Gamete and Embryology (GAME) Laboratory, College of Public Health, Medical & Veterinary Sciences, James Cook University, Townsville, QLD, 4811, Australia.
College of Public Health, Medical, and Veterinary Sciences, James Cook University, Townsville, QLD, 4811, Australia.
Fish Physiol Biochem. 2023 Aug;49(4):559-576. doi: 10.1007/s10695-023-01191-8. Epub 2023 May 17.
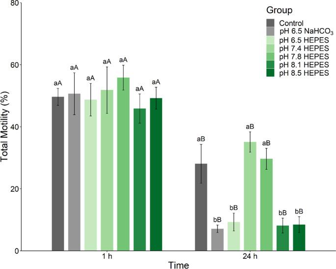
Reliable short-term chilled sperm storage is a critical prerequisite to using advanced reproductive techniques for captive breeding of barramundi (Asian sea bass; Lates calcarifer). Marine Ringer's solution (MRS) is a common non-activating medium (NAM) and has previously been used to store sperm from wild-caught barramundi. However, MRS-stored spermatozoa from captive-bred barramundi were observed to lyse within 30 min incubation. Therefore, this study aimed to optimize the composition of NAM for short-term chilled storage by characterizing and mimicking the biochemical profile of seminal and blood plasma of captive-bred barramundi. To further understand the effect of each component, osmolality was first examined to determine its effect on sperm viability. Thereafter, the effects of NaHCO, pH, and Na and K concentrations on sperm motility were investigated. Optimization of the NAM formula was achieved through iterative adaptions. The increase in NAM osmolality from 260 to 400 mOsm/kg led to a significant improvement in sperm viability. Moreover, using HEPES instead of NaHCO as buffering agent significantly enhanced sperm motility and velocity. As a result, sperm samples diluted with optimized NAM (185 mM NaCl, 5.1 mM KCl, 1.6 mM CaCl·2HO, 1.1 mM MgSO·7HO, 10.0 mM HEPES, 5.6 mM D glucose, 400 mOsm/kg, pH 7.4) and stored at 4 °C showed no significant loss in total motility for up to 48 h and retained progressive motility for up to 72 h. The optimized NAM developed in this study significantly extended the functional lifespan of spermatozoa during chilled storage, permitting the ongoing development of advanced reproductive technologies for barramundi.
可靠的短期冷藏精子储存是利用先进的繁殖技术进行尖吻鲈(亚洲海鲈;Lates calcarifer)圈养繁殖的关键前提。海洋林格氏溶液(MRS)是一种常见的非激活介质(NAM),并已被用于储存野生尖吻鲈的精子。然而,从圈养繁殖的尖吻鲈中储存的 MRS 精子在孵育 30 分钟内观察到溶解。因此,本研究旨在通过描述和模拟圈养繁殖的尖吻鲈精液和血浆的生化特征,优化用于短期冷藏的 NAM 成分。为了进一步了解每个成分的影响,首先检查渗透压对精子活力的影响。此后,研究了 NaHCO3、pH 值以及 Na 和 K 浓度对精子运动能力的影响。通过迭代适应优化 NAM 配方。将 NAM 渗透压从 260 增加到 400 mOsm/kg,导致精子活力显著提高。此外,使用 HEPES 代替 NaHCO3 作为缓冲剂可显著提高精子的运动能力和速度。结果,使用优化的 NAM(185 mM NaCl、5.1 mM KCl、1.6 mM CaCl·2HO、1.1 mM MgSO·7HO、10.0 mM HEPES、5.6 mM D 葡萄糖、400 mOsm/kg、pH 7.4)稀释的精子样本在 4°C 下储存长达 48 小时,总活力没有明显损失,并且保持了长达 72 小时的渐进运动能力。本研究中开发的优化 NAM 显著延长了精子在冷藏储存期间的功能寿命,允许尖吻鲈的先进繁殖技术不断发展。