Suppr超能文献

应用力改变了近视镜片的光学性能,但使用新设计的数字视网膜镜测试时,并未改变视网膜图像质量。

Applied Forces Changed Myopia Lens Optical Performance but Not Retinal Image Quality Tested Using a Newly Designed Digital Colmascope.

作者信息

Li Xiaoning, Pan Lun, Lan Weizhong, Yang Zhikuan

机构信息

Optometry Department, Changsha Aier Eye Hospital, Changsha, Hunan, People's Republic of China.

Aier School of Ophthalmology and Optometry, Hubei University of Science and Technology, Xianning, Hubei, People's Republic of China.

出版信息

Clin Optom (Auckl). 2023 Apr 13;15:65-74. doi: 10.2147/OPTO.S400840. eCollection 2023.

Abstract

BACKGROUND

The aim of this study was to investigate the effects of applied forces generated by a rim screw on the optical performance of mounted myopia lenses. The residual refractive error and retinal image quality of the corrected eyes were also investigated.

METHODS

For 120 lenses, internal lens stress was measured using a newly designed digital strain viewer (colmascope). Sixty myopic adults (120 eyes) were recruited. The effects of internal lens stress on residual refraction and retinal image quality were evaluated using OPD Scan III. The results were compared between loose and tight mounting and between the right and left eyes.

RESULTS

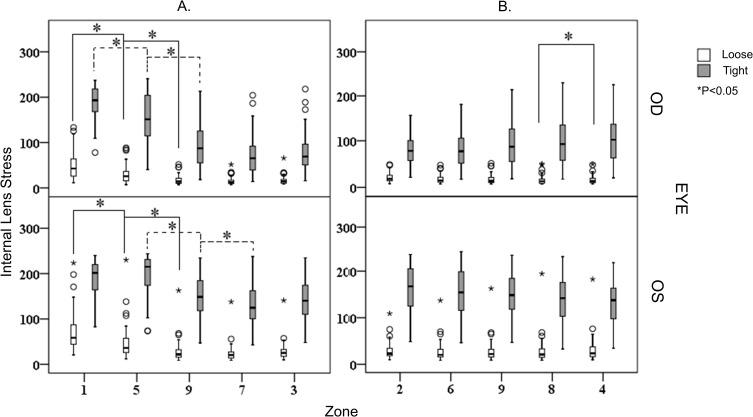
Significant differences were observed among nine lens zones in both the right and left lenses, regardless of the mounting state (P < 0.001). The differences were mainly derived from the five vertically arranged zones (P < 0.05). Significant differences in internal lens stress were observed between the right and left lenses (P < 0.05). No significant differences in central residual refractive error and retinal image quality of the corrected eyes were found between the loose- and tight-mounted lenses.

CONCLUSION

The applied forces generated by the rim screw changed the peripheral optical performance of the mounted myopia lenses but exerted only negligible impacts on the central residual refractive error and visual image quality.

摘要

背景

本研究旨在探讨镜圈螺丝产生的作用力对已安装近视镜片光学性能的影响。同时还研究了矫正眼的残余屈光不正和视网膜图像质量。

方法

使用新设计的数字应变观察仪(colmascope)测量120片镜片的内部镜片应力。招募了60名成年近视患者(120只眼)。使用OPD Scan III评估内部镜片应力对残余屈光和视网膜图像质量的影响。比较了松装和紧装状态以及左右眼之间的结果。

结果

无论安装状态如何,左右镜片的九个镜片区域均观察到显著差异(P < 0.001)。差异主要来自五个垂直排列的区域(P < 0.05)。左右镜片之间观察到内部镜片应力存在显著差异(P < 0.05)。松装和紧装镜片之间矫正眼的中央残余屈光不正和视网膜图像质量未发现显著差异。

结论

镜圈螺丝产生的作用力改变了已安装近视镜片的周边光学性能,但对中央残余屈光不正和视觉图像质量的影响可忽略不计。

https://cdn.ncbi.nlm.nih.gov/pmc/blobs/ec4d/10108864/89653327421f/OPTO-15-65-g0001.jpg

文献AI研究员

20分钟写一篇综述,助力文献阅读效率提升50倍。

立即体验

用中文搜PubMed

大模型驱动的PubMed中文搜索引擎

马上搜索

文档翻译

学术文献翻译模型,支持多种主流文档格式。

立即体验