• 文献检索
  • 文档翻译
  • 深度研究
  • 学术资讯
  • Suppr Zotero 插件Zotero 插件
  • 邀请有礼
  • 套餐&价格
  • 历史记录
应用&插件
Suppr Zotero 插件Zotero 插件浏览器插件Mac 客户端Windows 客户端微信小程序
定价
高级版会员购买积分包购买API积分包
服务
文献检索文档翻译深度研究API 文档MCP 服务
关于我们
关于 Suppr公司介绍联系我们用户协议隐私条款
关注我们

Suppr 超能文献

核心技术专利:CN118964589B侵权必究
粤ICP备2023148730 号-1Suppr @ 2026

文献检索

告别复杂PubMed语法,用中文像聊天一样搜索,搜遍4000万医学文献。AI智能推荐,让科研检索更轻松。

立即免费搜索

文件翻译

保留排版,准确专业,支持PDF/Word/PPT等文件格式,支持 12+语言互译。

免费翻译文档

深度研究

AI帮你快速写综述,25分钟生成高质量综述,智能提取关键信息,辅助科研写作。

立即免费体验

通过固态法合成的NiZnO用于促进MgH的氢吸附。

NiZnO Synthesised via a Solid-State Method for Promoting Hydrogen Sorption from MgH.

作者信息

Sazelee Noratiqah, Md Din Muhamad Faiz, Ismail Mohammad

机构信息

Energy Storage Research Group, Faculty of Ocean Engineering Technology and Informatics, University Malaysia Terengganu, Kuala Nerus 21030, Malaysia.

Department of Electrical and Electronic Engineering, Faculty of Engineering, National Defence University of Malaysia, Kem Sungai Besi, Kuala Lumpur 57000, Malaysia.

出版信息

Materials (Basel). 2023 Mar 8;16(6):2176. doi: 10.3390/ma16062176.

DOI:10.3390/ma16062176
PMID:36984057
原文链接:https://pmc.ncbi.nlm.nih.gov/articles/PMC10053828/
Abstract

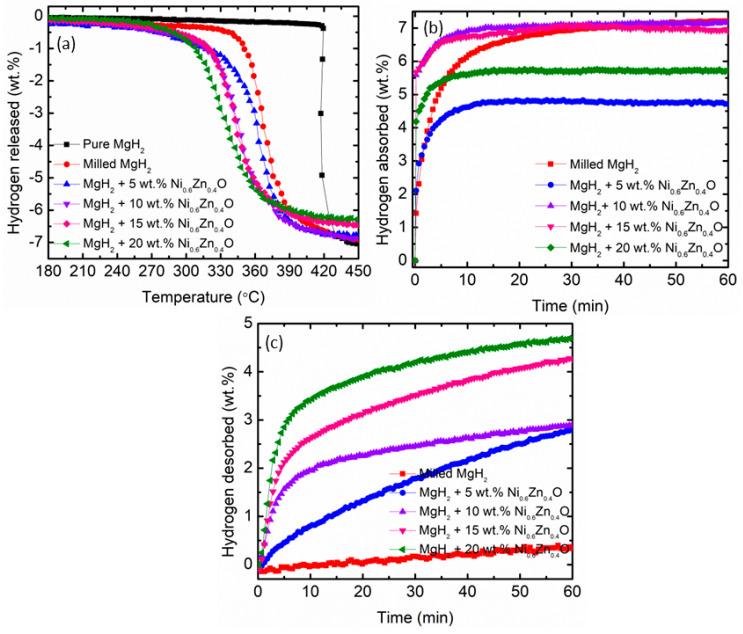
Magnesium hydrides (MgH) have drawn a lot of interest as a promising hydrogen storage material option due to their good reversibility and high hydrogen storage capacity (7.60 wt.%). However, the high hydrogen desorption temperature (more than 400 °C) and slow sorption kinetics of MgH are the main obstacles to its practical use. In this research, nickel zinc oxide (NiZnO) was synthesized via the solid-state method and doped into MgH to overcome the drawbacks of MgH. The onset desorption temperature of the MgH-10 wt.% NiZnO sample was reduced to 285 °C, 133 °C, and 56 °C lower than that of pure MgH and milled MgH, respectively. Furthermore, at 250 °C, the MgH-10 wt.% NiZnO sample could absorb 6.50 wt.% of H and desorbed 2.20 wt.% of H at 300 °C within 1 h. With the addition of 10 wt.% of NiZnO, the activation energy of MgH dropped from 133 kJ/mol to 97 kJ/mol. The morphology of the samples also demonstrated that the particle size is smaller compared with undoped samples. It is believed that in situ forms of NiO, ZnO, and MgO had good catalytic effects on MgH, significantly reducing the activation energy and onset desorption temperature while improving the sorption kinetics of MgH.

摘要

氢化镁(MgH)作为一种有前景的储氢材料选择,因其良好的可逆性和高储氢容量(7.60重量%)而备受关注。然而,MgH的高脱氢温度(超过400℃)和缓慢的吸附动力学是其实际应用的主要障碍。在本研究中,通过固态法合成了镍锌氧化物(NiZnO)并将其掺杂到MgH中以克服MgH的缺点。MgH-10重量%NiZnO样品的起始脱氢温度分别比纯MgH和球磨MgH降低了133℃和56℃,降至285℃。此外,在250℃时,MgH-10重量%NiZnO样品在1小时内可吸收6.50重量%的H,并在300℃时解吸2.20重量%的H。添加10重量%的NiZnO后,MgH的活化能从133 kJ/mol降至97 kJ/mol。样品的形态也表明,与未掺杂样品相比,其粒径更小。据信,原位形成的NiO、ZnO和MgO对MgH具有良好的催化作用,显著降低了活化能和起始脱氢温度,同时改善了MgH的吸附动力学。

https://cdn.ncbi.nlm.nih.gov/pmc/blobs/5805/10053828/56672921e388/materials-16-02176-g010.jpg
https://cdn.ncbi.nlm.nih.gov/pmc/blobs/5805/10053828/e3dfef794b32/materials-16-02176-g001.jpg
https://cdn.ncbi.nlm.nih.gov/pmc/blobs/5805/10053828/0fd2ed13dd38/materials-16-02176-g002.jpg
https://cdn.ncbi.nlm.nih.gov/pmc/blobs/5805/10053828/6dc20e92f16a/materials-16-02176-g003.jpg
https://cdn.ncbi.nlm.nih.gov/pmc/blobs/5805/10053828/22e1a8b9c62d/materials-16-02176-g004.jpg
https://cdn.ncbi.nlm.nih.gov/pmc/blobs/5805/10053828/0ea637aff835/materials-16-02176-g005.jpg
https://cdn.ncbi.nlm.nih.gov/pmc/blobs/5805/10053828/1d0c4d67d219/materials-16-02176-g006.jpg
https://cdn.ncbi.nlm.nih.gov/pmc/blobs/5805/10053828/e81cc5c2ded8/materials-16-02176-g007.jpg
https://cdn.ncbi.nlm.nih.gov/pmc/blobs/5805/10053828/101713cbbc29/materials-16-02176-g008.jpg
https://cdn.ncbi.nlm.nih.gov/pmc/blobs/5805/10053828/bdc1d6cc24cd/materials-16-02176-g009.jpg
https://cdn.ncbi.nlm.nih.gov/pmc/blobs/5805/10053828/56672921e388/materials-16-02176-g010.jpg
https://cdn.ncbi.nlm.nih.gov/pmc/blobs/5805/10053828/e3dfef794b32/materials-16-02176-g001.jpg
https://cdn.ncbi.nlm.nih.gov/pmc/blobs/5805/10053828/0fd2ed13dd38/materials-16-02176-g002.jpg
https://cdn.ncbi.nlm.nih.gov/pmc/blobs/5805/10053828/6dc20e92f16a/materials-16-02176-g003.jpg
https://cdn.ncbi.nlm.nih.gov/pmc/blobs/5805/10053828/22e1a8b9c62d/materials-16-02176-g004.jpg
https://cdn.ncbi.nlm.nih.gov/pmc/blobs/5805/10053828/0ea637aff835/materials-16-02176-g005.jpg
https://cdn.ncbi.nlm.nih.gov/pmc/blobs/5805/10053828/1d0c4d67d219/materials-16-02176-g006.jpg
https://cdn.ncbi.nlm.nih.gov/pmc/blobs/5805/10053828/e81cc5c2ded8/materials-16-02176-g007.jpg
https://cdn.ncbi.nlm.nih.gov/pmc/blobs/5805/10053828/101713cbbc29/materials-16-02176-g008.jpg
https://cdn.ncbi.nlm.nih.gov/pmc/blobs/5805/10053828/bdc1d6cc24cd/materials-16-02176-g009.jpg
https://cdn.ncbi.nlm.nih.gov/pmc/blobs/5805/10053828/56672921e388/materials-16-02176-g010.jpg

相似文献

1
NiZnO Synthesised via a Solid-State Method for Promoting Hydrogen Sorption from MgH.通过固态法合成的NiZnO用于促进MgH的氢吸附。
Materials (Basel). 2023 Mar 8;16(6):2176. doi: 10.3390/ma16062176.
2
Nanolayer-like-shaped MgFeO synthesised a simple hydrothermal method and its catalytic effect on the hydrogen storage properties of MgH.通过一种简单的水热法合成的纳米层状MgFeO及其对MgH储氢性能的催化作用。
RSC Adv. 2018 Apr 25;8(28):15667-15674. doi: 10.1039/c8ra02168f. eCollection 2018 Apr 23.
3
Influence of Nanosized CoTiO Synthesized via a Solid-State Method on the Hydrogen Storage Behavior of MgH.通过固态法合成的纳米CoTiO对MgH储氢行为的影响
Nanomaterials (Basel). 2022 Sep 1;12(17):3043. doi: 10.3390/nano12173043.
4
Regulation of Kinetic Properties of Chemical Hydrogen Absorption and Desorption by Cubic KMoO on Magnesium Hydride.立方相KMoO对氢化镁化学氢吸收和解吸动力学性质的调控
Nanomaterials (Basel). 2022 Jul 19;12(14):2468. doi: 10.3390/nano12142468.
5
Effect of LaCoO Synthesized via Solid-State Method on the Hydrogen Storage Properties of MgH.通过固态法合成的LaCoO对MgH储氢性能的影响。
Materials (Basel). 2023 Mar 19;16(6):2449. doi: 10.3390/ma16062449.
6
Enhanced hydrogen storage kinetics of MgH by the synergistic effect of MnO/ZrO nanoparticles.MnO/ZrO纳米颗粒协同作用增强MgH的储氢动力学
Dalton Trans. 2023 Jan 17;52(3):609-620. doi: 10.1039/d2dt03769f.
7
Transition metal (Co, Ni) nanoparticles wrapped with carbon and their superior catalytic activities for the reversible hydrogen storage of magnesium hydride.包覆有碳的过渡金属(钴、镍)纳米颗粒及其对氢化镁可逆储氢的优异催化活性。
Phys Chem Chem Phys. 2017 Feb 1;19(5):4019-4029. doi: 10.1039/c6cp07852d.
8
A novel CeFeZrO solid solution with high catalytic activity for hydrogen storage in MgH.一种对MgH₂中储氢具有高催化活性的新型CeFeZrO固溶体。
RSC Adv. 2021 Nov 23;11(60):37677-37683. doi: 10.1039/d1ra06951a.
9
Effect of Na3FeF6 catalyst on the hydrogen storage properties of MgH2.Na3FeF6催化剂对MgH2储氢性能的影响。
Dalton Trans. 2016 Apr 28;45(16):7085-93. doi: 10.1039/c6dt00068a.
10
Excellent catalysis of TiO nanosheets with high-surface-energy {001} facets on the hydrogen storage properties of MgH.TiO 纳米片{001}面具有高表面能,对 MgH 的储氢性能具有优异的催化作用。
Nanoscale. 2019 Apr 11;11(15):7465-7473. doi: 10.1039/c8nr10275a.

本文引用的文献

1
Influence of Nanosized CoTiO Synthesized via a Solid-State Method on the Hydrogen Storage Behavior of MgH.通过固态法合成的纳米CoTiO对MgH储氢行为的影响
Nanomaterials (Basel). 2022 Sep 1;12(17):3043. doi: 10.3390/nano12173043.
2
Nanolayer-like-shaped MgFeO synthesised a simple hydrothermal method and its catalytic effect on the hydrogen storage properties of MgH.通过一种简单的水热法合成的纳米层状MgFeO及其对MgH储氢性能的催化作用。
RSC Adv. 2018 Apr 25;8(28):15667-15674. doi: 10.1039/c8ra02168f. eCollection 2018 Apr 23.
3
Improvement of the hydrogen storage characteristics of MgH with a flake Ni nano-catalyst composite.
片状镍纳米催化剂复合材料对MgH储氢特性的改善
Dalton Trans. 2021 Feb 9;50(5):1797-1807. doi: 10.1039/d0dt03627g.
4
New Aspects of MgH Morphological and Structural Changes during High-Energy Ball Milling.高能球磨过程中MgH形态和结构变化的新方面
Materials (Basel). 2020 Oct 13;13(20):4550. doi: 10.3390/ma13204550.
5
Metallic glassy Zr70Ni20Pd10 powders for improving the hydrogenation/dehydrogenation behavior of MgH2.用于改善MgH2氢化/脱氢行为的金属玻璃Zr70Ni20Pd10粉末。
Sci Rep. 2016 May 25;6:26936. doi: 10.1038/srep26936.
6
Facile preparation of β-/γ-MgH₂ nanocomposites under mild conditions and pathways to rapid dehydrogenation.在温和条件下简便制备β-/γ-MgH₂纳米复合材料及快速脱氢途径。
Phys Chem Chem Phys. 2016 Apr 21;18(15):10492-8. doi: 10.1039/c5cp07762a. Epub 2016 Mar 31.
7
Structural, FTIR and photoluminescence studies of Fe doped ZnO nanopowder by co-precipitation method.共沉淀法制备的铁掺杂氧化锌纳米粉末的结构、傅里叶变换红外光谱及光致发光研究
Spectrochim Acta A Mol Biomol Spectrosc. 2014 Oct 15;131:183-8. doi: 10.1016/j.saa.2014.03.047. Epub 2014 Apr 4.
8
Hydrogen storage: the remaining scientific and technological challenges.储氢:尚存的科学技术挑战。
Phys Chem Chem Phys. 2007 Jun 7;9(21):2643-53. doi: 10.1039/b701563c. Epub 2007 May 9.