Suppr超能文献

精子形态和前向运动是繁殖成功的指标,在濒危蛇类的圈养繁殖种群中不受年龄或健康状况影响。

Sperm morphology and forward motility are indicators of reproductive success and are not age- or condition-dependent in a captive breeding population of endangered snake.

机构信息

Memphis Zoo, Conservation and Research Department, Memphis, TN, United States of America.

出版信息

PLoS One. 2023 Mar 10;18(3):e0282845. doi: 10.1371/journal.pone.0282845. eCollection 2023.

Abstract

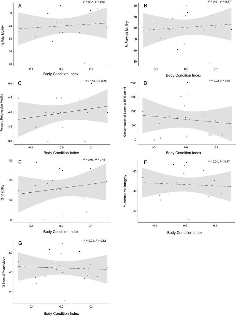
The relationship between male ejaculate traits and reproductive success is an important consideration for captive breeding programs. A recovery plan for the endangered Louisiana pinesnake includes captive breeding for the release of young to the wild. Semen was collected from twenty captive breeding male snakes and ejaculate traits of motility, morphology, and membrane viability were measured for each male. Semen traits were analyzed in relation to the fertilization rate of eggs produced from pairings of each male with a single female (% fertility) to determine the ejaculate factors contributing to reproductive success. In addition, we investigated the age- and condition-dependence of each ejaculate trait. We found significant variation in the ejaculate traits of males and normal sperm morphology ([Formula: see text] = 44.4 ± 13.6%, n = 19) and forward motility ([Formula: see text] = 61.0 ± 13.4%, n = 18) were found to be the best predictors of fertility. No ejaculate traits were found to be condition-dependent (P > 0.05). Forward progressive movement (FPM) ([Formula: see text] = 4 ± 0.5, n = 18) was determined to be age-dependent (r2 = 0.27, P = 0.028), but FPM was not included in the best model for rate of fertilization. Male Louisiana pinesnakes do not appear to experience a significant decline in reproductive potential with age (P > 0.05). The observed average rate of fertilization in the captive breeding colony was below 50% and only those pairings with a male having >51% normal sperm morphology avoided a 0% rate of fertilization. Identification of the factors contributing to the reproductive success of captive breeding Louisiana pinesnakes is of considerable conservation value in the recovery of the species, and captive breeding programs should use assessments of ejaculate traits to plan breeding pairs for maximum reproductive output.

摘要

雄蛇精液特征与繁殖成功的关系是圈养繁殖计划的一个重要考虑因素。濒危路易斯安那松树蛇的恢复计划包括圈养繁殖,以便将幼蛇放归野外。从 20 只圈养雄蛇中采集精液,并测量每只雄蛇的运动性、形态和膜活力等精液特征。分析精液特征与每只雄蛇与一只雌蛇配对所产卵子的受精率(%受精率)之间的关系,以确定与繁殖成功相关的精液因素。此外,我们还研究了每个精液特征的年龄和健康状况依赖性。我们发现,雄蛇的精液特征存在显著差异,正常精子形态([公式:见正文] = 44.4 ± 13.6%,n = 19)和前向运动性([公式:见正文] = 61.0 ± 13.4%,n = 18)被发现是受精率的最佳预测因子。没有发现任何精液特征与健康状况有关(P > 0.05)。前向运动性(FPM)([公式:见正文] = 4 ± 0.5,n = 18)被确定为年龄依赖性(r2 = 0.27,P = 0.028),但 FPM 未包含在最佳受精率模型中。路易斯安那松树蛇的雄性似乎没有随着年龄的增长而出现繁殖能力显著下降的情况(P > 0.05)。在圈养繁殖群体中观察到的平均受精率低于 50%,只有那些与具有 >51%正常精子形态的雄蛇配对的雌蛇才避免了 0%的受精率。确定与圈养繁殖路易斯安那松树蛇繁殖成功相关的因素,对于该物种的恢复具有重要的保护价值,圈养繁殖计划应使用精液特征评估来规划繁殖对,以实现最大繁殖产出。

https://cdn.ncbi.nlm.nih.gov/pmc/blobs/7523/10004498/2655a3d74e00/pone.0282845.g001.jpg

文献AI研究员

20分钟写一篇综述,助力文献阅读效率提升50倍。

立即体验

用中文搜PubMed

大模型驱动的PubMed中文搜索引擎

马上搜索

文档翻译

学术文献翻译模型,支持多种主流文档格式。

立即体验