• 文献检索
  • 文档翻译
  • 深度研究
  • 学术资讯
  • Suppr Zotero 插件Zotero 插件
  • 邀请有礼
  • 套餐&价格
  • 历史记录
应用&插件
Suppr Zotero 插件Zotero 插件浏览器插件Mac 客户端Windows 客户端微信小程序
定价
高级版会员购买积分包购买API积分包
服务
文献检索文档翻译深度研究API 文档MCP 服务
关于我们
关于 Suppr公司介绍联系我们用户协议隐私条款
关注我们

Suppr 超能文献

核心技术专利:CN118964589B侵权必究
粤ICP备2023148730 号-1Suppr @ 2026

文献检索

告别复杂PubMed语法,用中文像聊天一样搜索,搜遍4000万医学文献。AI智能推荐,让科研检索更轻松。

立即免费搜索

文件翻译

保留排版,准确专业,支持PDF/Word/PPT等文件格式,支持 12+语言互译。

免费翻译文档

深度研究

AI帮你快速写综述,25分钟生成高质量综述,智能提取关键信息,辅助科研写作。

立即免费体验

马来西亚砂拉越美里市典型城市住宅地面伽马辐射剂量率的微观测绘。

Micro-mapping of terrestrial gamma radiation dose rate in typical urban homes in Miri City (Sarawak, Malaysia).

作者信息

Dodge-Wan Dominique, Viswanathan Prasanna Mohan, Seow Sheng Qin

机构信息

Department of Applied Sciences, Faculty of Engineering and Science, Curtin University Malaysia, CDT 250, 98009 Miri, Sarawak Malaysia.

出版信息

J Radioanal Nucl Chem. 2023;332(6):2177-2193. doi: 10.1007/s10967-023-08838-z. Epub 2023 Mar 8.

DOI:10.1007/s10967-023-08838-z
PMID:37193350
原文链接:https://pmc.ncbi.nlm.nih.gov/articles/PMC9994391/
Abstract

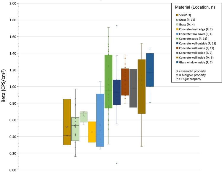
Micro-mapping of terrestrial gamma radiation dose (TGRD) at meter grid spacing in and around four urban homes in Miri City shows rates ranging from 70 to 150 nGy/h. Tiled surfaces (floors and walls) vary between properties and have a clear and significant influence on TGRD which is highest in kitchens, washrooms and toilets. Application of a single indoor value for annual effective dose (AED) may lead to underestimations of up to 30%. The AED is unlikely to exceed 0.8 mSv in homes of this type in Miri, which is within recommended guidelines.

摘要

在美里市四个城市家庭及其周边以米网格间距对陆地伽马辐射剂量(TGRD)进行的微观测绘显示,剂量率范围为70至150纳戈瑞/小时。不同房产的瓷砖表面(地板和墙壁)存在差异,且对TGRD有明显且显著的影响,在厨房、洗手间和卫生间中TGRD最高。采用单一的室内年有效剂量(AED)值可能导致高达30%的低估。在美里这种类型的家庭中,AED不太可能超过0.8毫希沃特,这在推荐指南范围内。

https://cdn.ncbi.nlm.nih.gov/pmc/blobs/b717/9994391/41c9b2177635/10967_2023_8838_Fig8_HTML.jpg
https://cdn.ncbi.nlm.nih.gov/pmc/blobs/b717/9994391/931c95b371ca/10967_2023_8838_Fig1_HTML.jpg
https://cdn.ncbi.nlm.nih.gov/pmc/blobs/b717/9994391/961dea58b6e5/10967_2023_8838_Fig2_HTML.jpg
https://cdn.ncbi.nlm.nih.gov/pmc/blobs/b717/9994391/2fa7158753e3/10967_2023_8838_Fig3_HTML.jpg
https://cdn.ncbi.nlm.nih.gov/pmc/blobs/b717/9994391/bf4d8dc3455e/10967_2023_8838_Fig4_HTML.jpg
https://cdn.ncbi.nlm.nih.gov/pmc/blobs/b717/9994391/892d2ac8c553/10967_2023_8838_Fig5_HTML.jpg
https://cdn.ncbi.nlm.nih.gov/pmc/blobs/b717/9994391/e1484f0dd5f7/10967_2023_8838_Fig6_HTML.jpg
https://cdn.ncbi.nlm.nih.gov/pmc/blobs/b717/9994391/1cc61384d65a/10967_2023_8838_Fig7_HTML.jpg
https://cdn.ncbi.nlm.nih.gov/pmc/blobs/b717/9994391/41c9b2177635/10967_2023_8838_Fig8_HTML.jpg
https://cdn.ncbi.nlm.nih.gov/pmc/blobs/b717/9994391/931c95b371ca/10967_2023_8838_Fig1_HTML.jpg
https://cdn.ncbi.nlm.nih.gov/pmc/blobs/b717/9994391/961dea58b6e5/10967_2023_8838_Fig2_HTML.jpg
https://cdn.ncbi.nlm.nih.gov/pmc/blobs/b717/9994391/2fa7158753e3/10967_2023_8838_Fig3_HTML.jpg
https://cdn.ncbi.nlm.nih.gov/pmc/blobs/b717/9994391/bf4d8dc3455e/10967_2023_8838_Fig4_HTML.jpg
https://cdn.ncbi.nlm.nih.gov/pmc/blobs/b717/9994391/892d2ac8c553/10967_2023_8838_Fig5_HTML.jpg
https://cdn.ncbi.nlm.nih.gov/pmc/blobs/b717/9994391/e1484f0dd5f7/10967_2023_8838_Fig6_HTML.jpg
https://cdn.ncbi.nlm.nih.gov/pmc/blobs/b717/9994391/1cc61384d65a/10967_2023_8838_Fig7_HTML.jpg
https://cdn.ncbi.nlm.nih.gov/pmc/blobs/b717/9994391/41c9b2177635/10967_2023_8838_Fig8_HTML.jpg

相似文献

1
Micro-mapping of terrestrial gamma radiation dose rate in typical urban homes in Miri City (Sarawak, Malaysia).马来西亚砂拉越美里市典型城市住宅地面伽马辐射剂量率的微观测绘。
J Radioanal Nucl Chem. 2023;332(6):2177-2193. doi: 10.1007/s10967-023-08838-z. Epub 2023 Mar 8.
2
Predicting terrestrial gamma dose rate based on geological and soil information: case study of Perak state, Malaysia.
J Radiol Prot. 2016 Mar;36(1):20-36. doi: 10.1088/0952-4746/36/1/20. Epub 2015 Nov 19.
3
Isodose mapping of terrestrial gamma radiation in Sarawak-Borneo: Insights from surface-weathered soil analysis.
Appl Radiat Isot. 2024 Jul;209:111327. doi: 10.1016/j.apradiso.2024.111327. Epub 2024 Apr 16.
4
Terrestrial gamma radiation dose study to determine the baseline for environmental radiological health practices in Melaka state, Malaysia.马来西亚马六甲州陆地伽马辐射剂量研究,以确定环境放射健康实践的基线。
J Radiol Prot. 2005 Dec;25(4):435-50. doi: 10.1088/0952-4746/25/4/006. Epub 2005 Dec 5.
5
Radiological mapping of Kelantan, Malaysia, using terrestrial radiation dose rate.马来西亚吉兰丹州陆地辐射剂量率的放射学测绘。
Isotopes Environ Health Stud. 2016 Jun;52(3):214-8. doi: 10.1080/10256016.2016.1095189. Epub 2015 Nov 5.
6
Spatial distribution, risk assessment and influence factors of terrestrial gamma radiation dose in China.中国陆地γ辐射剂量的空间分布、风险评估及影响因素
J Environ Radioact. 2020 Oct;222:106325. doi: 10.1016/j.jenvrad.2020.106325. Epub 2020 Jun 17.
7
STUDIES ON GAMMA DOSE RATES IN INDOOR AND OUTDOOR ENVIRONMENT OF HASSAN CITY, KARNATAKA.卡纳塔克邦哈桑市室内外环境的 γ 剂量率研究。
Radiat Prot Dosimetry. 2020 Jul 2;188(4):516-521. doi: 10.1093/rpd/ncaa003.
8
EVALUATION OF INDOOR/OUTDOOR GAMMA EXPOSURE RATES AND EXCESS LIFE TIME CANCER RISK IN DIFFERENT CITIES OF PAKISTAN.评估巴基斯坦不同城市的室内/室外伽马辐射率和超额寿命癌症风险。
Radiat Prot Dosimetry. 2020 Oct 16;190(4):355-363. doi: 10.1093/rpd/ncaa115.
9
Radiological assessment subjected to outdoor radon and thoron concentrations and terrestrial gamma radiation measurements in Perak Malaysia.马来西亚霹雳州的室外氡和钍射气浓度及陆地伽马辐射测量的放射学评估。
Appl Radiat Isot. 2022 Jan;179:109991. doi: 10.1016/j.apradiso.2021.109991. Epub 2021 Oct 23.
10
Measurements of indoor gamma radiation dose in At-Taif city, Saudi Arabia using CaSO4:Dy (TLD-900).使用硫酸钙铥(TLD-900)对沙特阿拉伯塔伊夫市室内伽马辐射剂量进行测量。
Radiat Prot Dosimetry. 2005;113(2):178-84. doi: 10.1093/rpd/nch437. Epub 2004 Dec 7.

引用本文的文献

1
Baseline survey of environmental parameters, radiation, and drip water hydrochemistry in Niah Caves (Sarawak, Malaysia).尼亚洞(马来西亚沙捞越州)环境参数、辐射和滴水水文化学的基线调查。
Environ Monit Assess. 2024 Sep 19;196(10):954. doi: 10.1007/s10661-024-13133-9.