Suppr超能文献

2010 - 2020年丹麦三级医疗中心生物疗法在炎症性肠病中的应用及疗效

The Use and Efficacy of Biological Therapies for Inflammatory Bowel Disease in a Danish Tertiary Centre 2010-2020.

作者信息

Wewer Mads Damsgaard, Arp Laura, Sarikaya Melek, Felding Oluf Krautwald, Vind Ida, Pedersen Gitte, Mertz-Nielsen Anette, Kiszka-Kanowitz Marianne, Boysen Trine, Theede Klaus, Petersen Andreas Munk, Nordgaard-Lassen Inge, Bendtsen Flemming, Burisch Johan

机构信息

Medical Faculty, University of Copenhagen, Copenhagen, Denmark.

Gastro Unit, Medical Division, Hvidovre Hospital, University of Copenhagen, Hvidovre, Denmark.

出版信息

Crohns Colitis 360. 2022 Nov 3;4(4):otac041. doi: 10.1093/crocol/otac041. eCollection 2022 Oct.

Abstract

BACKGROUND

Patients with inflammatory bowel disease (IBD) who receive biologicals frequently experience lack or loss of response. Our aim was to describe the use and efficacy of biological therapy in a tertiary IBD center.

METHODS

We included all bio-naive IBD patients who initiated biological therapy between 2010 and 2020 at our centre. Their medical records were reviewed.

RESULTS

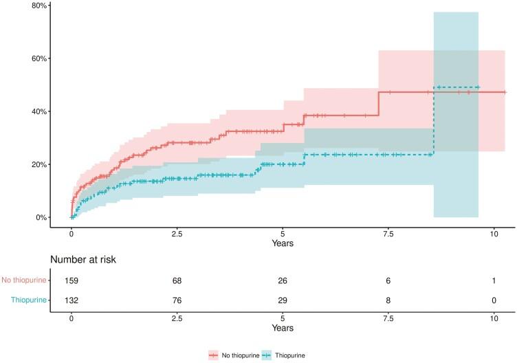
The population consisted of 327 Crohn's disease (CD) patients, 291 ulcerative colitis (UC) patients, and 3 patients with IBD unclassified (IBDU). The median follow-up was 3 years (interquartile range = 2-5) after initiating therapy. The annual number of patients initiating biological therapy rose from 29 (2010) to 85 (2019). Most patients (457, 73.6%) received 1 biological drug; 164 (26.4%) patients received 2 or more biologicals. Primary lack of response was observed in 36.4% (106/291) and 17.4% (57/327) of UC and CD patients; loss of response was observed in 27.1% (79/291) and 31.5% (103/327) of UC and CD patients, respectively. The 5-year surgery rates were 26.6% and 20.4% in UC and CD patients, respectively. Multivariate Cox regression showed that treatment with thiopurine reduced the likelihood of needing to switch biological therapy, requiring surgery or corticosteroids in UC patients (HR: 0.745, 95% CI: 0.559-0.993), but not in CD patients (HR: 0.996, 95% CI: 0.736-1.349).

CONCLUSIONS

The annual number of IBD patients initiated on biological therapy increased considerably between 2010 and 2020. One-quarter of these patients required surgery after 5 years. Our findings suggest a beneficial effect of concurrent thiopurines for UC patients receiving biologicals, but this was not found for CD patients. This effect in UC patients was not observed when we included patients initiating thiopurines up to 6 months after the introduction of biological therapy.

摘要

背景

接受生物制剂治疗的炎症性肠病(IBD)患者经常出现反应缺失或反应丧失的情况。我们的目的是描述在一家三级IBD中心生物治疗的使用情况和疗效。

方法

我们纳入了2010年至2020年间在我们中心开始接受生物治疗的所有初治IBD患者。对他们的病历进行了回顾。

结果

该人群包括327例克罗恩病(CD)患者、291例溃疡性结肠炎(UC)患者和3例未分类IBD(IBDU)患者。开始治疗后的中位随访时间为3年(四分位间距=2 - 5年)。开始接受生物治疗的患者年数量从2010年的29例增至2019年的85例。大多数患者(457例,73.6%)接受了1种生物制剂;164例(26.4%)患者接受了2种或更多生物制剂。UC和CD患者中分别有36.4%(106/291)和17.4%(57/327)出现原发性反应缺失;UC和CD患者中分别有27.1%(79/291)和31.5%(103/327)出现反应丧失。UC和CD患者的5年手术率分别为26.6%和20.4%。多因素Cox回归显示,硫唑嘌呤治疗降低了UC患者更换生物治疗、需要手术或使用皮质类固醇的可能性(HR:0.745,95%CI:0.559 - 0.993),但对CD患者无此作用(HR:0.996,95%CI:0.736 - 1.349)。

结论

2010年至2020年间,开始接受生物治疗的IBD患者年数量显著增加。这些患者中有四分之一在5年后需要手术。我们的研究结果表明,同时使用硫唑嘌呤对接受生物制剂治疗的UC患者有有益作用,但对CD患者未发现此作用。当我们纳入在生物治疗开始后6个月内开始使用硫唑嘌呤的患者时,未观察到UC患者的这种作用。

https://cdn.ncbi.nlm.nih.gov/pmc/blobs/f551/9802297/7fc0c4a54d32/otac041_fig1.jpg

文献AI研究员

20分钟写一篇综述,助力文献阅读效率提升50倍。

立即体验

用中文搜PubMed

大模型驱动的PubMed中文搜索引擎

马上搜索

文档翻译

学术文献翻译模型,支持多种主流文档格式。

立即体验