Suppr超能文献

在 600°C 下通过调节 Ni/GdCeO 载体性能增强氨分解。

Enhanced Ammonia Decomposition by Tuning the Support Properties of Ni/GdCeO at 600 °C.

机构信息

College of Pharmacy, Jinhua Polytechnic, Jinhua 321007, China.

出版信息

Molecules. 2023 Mar 18;28(6):2750. doi: 10.3390/molecules28062750.

Abstract

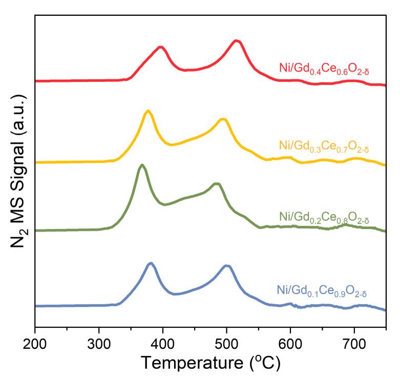
Ammonia decomposition is a promising method to produce high-purity hydrogen. However, this process typically requires precious metals (such as Ru, Pt, etc.) as catalysts to ensure high efficiency at relatively low temperatures. In this study, we propose using several Ni/GdCeO catalysts to improve ammonia decomposition performance by adjusting the support properties. We also investigate the underlying mechanism for this enhanced performance. Our results show that Ni/CeGdO at 600 °C can achieve nearly complete ammonia decomposition, resulting in a hydrogen production rate of 2008.9 mmol.g.h with minimal decrease over 150 h. Density functional theory calculations reveal that the recombinative desorption of nitrogen is the rate-limiting step of ammonia decomposition over Ni. Our characterizations indicate that Ni/CeGdO exhibits a high concentration of oxygen vacancies, highly dispersed Ni on the surface, and abundant strong basic sites. These properties significantly enhance the associative desorption of N and strengthen the metal support interactions, resulting in high catalytic activity and stability. We anticipate that the mechanism could be applied to designing additional catalysts with high ammonia decomposition performance at relatively low temperatures.

摘要

氨分解是一种生产高纯度氢气的有前途的方法。然而,该过程通常需要使用贵金属(如 Ru、Pt 等)作为催化剂,以确保在相对较低的温度下具有高效率。在本研究中,我们提出使用几种 Ni/GdCeO 催化剂来通过调整载体性质来提高氨分解性能。我们还研究了这种增强性能的潜在机制。我们的结果表明,在 600°C 下的 Ni/CeGdO 可以实现几乎完全的氨分解,导致在 150 小时以上的时间内氢气产率达到 2008.9 mmol.g.h,几乎没有下降。密度泛函理论计算表明,氮的复合解吸是 Ni 上氨分解的速率限制步骤。我们的特性表明,Ni/CeGdO 表现出高浓度的氧空位、表面上高度分散的 Ni 和丰富的强碱性位。这些性质显著增强了 N 的缔合解吸并增强了金属载体相互作用,从而具有高催化活性和稳定性。我们预计该机制可应用于设计在相对较低温度下具有高氨分解性能的其他催化剂。

https://cdn.ncbi.nlm.nih.gov/pmc/blobs/b8bf/10059070/de90e30effc6/molecules-28-02750-g001.jpg

文献AI研究员

20分钟写一篇综述,助力文献阅读效率提升50倍。

立即体验

用中文搜PubMed

大模型驱动的PubMed中文搜索引擎

马上搜索

文档翻译

学术文献翻译模型,支持多种主流文档格式。

立即体验