Suppr超能文献

具有相同光学设计的三焦点人工晶状体亲水和疏水版本的长期临床结果

Long Term Clinical Outcomes of Hydrophilic and Hydrophobic Versions of a Trifocal IOL with the Same Optical Design.

作者信息

Ang Robert Edward T

机构信息

Cataract and Refractive Surgery Department, Asian Eye Institute, Makati City, Philippines.

出版信息

Clin Ophthalmol. 2023 Feb 21;17:623-632. doi: 10.2147/OPTH.S403351. eCollection 2023.

Abstract

PURPOSE

To show the visual and refractive outcomes in Asian eyes with cataract when bilaterally implanted with either a hydrophobic FineVision POD F GF or a hydrophilic FineVision POD F intraocular lens (IOL).

METHODS

Forty-six patients were randomized to receive POD F GF or POD F IOLs. Visual and refractive outcomes were assessed up to 24 months post-surgery. Measurements included uncorrected-distance visual acuity, corrected-distance visual acuity (CDVA), distance-corrected intermediate visual acuity (DCIVA), distance-corrected near visual acuity (DCNVA), refraction, defocus curve, photopic and mesopic contrast sensitivity, and patient-reported outcomes.

RESULTS

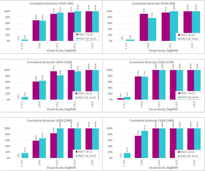
Mean spherical equivalent was close to emmetropia for both groups and stable across postoperative visits. Overall, 97.73% and 100% of eyes in the POD F GF IOL group and 95.65% and 100%, of eyes in the POD F IOL group were within ±1.00D of the target refraction at 12 and 24 months, respectively. All patients showed a CDVA of ≥20/25 at 12- and 24-months post-surgery. In both groups, 24 months post-surgery 91% of patients presented a DCIVA of ≥20/25 and 83.3% of patients had a DCNVA of ≥20/25. Defocus curve showed continuous visual acuity, being 20/32 or better in both groups over a 4.00D range between 1.00D and -3.00/-3.50D. Both groups showed good contrast sensitivity values for photopic and mesopic conditions. Overall, 86.4%, 86.4%, and 72.7% of patients implanted with the POD F GF IOL reported not wearing glasses at all for distance, intermediate, and near vision, respectively. These values were 81.8%, 86.4%, and 90.9% for patients implanted with the POD F IOL. Both groups of patients reported similar satisfaction percentages (100% very satisfied/satisfied) and would recommend the procedure (100% definitively yes/probably yes).

CONCLUSION

This study demonstrates good visual and refractive outcomes for both the FineVision POD F GF and the FineVision POD F IOLs when implanted in Asian eyes.

摘要

目的

展示亚洲白内障患者双眼植入疏水性FineVision POD F GF或亲水性FineVision POD F人工晶状体(IOL)后的视觉和屈光效果。

方法

46例患者被随机分配接受POD F GF或POD F IOL。术后24个月内评估视觉和屈光效果。测量指标包括未矫正远视力、矫正远视力(CDVA)、距离矫正中间视力(DCIVA)、距离矫正近视力(DCNVA)、验光、散焦曲线、明视觉和 mesopic 对比敏感度以及患者报告的结果。

结果

两组的平均球镜等效度均接近正视且术后随访期间稳定。总体而言,POD F GF IOL组分别有97.73%和100%的眼睛在12个月和24个月时目标屈光在±1.00D范围内,POD F IOL组分别为95.65%和100%。所有患者术后12个月和24个月时的CDVA均≥20/25。两组在术后24个月时,91%的患者DCIVA≥2 /25,83.3%的患者DCNVA≥20/25。散焦曲线显示视力持续良好,两组在1.00D至 -3.00/-3.50D的4.00D范围内视力均为20/32或更好。两组在明视觉和mesopic条件下均显示出良好的对比敏感度值。总体而言,植入POD F GF IOL的患者分别有86.4%、86.4%和72.7%报告在远、中、近视力时完全不戴眼镜。植入POD F IOL的患者这些值分别为81.8%、86.4%和90.9%。两组患者报告的满意度百分比相似(100%非常满意/满意),并会推荐该手术(100%肯定会/可能会)。

结论

本研究表明,FineVision POD F GF和FineVision POD F IOL植入亚洲人眼中均具有良好的视觉和屈光效果。

https://cdn.ncbi.nlm.nih.gov/pmc/blobs/52f4/9962533/9779c780482f/OPTH-17-623-g0001.jpg

相似文献

1
Long Term Clinical Outcomes of Hydrophilic and Hydrophobic Versions of a Trifocal IOL with the Same Optical Design.
Clin Ophthalmol. 2023 Feb 21;17:623-632. doi: 10.2147/OPTH.S403351. eCollection 2023.
2
Long-term Clinical Outcomes After Bilateral Implantation of Two Trifocal Diffractive IOLs.
J Refract Surg. 2023 Dec;39(12):798-807. doi: 10.3928/1081597X-20231006-01. Epub 2023 Dec 1.
5
Long-term trifocal toric intraocular lens outcomes in Asian eyes after cataract surgery.
J Cataract Refract Surg. 2023 Aug 1;49(8):832-839. doi: 10.1097/j.jcrs.0000000000001195.
6
Comparison of 3-month visual outcomes of a spherical and a toric trifocal intraocular lens.
J Cataract Refract Surg. 2019 Feb;45(2):135-145. doi: 10.1016/j.jcrs.2018.09.025. Epub 2018 Nov 30.
7
Refractive and Visual Outcomes Using a Trifocal, Diffractive, Hydrophobic Intraocular Lens in Japanese Eyes.
Clin Ophthalmol. 2024 May 18;18:1403-1415. doi: 10.2147/OPTH.S464432. eCollection 2024.
8
Stability of a Novel Intraocular Lens Design: Comparison of Two Trifocal Lenses.
J Refract Surg. 2016 Jun 1;32(6):394-402. doi: 10.3928/1081597X-20160428-04.
9
Hydrophobic Trifocal Toric Intraocular Lens Outcomes in Japanese Eyes After Cataract Surgery.
Clin Ophthalmol. 2024 Jul 11;18:2021-2031. doi: 10.2147/OPTH.S471846. eCollection 2024.
10
Prospective Randomized Single-Masked Study of Bilateral Isofocal Optic-Design or Monofocal Intraocular Lenses.
Clin Ophthalmol. 2023 Aug 4;17:2231-2242. doi: 10.2147/OPTH.S425352. eCollection 2023.

本文引用的文献

2
Comparison of Bilateral Reading Performance Among Two Presbyopia-Correcting Intraocular Lenses.
J Refract Surg. 2022 Jul;38(7):428-434. doi: 10.3928/1081597X-20220516-02. Epub 2022 Jul 1.
3
Comparison of visual outcomes after two types of mix-and-match implanted trifocal extended-depth-of-focus and trifocal intraocular lenses.
Graefes Arch Clin Exp Ophthalmol. 2022 Oct;260(10):3275-3283. doi: 10.1007/s00417-022-05710-w. Epub 2022 May 28.
4
Laboratory and Clinical Experience With a Diffractive Trifocal Intraocular Lens Sutured to an Artificial Iris.
J Refract Surg. 2022 Jan;38(1):61-68. doi: 10.3928/1081597X-20211209-02. Epub 2022 Jan 1.
5
Impact of Lens Material on Objective Refraction in Eyes with Trifocal Diffractive Intraocular Lenses.
Curr Eye Res. 2022 Jan;47(1):51-61. doi: 10.1080/02713683.2021.1946563. Epub 2021 Jul 20.
6
In-vitro glistening formation in six different foldable hydrophobic intraocular lenses.
BMC Ophthalmol. 2021 Mar 8;21(1):126. doi: 10.1186/s12886-021-01879-6.
7
Longitudinal Chromatic Aberration in Patients Implanted With Trifocal Diffractive Hydrophobic IOLs.
J Refract Surg. 2020 Dec 1;36(12):804-810. doi: 10.3928/1081597X-20200930-01.

文献AI研究员

20分钟写一篇综述,助力文献阅读效率提升50倍。

立即体验

用中文搜PubMed

大模型驱动的PubMed中文搜索引擎

马上搜索

文档翻译

学术文献翻译模型,支持多种主流文档格式。

立即体验