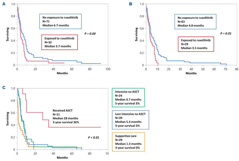
Abdelmagid Maymona G, Al-Kali Aref, Begna Kebede H, Hogan William J, Litzow Mark R, Fleti Farah, Mangaonkar Abhishek A, Patnaik Mrinal S, Elliott Michelle A, Alkhateeb Hassan, Shi Min, Howard Matthew T, Reichard Kaaren K, Ketterling Rhett P, Shah Mithun, Pardanani Animesh, Gangat Naseema, Tefferi Ayalew
Divisions of Hematology and Medicine.
Divisions of Hematopathology, Departments of Laboratory Medicine, Mayo Clinic, Rochester, MN.
Haematologica. 2023 Sep 1;108(9):2542-2545. doi: 10.3324/haematol.2022.282627.