Suppr超能文献

肾病综合征与他汀类药物治疗:结局分析。

Nephrotic Syndrome and Statin Therapy: An Outcome Analysis.

机构信息

Nephrology Department, University of Medicine and Pharmacy "Carol Davila", 050474 Bucharest, Romania.

Nephrology Department, "Dr Carol Davila" Teaching Hospital of Nephrology, 010731 Bucharest, Romania.

出版信息

Medicina (Kaunas). 2023 Mar 6;59(3):512. doi: 10.3390/medicina59030512.

Abstract

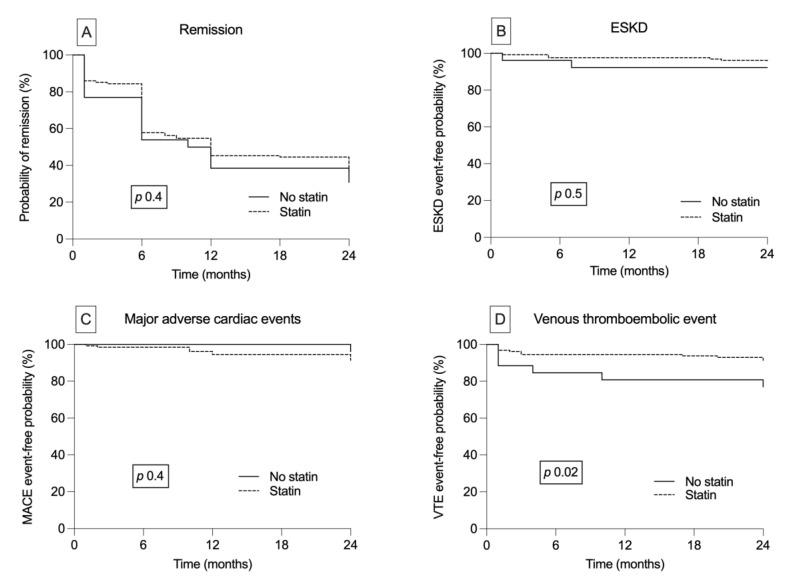
: Hypercholesterolemia in patients with nephrotic syndrome (NS) may predispose to cardiovascular events and alter kidney function. We aimed to evaluate statins efficiency in NS patients under immunosuppression using four endpoints: remission rate (RR), end-stage kidney disease (ESKD), major cardiovascular events (MACE), and thrombotic complications (VTE). : We retrospectively examined the outcome at 24 months after diagnosis of 154 NS patients (age 53 (39-64) years, 64% male, estimated glomerular filtration rate (eGFR) 61.9 (45.2-81.0) mL/min). During the follow-up, the lipid profile was evaluated at 6 months and at 1 and 2 years. : The median cholesterol level was 319 mg/dL, and 83% of the patients received statins. Patients without statins (17%) had similar age, body mass index, comorbidities, blood lipids levels, NS severity, and kidney function. The most used statin was simvastatin (41%), followed by rosuvastatin (32%) and atorvastatin (27%). Overall, 79% of the patients reached a form of remission, 5% reached ESKD, 8% suffered MACE, and 11% had VTE. The mean time to VTE was longer in the statin group (22.6 (95%CI 21.7, 23.6) versus 20.0 (95%CI 16.5, 23.5) months, 0.02). In multivariate analysis, statin therapy was not associated with better RR, kidney survival, or fewer MACE; however, the rate of VTE was lower in patients on statins (HR 2.83 (95%CI 1.02, 7.84)). : Statins did not improve the remission rate and did not reduce the risk of MACE or ESKD in non-diabetic nephrotic patients. However, statins seemed to reduce the risk of VTE. Further randomized controlled studies are needed to establish statins' role in NS management.

摘要

: 肾病综合征(NS)患者的高胆固醇血症可能易患心血管事件并改变肾功能。我们旨在使用四个终点评估免疫抑制下 NS 患者他汀类药物的疗效:缓解率(RR)、终末期肾病(ESKD)、主要心血管事件(MACE)和血栓并发症(VTE)。

: 我们回顾性分析了 154 例 NS 患者(年龄 53(39-64)岁,64%为男性,估计肾小球滤过率(eGFR)61.9(45.2-81.0)mL/min)诊断后 24 个月的结局。在随访期间,分别在 6 个月和 1 年、2 年时评估血脂谱。

: 中位胆固醇水平为 319mg/dL,83%的患者接受了他汀类药物治疗。未接受他汀类药物治疗的患者(17%)的年龄、体重指数、合并症、血脂水平、NS 严重程度和肾功能相似。最常用的他汀类药物是辛伐他汀(41%),其次是瑞舒伐他汀(32%)和阿托伐他汀(27%)。总体而言,79%的患者达到某种缓解形式,5%的患者达到 ESKD,8%的患者发生 MACE,11%的患者发生 VTE。他汀类药物组的 VTE 中位时间较长(22.6(95%CI 21.7,23.6)与 20.0(95%CI 16.5,23.5)个月,0.02)。在多变量分析中,他汀类药物治疗与 RR、肾脏存活率或 MACE 减少无关;然而,他汀类药物治疗组 VTE 发生率较低(HR 2.83(95%CI 1.02,7.84))。

: 他汀类药物并未改善缓解率,也未降低非糖尿病肾病患者发生 MACE 或 ESKD 的风险。然而,他汀类药物似乎降低了 VTE 的风险。需要进一步的随机对照研究来确定他汀类药物在 NS 管理中的作用。

https://cdn.ncbi.nlm.nih.gov/pmc/blobs/6452/10054350/6459646ec156/medicina-59-00512-g001.jpg

文献AI研究员

20分钟写一篇综述,助力文献阅读效率提升50倍。

立即体验

用中文搜PubMed

大模型驱动的PubMed中文搜索引擎

马上搜索

文档翻译

学术文献翻译模型,支持多种主流文档格式。

立即体验