Suppr超能文献

高斯分布扩频用于隐秘通信。

Gaussian-Distributed Spread-Spectrum for Covert Communications.

机构信息

Information Sciences Division, Defence Science and Technology Group, Edinburgh, SA 5111, Australia.

出版信息

Sensors (Basel). 2023 Apr 18;23(8):4081. doi: 10.3390/s23084081.

Abstract

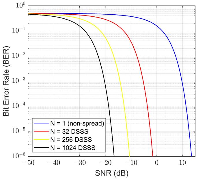
Covert communication techniques play a crucial role in military and commercial applications to maintain the privacy and security of wireless transmissions from prying eyes. These techniques ensure that adversaries cannot detect or exploit the existence of such transmissions. Covert communications, also known as low probability of detection (LPD) communication, are instrumental in preventing attacks such as eavesdropping, jamming, or interference that could compromise the confidentiality, integrity, and availability of wireless communication. Direct-sequence spread-spectrum (DSSS) is a widely used covert communication scheme that expands the bandwidth to mitigate interference and hostile detection effects, reducing the signal power spectral density (PSD) to a low level. However, DSSS signals possess cyclostationary random properties that an adversary can exploit using cyclic spectral analysis to extract useful features from the transmitted signal. These features can then be used to detect and analyse the signal, making it more susceptible to electronic attacks such as jamming. To overcome this problem, a method to randomise the transmitted signal and reduce its cyclic features is proposed in this paper. This method produces a signal with a probability density function (PDF) similar to thermal noise, which masks the signal constellation to appear as thermal white noise to unintended receivers. This proposed scheme, called Gaussian distributed spread-spectrum (GDSS), is designed such that the receiver does not need to know any information about the thermal white noise used to mask the transmit signal to recover the message. The paper presents the details of the proposed scheme and investigates its performance in comparison to the standard DSSS system. This study used three detectors, namely, a high-order moments based detector, a modulation stripping detector, and a spectral correlation detector, to evaluate the detectability of the proposed scheme. The detectors were applied to noisy signals, and the results revealed that the moment-based detector failed to detect the GDSS signal with a spreading factor, = 256 at all signal-to-noise ratios (SNRs), whereas it could detect the DSSS signals up to an SNR of -12 dB. The results obtained using the modulation stripping detector showed no significant phase distribution convergence for the GDSS signals, similar to the noise-only case, whereas the DSSS signals generated a phase distribution with a distinct shape, indicating the presence of a valid signal. Additionally, the spectral correlation detector applied to the GDSS signal at an SNR of -12 dB showed no identifiable peaks on the spectrum, providing further evidence of the effectiveness of the GDSS scheme and making it a favourable choice for covert communication applications. A semi-analytical calculation of the bit error rate is also presented for the uncoded system. The investigation results show that the GDSS scheme can generate a noise-like signal with reduced identifiable features, making it a superior solution for covert communication. However, achieving this comes at a cost of approximately 2 dB on the signal-to-noise ratio.

摘要

隐密通信技术在军事和商业应用中起着至关重要的作用,可确保无线传输的保密性和安全性,使其免受窥探。这些技术可确保对手无法检测或利用此类传输的存在。隐密通信,也称为低概率检测 (LPD) 通信,是防止诸如窃听、干扰或干扰等攻击的重要手段,这些攻击可能会危及无线通信的机密性、完整性和可用性。直接序列扩频 (DSSS) 是一种广泛使用的隐密通信方案,它通过扩展带宽来减轻干扰和敌对检测的影响,从而将信号功率谱密度 (PSD) 降低到较低水平。然而,DSSS 信号具有循环平稳随机特性,对手可以利用循环谱分析从传输信号中提取有用特征。然后,这些特征可用于检测和分析信号,从而使其更容易受到电子攻击,例如干扰。为了解决这个问题,本文提出了一种方法来随机化传输信号并降低其循环特征。该方法生成的信号具有概率密度函数 (PDF),类似于热噪声,从而将信号星座掩盖起来,使其在非预期的接收器中呈现出热白噪声的外观。这种方案称为高斯分布扩频 (GDSS),设计目的是使接收器无需了解用于掩盖传输信号的热白噪声的任何信息即可恢复消息。本文介绍了该方案的细节,并研究了其与标准 DSSS 系统相比的性能。本研究使用了三种检测器,即基于高阶矩的检测器、调制剥离检测器和频谱相关检测器,来评估该方案的可检测性。将这些检测器应用于噪声信号,结果表明,在所有信噪比 (SNR) 下,基于矩的检测器都无法检测到扩频因子为 256 的 GDSS 信号,而它可以检测到 SNR 高达-12dB 的 DSSS 信号。使用调制剥离检测器获得的结果表明,GDSS 信号的相位分布没有明显的收敛,类似于噪声情况,而 DSSS 信号生成了具有明显形状的相位分布,表明存在有效的信号。此外,在 SNR 为-12dB 的情况下,频谱相关检测器应用于 GDSS 信号,频谱上没有可识别的峰,这进一步证明了 GDSS 方案的有效性,使其成为隐密通信应用的首选方案。还给出了未编码系统的误码率的半解析计算。研究结果表明,GDSS 方案可以生成具有降低可识别特征的类似噪声的信号,因此是隐密通信的理想选择。然而,这需要大约 2dB 的信噪比代价。

https://cdn.ncbi.nlm.nih.gov/pmc/blobs/91f1/10144851/7c286ed6c89a/sensors-23-04081-g001.jpg

文献检索

告别复杂PubMed语法,用中文像聊天一样搜索,搜遍4000万医学文献。AI智能推荐,让科研检索更轻松。

立即免费搜索

文件翻译

保留排版,准确专业,支持PDF/Word/PPT等文件格式,支持 12+语言互译。

免费翻译文档

深度研究

AI帮你快速写综述,25分钟生成高质量综述,智能提取关键信息,辅助科研写作。

立即免费体验