Ying Lixia, Wang Di, Nie Chongyang, Zhu Tianlin, Cao Fangping, Liu Ruxin, Wang Zhiyong
College of Mechanical and Electrical Engineering, Harbin Engineering University Harbin 150001 China.
RSC Adv. 2023 May 10;13(21):14171-14180. doi: 10.1039/d3ra01636f. eCollection 2023 May 9.
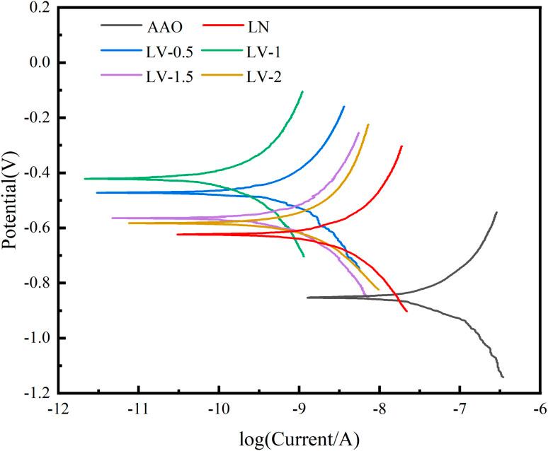
In this study, Mg/Al layered double hydroxide (LDH) composite coatings were prepared on the surface of anodized 1060 aluminum alloy by an growth method, and then the vanadate anions were embedded in the interlayer corridor of LDH by an ion exchange process. The morphology, structure and composition of the composite coatings were investigated using scanning electron microscopy, energy dispersive spectroscopy, X-ray diffractometry and Fourier transform infrared spectroscopy. Ball-and-disk friction wear experiments were carried out to measure the coefficient of friction, the amount of wear, and the morphology of the worn surface. The corrosion resistance of the coating is studied using dynamic potential polarisation (Tafel) and electrochemical impedance spectroscopy (EIS). The results showed that the LDH composite coating with unique layered nanostructure as a solid lubricating film can effectively improve the friction and wear reduction performance of the metal substrate. Chemical modification treatment by embedding vanadate anions in the LDH coating leads to the change of LDH layer spacing and the increase of interlayer channels, resulting in the best friction and wear reduction and corrosion resistance of the LDH coating. Finally, the mechanism of hydrotalcite coating as a solid lubricating film for friction and wear reduction is proposed.
在本研究中,采用一种生长方法在阳极氧化的1060铝合金表面制备了Mg/Al层状双氢氧化物(LDH)复合涂层,然后通过离子交换过程将钒酸根阴离子嵌入LDH的层间通道。使用扫描电子显微镜、能谱仪、X射线衍射仪和傅里叶变换红外光谱对复合涂层的形貌、结构和组成进行了研究。进行了球盘摩擦磨损实验,以测量摩擦系数、磨损量和磨损表面的形貌。使用动态电位极化(Tafel)和电化学阻抗谱(EIS)研究了涂层的耐腐蚀性。结果表明,具有独特层状纳米结构的LDH复合涂层作为固体润滑膜可以有效地提高金属基体的减摩耐磨性能。通过在LDH涂层中嵌入钒酸根阴离子进行化学改性处理导致LDH层间距的变化和层间通道的增加,从而使LDH涂层具有最佳的减摩耐磨性能和耐腐蚀性。最后,提出了水滑石涂层作为固体润滑膜减摩耐磨的机理。