Suppr超能文献

仅使用维吉尼亚霉素作为唯一的饲料添加剂来缩短内洛尔牛对高浓缩日粮的适应期,会对瘤胃发酵和养分利用产生负面影响。

Shortening the adaptation of Nellore cattle to high-concentrate diets using only virginiamycin as sole feed additive negatively impacts ruminal fermentation and nutrient utilization.

作者信息

Squizatti Mariana M, Rigueiro André L N, Silvestre Antonio M, Soares Carlos H G, Assumpção Alice H P M, Dias Evandro F F, Felizari Luana D, Silva Leandro A F, Souza Katia L R, Carvalho Victor M, Demartini Breno L, Souza Johnny M, Millen Danilo D

机构信息

School of Veterinary Medicine and Animal Science, São Paulo State University (UNESP), Botucatu, São Paulo, Brazil.

College of Agricultural and Technological Sciences, São Paulo State University (UNESP), Dracena, São Paulo, Brazil.

出版信息

Front Vet Sci. 2023 Mar 29;10:1089903. doi: 10.3389/fvets.2023.1089903. eCollection 2023.

Abstract

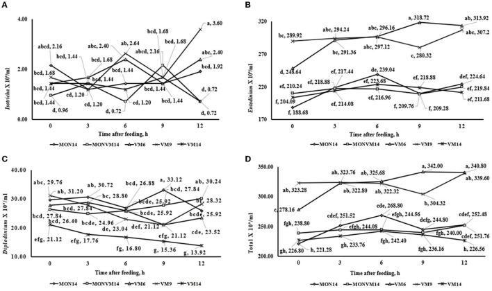
Feedlot cattle are usually adapted to high-concentrate diets containing sodium monensin (MON) in more than 14 days. However, considering that the dry matter intake DMI is usually lower during adaptation when compared to the finishing period, the use of MON during adaptation may decrease even further the DMI, and virginiamycin (VM) may be an alternative. This study was designed to investigate the effects of shortening the adaptation length from 14 to 9 or 6 days on ruminal metabolism, feeding behavior, and nutrient digestibility of Nellore cattle fed high-concentrate diets containing only VM as the sole feed additive. The experimental design was a 5 × 5 Latin square, where each period lasted 21 days. Five 17 mo-old Nellore yearling bulls were used (415 ± 22 kg of body weight), which were assigned to five treatments: (1) MON (30 mg/kg) and adaptation for 14 days; (2) MON (30 mg/kg) + VM (25 mg/kg) and adaptation for 14 days; (3) VM (25 mg/kg) and adaptation for 14 days; (4) VM (25 mg/kg) and adaptation for 9 days, and (5) VM (25 mg/kg) and adaptation for 6 days. A quadratic effect for adaptation length when only VM was fed was observed for mean pH ( = 0.03), duration of pH below 5.2 ( = 0.01) and 6.2 ( = 0.01), where cattle consuming VM adapted for 9 days had higher mean pH and shorter period of pH below 5.2 and 6.2. Cattle that consumed only MON had a lower concentration of butyrate ( = 0.02) and a higher concentration of propionate ( = 0.04) when compared to those consuming VM and adapted for 14 days. As the adaptation length decreased for animals consuming only VM, the rumen degradability of dry matter ( < 0.01), neutral detergent fiber ( < 0.01), and starch ( < 0.01) decreased; however, protozoa numbers of and total protozoa increased. It is not recommended to shorten the adaptation length of these animals to either 6 or 9 days without negatively impacting nutrient disappearance and ruminal fermentation patterns.

摘要

饲养场的牛通常需要14天以上的时间来适应含有莫能菌素(MON)的高浓度日粮。然而,考虑到与育肥期相比,适应期的干物质采食量(DMI)通常较低,在适应期使用莫能菌素可能会进一步降低DMI,而维吉尼亚霉素(VM)可能是一种替代选择。本研究旨在调查将适应期从14天缩短至9天或6天,对仅以维吉尼亚霉素作为唯一饲料添加剂的高浓度日粮喂养的内洛尔牛的瘤胃代谢、采食行为和养分消化率的影响。实验设计为5×5拉丁方,每个阶段持续21天。使用了5头17月龄的内洛尔一岁公牛(体重415±22千克),将其分配到5种处理中:(1)莫能菌素(30毫克/千克),适应14天;(2)莫能菌素(30毫克/千克)+维吉尼亚霉素(25毫克/千克),适应14天;(3)维吉尼亚霉素(25毫克/千克),适应14天;(4)维吉尼亚霉素(25毫克/千克),适应9天;(5)维吉尼亚霉素(25毫克/千克),适应6天。对于平均pH值(P = 0.03)、pH值低于5.2的持续时间(P = 0.01)和pH值低于6.2的持续时间(P = 0.01),观察到仅饲喂维吉尼亚霉素时适应期长度的二次效应,即适应9天的饲喂维吉尼亚霉素的牛具有较高的平均pH值以及较短的pH值低于5.2和6.2的时间段。与适应14天的饲喂维吉尼亚霉素的牛相比,仅饲喂莫能菌素的牛的丁酸浓度较低(P = 0.02),丙酸浓度较高(P = 0.04)。随着仅饲喂维吉尼亚霉素的动物适应期长度的缩短,干物质(P < 0.01)、中性洗涤纤维(P < 0.01)和淀粉(P < 0.01)的瘤胃降解率降低;然而,原虫数量和总原虫数量增加。不建议将这些动物的适应期长度缩短至6天或9天,否则会对养分消失和瘤胃发酵模式产生负面影响。

https://cdn.ncbi.nlm.nih.gov/pmc/blobs/f2de/10090337/ea41bfee33da/fvets-10-1089903-g0001.jpg

文献AI研究员

20分钟写一篇综述,助力文献阅读效率提升50倍。

立即体验

用中文搜PubMed

大模型驱动的PubMed中文搜索引擎

马上搜索

文档翻译

学术文献翻译模型,支持多种主流文档格式。

立即体验