School of Aeronautics and Astronautics, Zhejiang University, Hangzhou 310027, China.
Key Laboratory of Micro-Nano Satellite Research, Hangzhou 310027, China.
Sensors (Basel). 2023 Apr 19;23(8):4109. doi: 10.3390/s23084109.
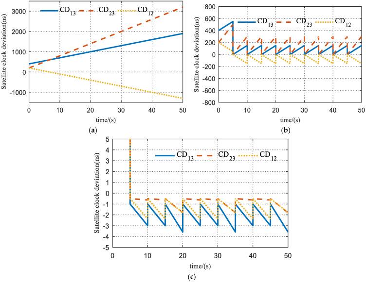
The rapid development of multi-satellite formations requires inter-satellite radio frequency (RF) measurement to be both precise and scalable. The navigation estimation of multi-satellite formations using a unified time reference demands the simultaneous RF measurement of the inter-satellite range and time difference. However, high-precision inter-satellite RF ranging and time difference measurements are investigated separately in existing studies. Different from the conventional two-way ranging (TWR) method, which is limited by its reliance on a high-performance atomic clock and navigation ephemeris, asymmetric double-sided two-way ranging (ADS-TWR)-based inter-satellite measurement schemes can eliminate such reliance while ensuring measurement precision and scalability. However, ADS-TWR was originally proposed for ranging-only applications. In this study, by fully exploiting the time-division non-coherent measurement characteristic of ADS-TWR, a joint RF measurement method is proposed to obtain the inter-satellite range and time difference simultaneously. Moreover, a multi-satellite clock synchronization scheme is proposed based on the joint measurement method. The experimental results show that when inter-satellite ranges are hundreds of kilometers, the joint measurement system has a centimeter-level accuracy for ranging and a hundred-picosecond-level accuracy for time difference measurement, and the maximum clock synchronization error was only about 1 ns.
多星编队的快速发展要求星间射频(RF)测量既精确又可扩展。使用统一时间基准进行多星编队的导航估计需要同时进行星间距离和时差的 RF 测量。然而,现有研究分别对高精度星间 RF 测距和时差测量进行了研究。与传统的双向测距(TWR)方法不同,该方法受高性能原子钟和导航星历的依赖限制,基于非对称双边双向测距(ADS-TWR)的星间测量方案可以消除这种依赖,同时确保测量精度和可扩展性。然而,ADS-TWR 最初是为仅测距应用而提出的。在这项研究中,通过充分利用 ADS-TWR 的时分非相干测量特性,提出了一种联合 RF 测量方法,以同时获得星间距离和时差。此外,还提出了一种基于联合测量方法的多星时钟同步方案。实验结果表明,当星间距离达到数百公里时,联合测量系统的测距精度达到厘米级,时差测量精度达到百皮秒级,最大时钟同步误差仅约为 1ns。