J Nat Med. 2024 Mar;22(3):265-272. doi: 10.1016/S1875-5364(24)60601-1.
10
Antiproliferative, cytotoxic and apoptotic activity of the bentonite transformation of sesquiterpene lactone glaucolide B to 5β-hydroxy-hirsutinolide on tumor cell lines.倍半萜内酯格尔德内酯 B 膨润土转化物对肿瘤细胞系的抗增殖、细胞毒性和细胞凋亡活性。
Eur J Pharmacol. 2019 Aug 5;856:172406. doi: 10.1016/j.ejphar.2019.172406. Epub 2019 May 25.

引用本文的文献

1
Semisynthetic phytochemicals in cancer treatment: a medicinal chemistry perspective.从药物化学角度看癌症治疗中的半合成植物化学物质。
RSC Med Chem. 2024 Aug 7;15(10):3345-3370. doi: 10.1039/d4md00317a. eCollection 2024 Oct 17.

本文引用的文献

1
Revisiting the Resazurin-Based Sensing of Cellular Viability: Widening the Application Horizon.重新审视基于刃天青的细胞活力检测:拓展应用范围
Biosensors (Basel). 2022 Mar 25;12(4):196. doi: 10.3390/bios12040196.
2
Guaianolide sesquiterpene lactones from Achillea millefolium L.从白花蒿中提取的愈创木薁型倍半萜内酯
Phytochemistry. 2021 Jun;186:112733. doi: 10.1016/j.phytochem.2021.112733. Epub 2021 Mar 21.
3
Inhibitory effects of cynaropicrin on human melanoma progression by targeting MAPK, NF-κB, and Nrf-2 signaling pathways in vitro.
体外研究柳穿鱼叶二萜通过靶向 MAPK、NF-κB 和 Nrf-2 信号通路抑制人黑色素瘤进展。
Phytother Res. 2021 Mar;35(3):1432-1442. doi: 10.1002/ptr.6906. Epub 2020 Oct 15.
4
IL-6 produced by prostate epithelial cells stimulated with Trichomonas vaginalis promotes proliferation of prostate cancer cells by inducing M2 polarization of THP-1-derived macrophages.前列腺上皮细胞受阴道毛滴虫刺激产生的白细胞介素-6 通过诱导 THP-1 衍生巨噬细胞向 M2 极化促进前列腺癌细胞的增殖。
PLoS Negl Trop Dis. 2020 Mar 20;14(3):e0008126. doi: 10.1371/journal.pntd.0008126. eCollection 2020 Mar.
5
ESI-QTof-MS characterization of hirsutinolide and glaucolide sesquiterpene lactones: Fragmentation mechanisms and differentiation based on Na /H adducts interactions in complex mixture.ESI-QTof-MS characterization of hirsutinolide and glaucolide sesquiterpene lactones: Fragmentation mechanisms and differentiation based on Na /H adducts interactions in complex mixture.
J Mass Spectrom. 2019 Nov;54(11):915-932. doi: 10.1002/jms.4433. Epub 2019 Dec 17.
6
Bioactive Sesquiterpene Lactones Isolated from the Whole Plants of .从 的全株植物中分离得到的生物活性倍半萜内酯。
J Nat Prod. 2019 Aug 23;82(8):2124-2131. doi: 10.1021/acs.jnatprod.8b01078. Epub 2019 Aug 14.
7
A single-step isolation by centrifugal partition chromatography of the potential anti-inflammatory glaucolide B from Lepidaploa chamissonis.从 Lepidaploa chamissonis 中通过离心分配色谱一步法分离潜在抗炎的 glaucolide B。
J Chromatogr A. 2019 Nov 8;1605:460362. doi: 10.1016/j.chroma.2019.460362. Epub 2019 Jul 12.
8
Antiproliferative, cytotoxic and apoptotic activity of the bentonite transformation of sesquiterpene lactone glaucolide B to 5β-hydroxy-hirsutinolide on tumor cell lines.倍半萜内酯格尔德内酯 B 膨润土转化物对肿瘤细胞系的抗增殖、细胞毒性和细胞凋亡活性。
Eur J Pharmacol. 2019 Aug 5;856:172406. doi: 10.1016/j.ejphar.2019.172406. Epub 2019 May 25.
9
Recent Advances on Cytotoxic Sesquiterpene Lactones.细胞毒性倍半萜内酯的最新进展。
Curr Pharm Des. 2018;24(36):4355-4361. doi: 10.2174/1381612825666190119114323.
10
Global cancer statistics 2018: GLOBOCAN estimates of incidence and mortality worldwide for 36 cancers in 185 countries.全球癌症统计数据 2018:GLOBOCAN 对全球 185 个国家/地区 36 种癌症的发病率和死亡率的估计。
CA Cancer J Clin. 2018 Nov;68(6):394-424. doi: 10.3322/caac.21492. Epub 2018 Sep 12.