• 文献检索
  • 文档翻译
  • 深度研究
  • 学术资讯
  • Suppr Zotero 插件Zotero 插件
  • 邀请有礼
  • 套餐&价格
  • 历史记录
应用&插件
Suppr Zotero 插件Zotero 插件浏览器插件Mac 客户端Windows 客户端微信小程序
定价
高级版会员购买积分包购买API积分包
服务
文献检索文档翻译深度研究API 文档MCP 服务
关于我们
关于 Suppr公司介绍联系我们用户协议隐私条款
关注我们

Suppr 超能文献

核心技术专利:CN118964589B侵权必究
粤ICP备2023148730 号-1Suppr @ 2026

文献检索

告别复杂PubMed语法,用中文像聊天一样搜索,搜遍4000万医学文献。AI智能推荐,让科研检索更轻松。

立即免费搜索

文件翻译

保留排版,准确专业,支持PDF/Word/PPT等文件格式,支持 12+语言互译。

免费翻译文档

深度研究

AI帮你快速写综述,25分钟生成高质量综述,智能提取关键信息,辅助科研写作。

立即免费体验

不同根色的完整胡萝卜和鲜切胡萝卜对采后UV-C辐射的差异及品种依赖性抗氧化反应

Differential and Cultivar-Dependent Antioxidant Response of Whole and Fresh-Cut Carrots of Different Root Colors to Postharvest UV-C Radiation.

作者信息

Valerga Lucia, González Roxana E, Pérez María B, Concellón Analía, Cavagnaro Pablo F

机构信息

Consejo Nacional de Investigaciones Científicas y Técnicas (CONICET), Ciudad Autónoma de Buenos Aires CP1425, Argentina.

Instituto Nacional de Tecnología Agropecuaria (INTA) Estación Experimental Agropecuaria La Consulta, La Consulta, San Carlos, Mendoza M5567, Argentina.

出版信息

Plants (Basel). 2023 Mar 13;12(6):1297. doi: 10.3390/plants12061297.

DOI:10.3390/plants12061297
PMID:36986985
原文链接:https://pmc.ncbi.nlm.nih.gov/articles/PMC10053824/
Abstract

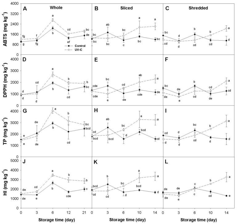
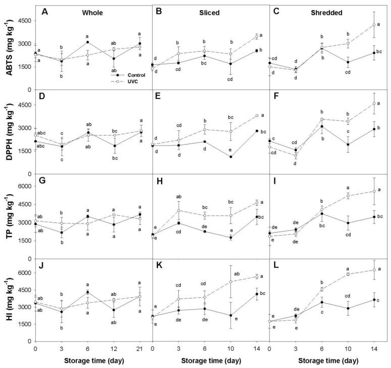
Fresh-cut produce have become widely popular, increasing vegetable consumption in many parts of the word. However, they are more perishable than unprocessed fresh vegetables, requiring cold storage to preserve their quality and palatability. In addition to cold storage, UV radiation has been used experimentally to try to increase nutritional quality and postharvest shelf life, revealing increased antioxidant levels in some fruits and vegetables, including orange carrots. Carrot is one of the main whole and fresh-cut vegetables worldwide. In addition to orange carrots, other root color phenotypes (e.g., purple, yellow, red) are becoming increasingly popular in some markets. The effect of the UV radiation and cold storage has not been explored in these root phenotypes. This study investigated the effect of postharvest UV-C radiation in whole and fresh-cut (sliced and shredded) roots of two purple, one yellow, and one orange-rooted cultivar, with regard to changes in concentration of total phenolics (TP) and hydroxycinnamic acids (HA), chlorogenic acid (CGA), total and individual anthocyanins, antioxidant capacity (by DPPH and ABTS), and superficial color appearance, monitoring such changes during cold storage. Results revealed that the UV-C radiation, the fresh-cut processing, and the cold storage influenced the content of antioxidant compounds and activities to varying extents, depending on the carrot cultivar, the degree of processing, and the phytochemical compound analyzed. UV-C radiation increased antioxidant capacity up to 2.1, 3.8, 2.5-folds; TP up to 2.0, 2.2, and 2.1-folds; and CGA up to 3.2, 6.6, and 2.5-folds, relative to UV-C untreated controls, for orange, yellow, and purple carrots, respectively. Anthocyanin levels were not significantly modified by the UV-C in both purple carrots evaluated. A moderate increase in tissue browning was found in some fresh-cut processed UV-C treated samples of yellow and purple but not orange roots. These data suggest variable potential for increasing functional value by UV-C radiation in different carrot root colors.

摘要

鲜切农产品广受欢迎,在世界许多地区增加了蔬菜的消费量。然而,它们比未加工的新鲜蔬菜更易腐烂,需要冷藏来保持其品质和口感。除冷藏外,紫外线辐射已被用于实验,试图提高营养品质和采后货架期,结果显示某些水果和蔬菜(包括橙色胡萝卜)中的抗氧化剂水平有所增加。胡萝卜是全球主要的完整和鲜切蔬菜之一。除了橙色胡萝卜,其他根色表型(如紫色、黄色、红色)在一些市场上也越来越受欢迎。紫外线辐射和冷藏对这些根色表型的影响尚未得到研究。本研究调查了采后紫外线-C辐射对两个紫色、一个黄色和一个橙色根品种的完整和鲜切(切片和切丝)根中总酚(TP)、羟基肉桂酸(HA)、绿原酸(CGA)、总花青素和单个花青素的浓度变化、抗氧化能力(通过DPPH和ABTS法)以及表面颜色外观的影响,并在冷藏期间监测这些变化。结果表明,紫外线-C辐射、鲜切加工和冷藏对抗氧化化合物的含量和活性有不同程度的影响,这取决于胡萝卜品种、加工程度和所分析的植物化学化合物。相对于未处理紫外线-C的对照,紫外线-C辐射使橙色、黄色和紫色胡萝卜的抗氧化能力分别提高了2.1倍、3.8倍和2.5倍;TP分别提高了2.0倍、2.2倍和2.1倍;CGA分别提高了3.2倍、6.6倍和2.5倍。在所评估的两个紫色胡萝卜中,紫外线-C对花青素水平没有显著影响。在一些经紫外线-C处理的黄色和紫色但不是橙色根的鲜切加工样品中,发现组织褐变有适度增加。这些数据表明,紫外线-C辐射在不同根色胡萝卜中增加功能价值的潜力各不相同。

https://cdn.ncbi.nlm.nih.gov/pmc/blobs/61d4/10053824/12fb0d322147/plants-12-01297-g006.jpg
https://cdn.ncbi.nlm.nih.gov/pmc/blobs/61d4/10053824/621a335fd65f/plants-12-01297-g001.jpg
https://cdn.ncbi.nlm.nih.gov/pmc/blobs/61d4/10053824/f384536e5439/plants-12-01297-g002.jpg
https://cdn.ncbi.nlm.nih.gov/pmc/blobs/61d4/10053824/17f550e65b6c/plants-12-01297-g003.jpg
https://cdn.ncbi.nlm.nih.gov/pmc/blobs/61d4/10053824/b64f19f87b9f/plants-12-01297-g004.jpg
https://cdn.ncbi.nlm.nih.gov/pmc/blobs/61d4/10053824/cfff951b0d86/plants-12-01297-g005.jpg
https://cdn.ncbi.nlm.nih.gov/pmc/blobs/61d4/10053824/12fb0d322147/plants-12-01297-g006.jpg
https://cdn.ncbi.nlm.nih.gov/pmc/blobs/61d4/10053824/621a335fd65f/plants-12-01297-g001.jpg
https://cdn.ncbi.nlm.nih.gov/pmc/blobs/61d4/10053824/f384536e5439/plants-12-01297-g002.jpg
https://cdn.ncbi.nlm.nih.gov/pmc/blobs/61d4/10053824/17f550e65b6c/plants-12-01297-g003.jpg
https://cdn.ncbi.nlm.nih.gov/pmc/blobs/61d4/10053824/b64f19f87b9f/plants-12-01297-g004.jpg
https://cdn.ncbi.nlm.nih.gov/pmc/blobs/61d4/10053824/cfff951b0d86/plants-12-01297-g005.jpg
https://cdn.ncbi.nlm.nih.gov/pmc/blobs/61d4/10053824/12fb0d322147/plants-12-01297-g006.jpg

相似文献

1
Differential and Cultivar-Dependent Antioxidant Response of Whole and Fresh-Cut Carrots of Different Root Colors to Postharvest UV-C Radiation.不同根色的完整胡萝卜和鲜切胡萝卜对采后UV-C辐射的差异及品种依赖性抗氧化反应
Plants (Basel). 2023 Mar 13;12(6):1297. doi: 10.3390/plants12061297.
2
Characterization of Purple Carrot Germplasm for Antioxidant Capacity and Root Concentration of Anthocyanins, Phenolics, and Carotenoids.紫胡萝卜种质的抗氧化能力以及花青素、酚类和类胡萝卜素的根含量特征分析
Plants (Basel). 2023 Apr 27;12(9):1796. doi: 10.3390/plants12091796.
3
Storage of Fruits and Vegetables in Refrigerator Increases their Phenolic Acids but Decreases the Total Phenolics, Anthocyanins and Vitamin C with Subsequent Loss of their Antioxidant Capacity.水果和蔬菜冷藏储存会增加其酚酸含量,但会降低总酚、花青素和维生素C含量,进而导致其抗氧化能力丧失。
Antioxidants (Basel). 2017 Jul 24;6(3):59. doi: 10.3390/antiox6030059.
4
The content of phenolic compounds and radical scavenging activity varies with carrot origin and root color.类黄酮化合物的含量和自由基清除活性因胡萝卜的产地和根颜色而异。
Plant Foods Hum Nutr. 2013 Jun;68(2):163-70. doi: 10.1007/s11130-013-0351-3.
5
Antioxidant phytochemicals and antioxidant capacity of biofortified carrots (Daucus carota L.) of various colors.不同颜色的生物强化胡萝卜(Daucus carota L.)中的抗氧化植物化学物质和抗氧化能力。
J Agric Food Chem. 2009 May 27;57(10):4142-7. doi: 10.1021/jf9001044. Epub 2009 Apr 9.
6
Comparison of volatiles, phenolics, sugars, antioxidant vitamins, and sensory quality of different colored carrot varieties.不同颜色胡萝卜品种的挥发性成分、酚类物质、糖类、抗氧化维生素及感官品质比较
J Agric Food Chem. 2001 Mar;49(3):1410-6. doi: 10.1021/jf000595h.
7
Bioactive Compounds and Antioxidant Capacity in Anthocyanin-Rich Carrots: A Comparison between the Black Carrot and the Apulian Landrace "Polignano" Carrot.富含花青素的胡萝卜中的生物活性化合物与抗氧化能力:黑胡萝卜与普利亚地方品种“波利尼亚诺”胡萝卜的比较
Plants (Basel). 2021 Mar 17;10(3):564. doi: 10.3390/plants10030564.
8
Transcript profiling of structural genes involved in cyanidin-based anthocyanin biosynthesis between purple and non-purple carrot (Daucus carota L.) cultivars reveals distinct patterns.紫色和非紫色胡萝卜(Daucus carota L.)品种中参与矢车菊素基花青素生物合成的结构基因的转录谱分析揭示了不同的模式。
BMC Plant Biol. 2014 Oct 1;14:262. doi: 10.1186/s12870-014-0262-y.
9
Multi-Target Alternative Approaches to Promoting Fresh-Cut Carrots' Bioactive and Fresh-like Quality.促进鲜切胡萝卜生物活性和保鲜品质的多靶点替代方法
Foods. 2022 Aug 12;11(16):2422. doi: 10.3390/foods11162422.
10
UVA, UVB and UVC Light Enhances the Biosynthesis of Phenolic Antioxidants in Fresh-Cut Carrot through a Synergistic Effect with Wounding.紫外线A、紫外线B和紫外线C通过与创伤的协同作用增强鲜切胡萝卜中酚类抗氧化剂的生物合成。
Molecules. 2017 Apr 24;22(4):668. doi: 10.3390/molecules22040668.

引用本文的文献

1
Characterization of anthocyanins, phenolics, and flavonoids in a global carrot collection through application of chemometrics and FT-NIR spectroscopy.通过化学计量学和傅里叶变换近红外光谱法对全球胡萝卜种质资源中的花青素、酚类和黄酮类化合物进行表征。
Food Chem X. 2025 Jul 18;29:102807. doi: 10.1016/j.fochx.2025.102807. eCollection 2025 Jul.
2
Mechanistic Insights into Vegetable Color Stability: Discoloration Pathways and Emerging Protective Strategies.蔬菜颜色稳定性的机理洞察:变色途径与新兴保护策略
Foods. 2025 Jun 24;14(13):2222. doi: 10.3390/foods14132222.
3
From Root to Seed: Unearthing the Potential of Carrot Processing and Comprehensive Utilization.

本文引用的文献

1
Physicochemical properties, degradation kinetics, and antioxidant capacity of aqueous anthocyanin-based extracts from purple carrots compared to synthetic and natural food colorants.与合成和天然食用色素相比,紫胡萝卜花青素基水提取物的理化性质、降解动力学及抗氧化能力
Food Chem. 2022 Sep 1;387:132893. doi: 10.1016/j.foodchem.2022.132893. Epub 2022 Apr 4.
2
Postharvest Ultraviolet Radiation in Fruit and Vegetables: Applications and Factors Modulating Its Efficacy on Bioactive Compounds and Microbial Growth.水果和蔬菜采后的紫外线辐射:应用及其对生物活性化合物和微生物生长的功效调节因素
Foods. 2022 Feb 23;11(5):653. doi: 10.3390/foods11050653.
3
从根到种:挖掘胡萝卜加工与综合利用的潜力
Food Sci Nutr. 2024 Oct 18;12(11):8762-8778. doi: 10.1002/fsn3.4542. eCollection 2024 Nov.
4
Effect of Tea Tree Essential Oil on the Quality, Antioxidant Activity, and Microbiological Safety of Lightly Processed Lily ( var. ) during Storage.茶树精油对轻度加工百合(品种)贮藏期间品质、抗氧化活性及微生物安全性的影响
Foods. 2024 Jul 2;13(13):2106. doi: 10.3390/foods13132106.
5
UV-C Treatment Impact on the Availability of Water-Soluble Carbohydrates, Polyphenols, and Antioxidant Capacity of an Algerian Underutilized Date Fruit ( L.).紫外线-C处理对阿尔及利亚未充分利用的海枣果实(L.)中水溶性碳水化合物、多酚和抗氧化能力的影响。
Foods. 2024 Mar 15;13(6):893. doi: 10.3390/foods13060893.
6
Tea Polyphenols Inhibit the Occurrence of Enzymatic Browning in Fresh-Cut Potatoes by Regulating Phenylpropanoid and ROS Metabolism.茶多酚通过调节苯丙烷类和活性氧代谢抑制鲜切马铃薯中酶促褐变的发生。
Plants (Basel). 2024 Jan 2;13(1):125. doi: 10.3390/plants13010125.
Genetic and Transcription Profile Analysis of Tissue-Specific Anthocyanin Pigmentation in Carrot Root Phloem.
组织特异性花色苷色素在胡萝卜韧皮部中的遗传和转录谱分析。
Genes (Basel). 2021 Sep 22;12(10):1464. doi: 10.3390/genes12101464.
4
Anthocyanins in vegetative tissues: a proposed unified function in photoprotection.营养组织中的花青素:光保护作用的一种统一假说
New Phytol. 2002 Sep;155(3):349-361. doi: 10.1046/j.1469-8137.2002.00482.x.
5
Dissecting the genetic control of root and leaf tissue-specific anthocyanin pigmentation in carrot (Daucus carota L.).解析胡萝卜(Daucus carota L.)中根和叶组织特异性花色素苷色素形成的遗传控制。
Theor Appl Genet. 2019 Sep;132(9):2485-2507. doi: 10.1007/s00122-019-03366-5. Epub 2019 May 29.
6
Onion Hybrid Seed Production: Relation with Nectar Composition and Flower Traits.洋葱杂交种子生产:与花蜜成分和花部性状的关系
J Econ Entomol. 2018 May 28;111(3):1023-1029. doi: 10.1093/jee/toy081.
7
Quality of fresh-cut products as affected by harvest and postharvest operations.鲜切产品质量受采后操作的影响。
J Sci Food Agric. 2018 Aug;98(10):3614-3626. doi: 10.1002/jsfa.8885. Epub 2018 Mar 22.
8
UVA, UVB and UVC Light Enhances the Biosynthesis of Phenolic Antioxidants in Fresh-Cut Carrot through a Synergistic Effect with Wounding.紫外线A、紫外线B和紫外线C通过与创伤的协同作用增强鲜切胡萝卜中酚类抗氧化剂的生物合成。
Molecules. 2017 Apr 24;22(4):668. doi: 10.3390/molecules22040668.
9
UV-C and hyperoxia abiotic stresses to improve healthiness of carrots: study of combined effects.紫外线-C和高氧非生物胁迫对提高胡萝卜健康状况的研究:联合效应研究
J Food Sci Technol. 2016 Sep;53(9):3465-3476. doi: 10.1007/s13197-016-2321-x. Epub 2016 Sep 2.
10
The effect of temperature on phenolic content in wounded carrots.温度对受伤胡萝卜中酚类物质含量的影响。
Food Chem. 2017 Jan 15;215:116-23. doi: 10.1016/j.foodchem.2016.07.172. Epub 2016 Jul 29.