Suppr超能文献

新冠疫情第一波大流行后应急心理响应专业人员心理症状相关的脑功能网络变化

Brain functional network changes associated with psychological symptoms in emergency psychological responding professionals after the first wave of COVID-19 pandemic.

作者信息

Hu Ying, Hu Hao, Sun Yawen, Zhang Yiming, Wang Yao, Han Xu, Su Shanshan, Zhuo Kaiming, Wang Zhen, Zhou Yan

机构信息

Department of Radiology, Renji Hospital, School of Medicine, Shanghai Jiao Tong University, Shanghai, China.

Shanghai Mental Health Center, Shanghai Jiao Tong University School of Medicine, Shanghai, China.

出版信息

Front Psychiatry. 2023 Apr 28;14:1014866. doi: 10.3389/fpsyt.2023.1014866. eCollection 2023.

Abstract

BACKGROUND

Emergency psychological responding professionals are recruited to help deal with psychological issues as the Corona Virus Disease 2019 (COVID-19) continues. We aimed to study the neural correlates of psychological states in these emergency psychological responding professionals after exposure to COVID-19 related trauma at baseline and after 1-year self-adjustment.

METHODS

Resting-state functional MRI (rs-fMRI) and multiscale network approaches were utilized to evaluate the functional brain activities in emergency psychological professionals after trauma. Temporal (baseline vs. follow-up) and cross-sectional (emergency psychological professionals vs. healthy controls) differences were studied using appropriate -tests. The brain functional network correlates of psychological symptoms were explored.

RESULTS

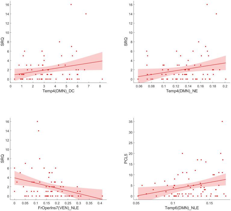
At either time-point, significant changes in the ventral attention (VEN) and the default mode network (DMN) were associated with psychological symptoms in emergency psychological professionals. In addition, the emergency psychological professionals whose mental states improved after 1 year demonstrated altered intermodular connectivity strength between several modules in the functional network, mainly linking the DMN, VEN, limbic, and frontoparietal control modules.

CONCLUSION

Brain functional network alterations and their longitudinal changes varied across groups of EPRT with distinctive clinical features. Exposure to emergent trauma does cause psychological professionals to produce DMN and VEN network changes related to psychological symptoms. About 65% of them will gradually adjust mental states, and the network tends to be rebalanced after a year.

摘要

背景

随着2019冠状病毒病(COVID-19)疫情持续,应急心理响应专业人员被招募来帮助应对心理问题。我们旨在研究这些应急心理响应专业人员在基线时暴露于COVID-19相关创伤后以及经过1年自我调整后的心理状态的神经相关性。

方法

利用静息态功能磁共振成像(rs-fMRI)和多尺度网络方法评估创伤后应急心理专业人员的大脑功能活动。使用适当的检验研究时间(基线与随访)和横断面(应急心理专业人员与健康对照)差异。探索心理症状的脑功能网络相关性。

结果

在任一时间点,腹侧注意网络(VEN)和默认模式网络(DMN)的显著变化与应急心理专业人员的心理症状相关。此外,1年后心理状态改善的应急心理专业人员在功能网络中几个模块之间的模块间连接强度发生了改变,主要连接DMN、VEN、边缘系统和额顶叶控制模块。

结论

脑功能网络改变及其纵向变化在具有独特临床特征的应急心理响应专业人员组中各不相同。暴露于突发创伤确实会导致心理专业人员产生与心理症状相关的DMN和VEN网络变化。其中约65%的人将逐渐调整心理状态,一年后网络趋于重新平衡。

https://cdn.ncbi.nlm.nih.gov/pmc/blobs/edc8/10175782/1dac555ed4e9/fpsyt-14-1014866-g001.jpg

文献AI研究员

20分钟写一篇综述,助力文献阅读效率提升50倍。

立即体验

用中文搜PubMed

大模型驱动的PubMed中文搜索引擎

马上搜索

文档翻译

学术文献翻译模型,支持多种主流文档格式。

立即体验