• 文献检索
  • 文档翻译
  • 深度研究
  • 学术资讯
  • Suppr Zotero 插件Zotero 插件
  • 邀请有礼
  • 套餐&价格
  • 历史记录
应用&插件
Suppr Zotero 插件Zotero 插件浏览器插件Mac 客户端Windows 客户端微信小程序
定价
高级版会员购买积分包购买API积分包
服务
文献检索文档翻译深度研究API 文档MCP 服务
关于我们
关于 Suppr公司介绍联系我们用户协议隐私条款
关注我们

Suppr 超能文献

核心技术专利:CN118964589B侵权必究
粤ICP备2023148730 号-1Suppr @ 2026

文献检索

告别复杂PubMed语法,用中文像聊天一样搜索,搜遍4000万医学文献。AI智能推荐,让科研检索更轻松。

立即免费搜索

文件翻译

保留排版,准确专业,支持PDF/Word/PPT等文件格式,支持 12+语言互译。

免费翻译文档

深度研究

AI帮你快速写综述,25分钟生成高质量综述,智能提取关键信息,辅助科研写作。

立即免费体验

感染预防与控制计划及新冠疫情防控措施:对肝硬化患者医院获得性感染的影响

Infection prevention and control programme and COVID-19 measures: Effects on hospital-acquired infections in patients with cirrhosis.

作者信息

Di Cola Simone, Gazda Jakub, Lapenna Lucia, Ceccarelli Giancarlo, Merli Manuela

机构信息

Department of Translational and Precision Medicine, Sapienza University of Rome, Rome, Italy.

2nd Department of Internal Medicine, Pavol Jozef Safarik University and Louis Pasteur University Hospital, Kosice, Slovakia.

出版信息

JHEP Rep. 2023 May;5(5):100703. doi: 10.1016/j.jhepr.2023.100703. Epub 2023 Feb 19.

DOI:10.1016/j.jhepr.2023.100703
PMID:36844944
原文链接:https://pmc.ncbi.nlm.nih.gov/articles/PMC9938945/
Abstract

BACKGROUND & AIMS: Bacterial infections affect survival of patients with cirrhosis. Hospital-acquired bacterial infections present a growing healthcare problem because of the increasing prevalence of multidrug-resistant organisms. This study aimed to investigate the impact of an infection prevention and control programme and coronavirus disease 2019 (COVID-19) measures on the incidence of hospital-acquired infections and a set of secondary outcomes, including the prevalence of multidrug-resistant organisms, empiric antibiotic treatment failure, and development of septic states in patients with cirrhosis.

METHODS

The infection prevention and control programme was a complex strategy based on antimicrobial stewardship and the reduction of patient's exposure to risk factors. The COVID-19 measures presented further behavioural and hygiene restrictions imposed by the Hospital and Health Italian Sanitary System recommendations. We performed a combined retrospective and prospective study in which we compared the impact of extra measures against the hospital standard.

RESULTS

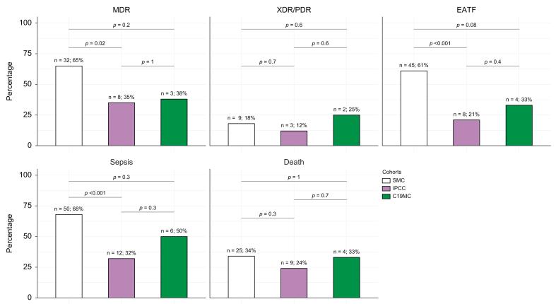
We analysed data from 941 patients. The infection prevention and control programme was associated with a reduction in the incidence of hospital-acquired infections (17 . 8.9%, <0.01). No further reduction was present after the COVID-19 measures had been imposed. The impact of the infection prevention and control programme remained significant even after controlling for the effects of confounding variables (odds ratio 0.44, 95% CI 0.26-0.73,  = 0.002). Furthermore, the adoption of the programme reduced the prevalence of multidrug-resistant organisms and decreased rates of empiric antibiotic treatment failure and the development of septic states.

CONCLUSIONS

The infection prevention and control programme decreased the incidence of hospital-acquired infections by nearly 50%. Furthermore, the programme also reduced the prevalence of most of the secondary outcomes. Based on the results of this study, we encourage other liver centres to adopt infection prevention and control programmes.

IMPACT AND IMPLICATIONS

Infections are a life-threatening problem for patients with liver cirrhosis. Moreover, hospital-acquired infections are even more alarming owing to the high prevalence of multidrug-resistant bacteria. This study analysed a large cohort of hospitalised patients with cirrhosis from three different periods. Unlike in the first period, an infection prevention programme was applied in the second period, reducing the number of hospital-acquired infections and containing multidrug-resistant bacteria. In the third period, we imposed even more stringent measures to minimise the impact of the COVID-19 outbreak. However, these measures did not result in a further reduction in hospital-acquired infections.

https://cdn.ncbi.nlm.nih.gov/pmc/blobs/ae4b/10033988/90eafd26c078/gr2.jpg
https://cdn.ncbi.nlm.nih.gov/pmc/blobs/ae4b/10033988/f89975267cf7/ga1.jpg
https://cdn.ncbi.nlm.nih.gov/pmc/blobs/ae4b/10033988/1112574b1724/gr1.jpg
https://cdn.ncbi.nlm.nih.gov/pmc/blobs/ae4b/10033988/90eafd26c078/gr2.jpg
https://cdn.ncbi.nlm.nih.gov/pmc/blobs/ae4b/10033988/f89975267cf7/ga1.jpg
https://cdn.ncbi.nlm.nih.gov/pmc/blobs/ae4b/10033988/1112574b1724/gr1.jpg
https://cdn.ncbi.nlm.nih.gov/pmc/blobs/ae4b/10033988/90eafd26c078/gr2.jpg
摘要

背景与目的

细菌感染会影响肝硬化患者的生存。由于多重耐药菌的患病率不断上升,医院获得性细菌感染带来了日益严重的医疗保健问题。本研究旨在调查感染预防与控制计划以及2019冠状病毒病(COVID-19)防控措施对医院获得性感染发病率以及一系列次要结局的影响,这些次要结局包括多重耐药菌的患病率、经验性抗生素治疗失败率以及肝硬化患者脓毒症状态的发生情况。

方法

感染预防与控制计划是一项基于抗菌药物管理以及减少患者暴露于危险因素的综合策略。COVID-19防控措施提出了意大利医院和卫生系统建议所规定的进一步行为和卫生限制。我们进行了一项回顾性和前瞻性相结合的研究,比较了额外措施相对于医院标准的影响。

结果

我们分析了941例患者的数据。感染预防与控制计划与医院获得性感染发病率的降低相关(17.8%对8.9%,<0.01)。实施COVID-19防控措施后未出现进一步降低。即使在控制了混杂变量的影响后,感染预防与控制计划的影响仍然显著(比值比0.44,95%置信区间0.26 - 0.73,= 0.002)。此外,该计划的实施降低了多重耐药菌的患病率,降低了经验性抗生素治疗失败率以及脓毒症状态的发生率。

结论

感染预防与控制计划使医院获得性感染的发病率降低了近50%。此外,该计划还降低了大多数次要结局的发生率。基于本研究结果,我们鼓励其他肝病中心采用感染预防与控制计划。

影响与意义

感染对肝硬化患者来说是一个危及生命的问题。此外,由于多重耐药菌的高患病率,医院获得性感染更令人担忧。本研究分析了三个不同时期大量住院肝硬化患者的队列。与第一时期不同,第二时期实施了感染预防计划,减少了医院获得性感染的数量并控制了多重耐药菌。在第三时期,我们实施了更严格的措施以尽量减少COVID-19疫情的影响。然而,这些措施并未导致医院获得性感染的进一步降低。

相似文献

1
Infection prevention and control programme and COVID-19 measures: Effects on hospital-acquired infections in patients with cirrhosis.感染预防与控制计划及新冠疫情防控措施:对肝硬化患者医院获得性感染的影响
JHEP Rep. 2023 May;5(5):100703. doi: 10.1016/j.jhepr.2023.100703. Epub 2023 Feb 19.
2
The spread of multi drug resistant infections is leading to an increase in the empirical antibiotic treatment failure in cirrhosis: a prospective survey.多重耐药感染的传播导致肝硬化患者经验性抗生素治疗失败率上升:一项前瞻性调查。
PLoS One. 2015 May 21;10(5):e0127448. doi: 10.1371/journal.pone.0127448. eCollection 2015.
3
Multidrug-resistant bacterial infections in patients with decompensated cirrhosis and with acute-on-chronic liver failure in Europe.欧洲失代偿期肝硬化和慢加急性肝衰竭患者中的多重耐药菌感染。
J Hepatol. 2019 Mar;70(3):398-411. doi: 10.1016/j.jhep.2018.10.027. Epub 2018 Nov 2.
4
Multidrug-resistant bacterial infections in patients with liver cirrhosis in a tertiary referral hospital.一家三级转诊医院中肝硬化患者的多重耐药细菌感染
Gastroenterol Hepatol. 2019 Apr;42(4):228-238. doi: 10.1016/j.gastrohep.2018.07.017. Epub 2018 Oct 17.
5
Infection in cirrhosis: A prospective study.肝硬化感染:一项前瞻性研究。
Ann Hepatol. 2019 Nov-Dec;18(6):862-868. doi: 10.1016/j.aohep.2019.07.010. Epub 2019 Sep 5.
6
Unsolved Issues in the Treatment of Spontaneous Peritonitis in Patients with Cirrhosis: Nosocomial Versus Community-acquired Infections and the Role of Fungi.肝硬化患者自发性腹膜炎治疗中的未解决问题:医院获得性感染与社区获得性感染以及真菌的作用
Rev Recent Clin Trials. 2019;14(2):129-135. doi: 10.2174/1574887114666181204102516.
7
ANALYSIS OF HEALTHCARE ASSOCIATED AND HOSPITAL ACQUIRED INFECTIONS IN CRITICALLY ILL PATIENTS WITH CIRRHOSIS.分析肝硬化危重症患者的医疗相关和医院获得性感染。
Arq Gastroenterol. 2022 Jan-Mar;59(1):102-109. doi: 10.1590/S0004-2803.202200001-18.
8
Extensively drug-resistant bacteria are an independent predictive factor of mortality in 130 patients with spontaneous bacterial peritonitis or spontaneous bacteremia.广泛耐药菌是130例自发性细菌性腹膜炎或自发性菌血症患者死亡的独立预测因素。
World J Gastroenterol. 2016 Apr 21;22(15):4049-56. doi: 10.3748/wjg.v22.i15.4049.
9
Healthcare-associated and nosocomial bacterial infections in cirrhosis: predictors and impact on outcome.肝硬化患者的医疗保健相关和医院内细菌感染:预测因素及对预后的影响
Liver Int. 2015 Feb;35(2):391-400. doi: 10.1111/liv.12625. Epub 2014 Jul 21.
10
A pandemic within a pandemic? Admission to COVID-19 wards in hospitals is associated with increased prevalence of antimicrobial resistance in two African settings.双重流行?在两个非洲环境中,医院因 COVID-19 病房收治病人而导致的抗生素耐药性的流行率增加。
Ann Clin Microbiol Antimicrob. 2023 Apr 13;22(1):25. doi: 10.1186/s12941-023-00575-1.

引用本文的文献

1
Marburg Virus Disease in Rwanda: The Role of Infection Prevention and Control in Reducing Transmission of Infectious Disease Outbreaks among Healthcare Professionals.卢旺达的马尔堡病毒病:感染预防与控制在减少医护人员中传染病暴发传播方面的作用
Rwanda J Med Health Sci. 2025 Mar 31;8(1):139-143. doi: 10.4314/rjmhs.v8i1.11. eCollection 2025 Mar.
2
Comparison of the conceive-design-implement-operate model and lecture-based learning in teaching the "healthcare-associated infections" course.在“医疗相关感染”课程教学中,构思-设计-实施-运营模式与基于讲座的学习的比较。
Front Med (Lausanne). 2025 Jan 22;12:1505588. doi: 10.3389/fmed.2025.1505588. eCollection 2025.
3

本文引用的文献

1
Reduction in Nosocomial Infections in Patients With Cirrhosis During the COVID-19 Era Compared with Pre-COVID-19: Impact of Masking and Restricting Visitation.与 COVID-19 前相比,COVID-19 期间肝硬化患者的医院感染减少:戴口罩和限制探视的影响。
Am J Gastroenterol. 2022 Nov 1;117(11):1874-1876. doi: 10.14309/ajg.0000000000001911. Epub 2022 Jul 21.
2
Cirrhosis-associated immune dysfunction.肝硬化相关免疫功能障碍。
Nat Rev Gastroenterol Hepatol. 2022 Feb;19(2):112-134. doi: 10.1038/s41575-021-00520-7. Epub 2021 Oct 26.
3
The multifactorial mechanisms of bacterial infection in decompensated cirrhosis.
Bacterial Infections in Acute-on-chronic Liver Failure: Epidemiology, Diagnosis, Pathogenesis, and Management.
慢性肝衰竭急性发作时的细菌感染:流行病学、诊断、发病机制及管理
J Clin Transl Hepatol. 2024 Jul 28;12(7):667-676. doi: 10.14218/JCTH.2024.00137. Epub 2024 Jun 20.
失代偿期肝硬化细菌感染的多因素机制
J Hepatol. 2021 Jul;75 Suppl 1:S82-S100. doi: 10.1016/j.jhep.2020.11.029.
4
Transition to decompensation and acute-on-chronic liver failure: Role of predisposing factors and precipitating events.代偿失调和慢加急性肝衰竭的转变:潜在因素和诱发事件的作用。
J Hepatol. 2021 Jul;75 Suppl 1:S36-S48. doi: 10.1016/j.jhep.2020.12.005.
5
Management of bacterial and fungal infections in cirrhosis: The MDRO challenge.肝硬化患者细菌和真菌感染的管理:多重耐药菌的挑战。
J Hepatol. 2021 Jul;75 Suppl 1:S101-S117. doi: 10.1016/j.jhep.2020.11.010.
6
Less surgical site infections in neurosurgery during COVID-19 times-one potential benefit of the pandemic?神经外科手术部位感染减少在 COVID-19 期间-大流行的潜在好处之一?
Neurosurg Rev. 2021 Dec;44(6):3421-3425. doi: 10.1007/s10143-021-01513-5. Epub 2021 Mar 5.
7
Changes in the epidemiology and management of bacterial infections in cirrhosis.肝硬化患者细菌感染的流行病学和管理的变化。
Clin Mol Hepatol. 2021 Jul;27(3):437-445. doi: 10.3350/cmh.2020.0329. Epub 2021 Jan 28.
8
Nosocomial Infections Are Frequent and Negatively Impact Outcomes in Hospitalized Patients With Cirrhosis.医院获得性感染在住院肝硬化患者中很常见,对患者预后产生负面影响。
Am J Gastroenterol. 2019 Jul;114(7):1091-1100. doi: 10.14309/ajg.0000000000000280.
9
Epidemiology and Effects of Bacterial Infections in Patients With Cirrhosis Worldwide.全球肝硬化患者细菌感染的流行病学和影响。
Gastroenterology. 2019 Apr;156(5):1368-1380.e10. doi: 10.1053/j.gastro.2018.12.005. Epub 2018 Dec 13.
10
Multidrug-resistant bacterial infections in patients with decompensated cirrhosis and with acute-on-chronic liver failure in Europe.欧洲失代偿期肝硬化和慢加急性肝衰竭患者中的多重耐药菌感染。
J Hepatol. 2019 Mar;70(3):398-411. doi: 10.1016/j.jhep.2018.10.027. Epub 2018 Nov 2.