Wang Huafen, He Huanhuan, Zhang Jiaxiang, Liu Juntao, Zhuang Yuwei, Yin Yuanyuan, Ren Zhiyong, Fu Yang, He Suqin
High & New Technology Research Center of Henan Academy of Sciences, No. 56 Hongzhuan Road, Zhengzhou 450002, China.
School of Materials Science and Engineering, Zhengzhou University, Zhengzhou 450001, China.
Polymers (Basel). 2023 Jan 21;15(3):564. doi: 10.3390/polym15030564.
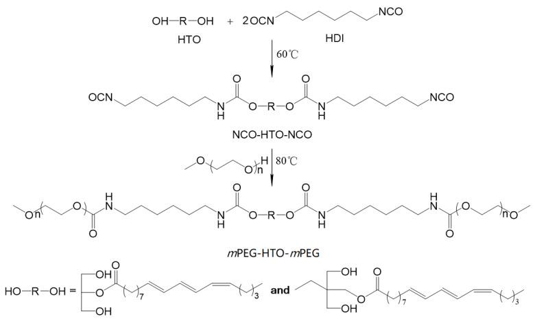
Novel monomethoxy poly(ethylene glycol) (PEG) modified hydroxylated tung oil (HTO), denoted as PEG-HTO-PEG, was designed and synthesized for drug delivery. PEG-HTO-PEG consists of a hydroxylated tung oil center joined by two PEG blocks via a urethane linkage. The properties of PEG-HTO-PEG were affected by the length of the mPEG chain. Three PEG with different molecular weights were used to prepare PEG-HTO-PEG. The obtained three PEG-HTO-PEG polymers were characterized by nuclear magnetic resonance (NMR), Fourier transformation infrared spectroscopy (FT-IR), differential scanning calorimetry (DSC) and gel permeation chromatography (GPC), respectively. Furthermore, the particle sizes of PEG-HTO-PEG micelles were evaluated by dynamic light scattering (DLS) and transmission electron microscope (TEM). A critical aggregation concentration (CAC) ranged from 7.28 to 11.73 mg/L depending on the chain length of mPEG. The drug loading and release behaviors of PEG-HTO-PEG were investigated using prednisone acetate as a model drug, and results indicated that hydrophobic prednisone acetate could be effectively loaded into PEG-HTO-PEG micelles and exhibited a long-term sustained release. Moreover, compared with HTO, PEG-HTO-PEG had no obvious cytotoxicity to HeLa and L929 cells. Therefore, monomethoxy poly(ethylene glycol) modified hydroxylated tung oil PEG-HTO-PEG may be a promising drug carrier.
新型单甲氧基聚(乙二醇)(PEG)修饰的羟基化桐油(HTO),记为PEG-HTO-PEG,被设计并合成用于药物递送。PEG-HTO-PEG由一个羟基化桐油中心通过两个PEG嵌段经脲烷键连接而成。PEG-HTO-PEG的性质受甲氧基聚乙二醇(mPEG)链长度的影响。使用三种不同分子量的PEG制备PEG-HTO-PEG。分别通过核磁共振(NMR)、傅里叶变换红外光谱(FT-IR)、差示扫描量热法(DSC)和凝胶渗透色谱法(GPC)对所得的三种PEG-HTO-PEG聚合物进行了表征。此外,通过动态光散射(DLS)和透射电子显微镜(TEM)评估了PEG-HTO-PEG胶束的粒径。临界聚集浓度(CAC)根据mPEG的链长在7.28至11.73 mg/L范围内。以醋酸泼尼松为模型药物研究了PEG-HTO-PEG的载药和释放行为,结果表明疏水性的醋酸泼尼松可以有效地负载到PEG-HTO-PEG胶束中,并表现出长期持续释放。此外,与HTO相比,PEG-HTO-PEG对HeLa和L929细胞没有明显的细胞毒性。因此,单甲氧基聚(乙二醇)修饰的羟基化桐油PEG-HTO-PEG可能是一种有前途的药物载体。