Suppr超能文献

卡培他滨、伊立替康和帕尼单抗治疗晚期结直肠癌的有效性及安全性

Effectiveness and safety of capecitabine, irinotecan and panitumumab in advanced colorectal cancer.

作者信息

Yip Pui Lam, Fung Wai Him Brian, Lee Francis Ann Shing, Lee Chak Fei, Wong Natalie Sean Man, Lee Shing Fung

机构信息

Department of Clinical Oncology, Tuen Mun Hospital, New Territories West Cluster, Hospital Authority, Hong Kong, Hong Kong SAR, China.

Department of Radiation Oncology, National University Cancer Institute, National University Hospital, Singapore, Singapore.

出版信息

Front Oncol. 2023 Apr 6;13:1138357. doi: 10.3389/fonc.2023.1138357. eCollection 2023.

Abstract

INTRODUCTION

Capecitabine, irinotecan, and panitumumab (CAPIRI-P) is a controversial regimen for metastatic colorectal cancer, with concerns regarding the efficacy and toxicity. However, its toxicity profile has been improved with dose reduction, and concerns regarding efficacy have been extrapolated from other trials. This retrospective study reports the real-world effectiveness and safety of modified CAPIRI-P (mCAPIRI-P).

MATERIAL AND METHODS

Advanced colorectal cancer patients receiving mCAPIPI-P in the first-line setting between July 2019 and December 2021 were analyzed. The progression-free survival on treatment (PFS) and overall survival (OS) were estimated using the Kaplan-Meier method, and the association with clinical and disease factors was analyzed using the Cox regression model. Serial changes in carcinoembryonic antigen (CEA) level and treatment toxicity were also evaluated.

RESULTS

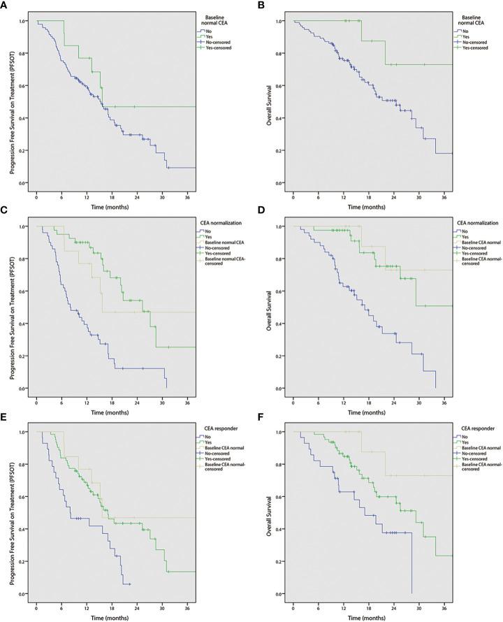
A total of 106 patients were included, of whom 97 (92%) and 31 (29%) had left-sided primary and unresectable liver-only disease, respectively. The median PFS and OS were 15.4 (95% CI 12.5-18.3) and 25.5 (95% CI 17.6-33.4) months, respectively. Sixteen (51.6%) and 10 (32.3%) liver-only disease patients underwent secondary liver treatment and R0 resection, respectively. In multivariable Cox regression, CEA responders (PFS: HR 0.53) and CEA normalization (PFS: HR 0.27; OS: HR 0.28) were independent favorable prognostic factors for PFS and OS. Grade ≥3 toxicity rate was 43%, mainly related to uncomplicated hematological toxicities.

CONCLUSION

The real-world data show that mCAPIRI-P is safe and effective as the first-line treatment regimen for RAS wild-type advanced colorectal cancer and warrants further study.

摘要

引言

卡培他滨、伊立替康和帕尼单抗(CAPIRI-P)是一种用于转移性结直肠癌的存在争议的治疗方案,人们对其疗效和毒性存在担忧。然而,随着剂量降低,其毒性特征已有所改善,而疗效方面的担忧则是从其他试验推断而来。这项回顾性研究报告了改良的CAPIRI-P(mCAPIRI-P)在现实世界中的有效性和安全性。

材料与方法

对2019年7月至2021年12月期间一线接受mCAPIPI-P治疗的晚期结直肠癌患者进行分析。采用Kaplan-Meier方法估计治疗期间的无进展生存期(PFS)和总生存期(OS),并使用Cox回归模型分析其与临床和疾病因素的关联。还评估了癌胚抗原(CEA)水平的系列变化和治疗毒性。

结果

共纳入106例患者,其中97例(92%)原发灶在左侧,31例(29%)仅有不可切除的肝脏转移病灶。中位PFS和OS分别为15.4(95%CI 12.5-18.3)个月和25.5(95%CI 17.6-33.4)个月。仅有肝脏转移病灶的患者中,分别有16例(51.6%)和10例(32.3%)接受了二次肝脏治疗和R0切除。在多变量Cox回归中,CEA反应者(PFS:HR 0.53)和CEA正常化(PFS:HR 0.27;OS:HR)是PFS和OS的独立有利预后因素。≥3级毒性发生率为43%,主要与单纯血液学毒性有关。

结论

现实世界数据表明,mCAPIRI-P作为RAS野生型晚期结直肠癌的一线治疗方案是安全有效的,值得进一步研究。

https://cdn.ncbi.nlm.nih.gov/pmc/blobs/35f5/10116611/62d255a592ce/fonc-13-1138357-g001.jpg

文献AI研究员

20分钟写一篇综述,助力文献阅读效率提升50倍。

立即体验

用中文搜PubMed

大模型驱动的PubMed中文搜索引擎

马上搜索

文档翻译

学术文献翻译模型,支持多种主流文档格式。

立即体验