Suppr超能文献

美国 30-69 岁成年人腰椎骨密度、血清 25-羟维生素 D 与肾结石史的相关性(NHANES 2011-2018)。

Associations between lumbar bone mineral density, serum 25-hydroxyvitamin D and history of kidney stones in adults aged 30-69 years in the USA (NHANES 2011-2018).

机构信息

Department of Urology, Shengjing Hospital of China Medical University, Shenyang, China.

Department of Urology, Shengjing Hospital of China Medical University, Shenyang, China

出版信息

BMJ Open. 2023 May 23;13(5):e070555. doi: 10.1136/bmjopen-2022-070555.

Abstract

OBJECTIVES

Most kidney stones contain calcium, which is closely associated with human bone health. Therefore, we aimed to determine the relationship between the history of kidney stones and human bone health. This study examined the associations between lumbar bone mineral density (BMD), serum 25-hydroxyvitamin D (25-OHD) and a history of kidney stones in individuals aged between 30 years and 69 years.

DESIGN AND DATA ANALYSIS

A multivariate logistic regression model was used to estimate the relationship between lumbar BMD, serum 25-OHD levels and kidney stones in this cross-sectional study. All models incorporated survey sample weights and were adjusted for covariates.

SETTING

National Health and Nutrition Examination Survey (NHANES) 2011-2018. The exposure and outcomes of this study included the lumbar BMD and presence of kidney stones.

PARTICIPANTS

All the 7500 participants for this cross-sectional survey were selected from the NHANES between 2011 and 2018.

MAIN OUTCOME MEASURES

The main outcome of this study was the presence of kidney stones. The interviewers asked the questions on kidney stones while the respondents were at home, using a computer-assisted personal interview system.

RESULTS

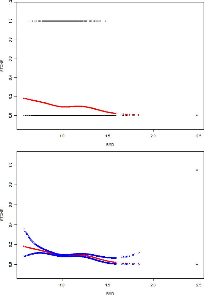
Lumbar BMD was negatively correlated with a history of kidney stones in all three multivariate linear regression models; the negative association existed in all genders after adjusting for all confounding factors. In the multiple regression analysis, there was an interaction between serum 25-OHD and lumbar BMD (p<0.05) regarding the influence on kidney stones; the negative association between lumbar BMD and kidney stones was more obvious in the higher 25-OHD group (≥50 nmol/L).

CONCLUSION

The study results suggest that maintaining a high lumbar BMD may reduce the incidence of kidney stone formation. Simultaneously, maintaining a high serum 25-OHD level may be more beneficial in preventing the occurrence or recurrence of stones while ensuring a high lumbar BMD.

摘要

目的

大多数肾结石含有钙,而钙与人类骨骼健康密切相关。因此,我们旨在确定肾结石史与人类骨骼健康之间的关系。本研究调查了 30 岁至 69 岁个体的腰椎骨密度(BMD)、血清 25-羟维生素 D(25-OHD)与肾结石史之间的关系。

设计和数据分析

在这项横断面研究中,我们使用多变量逻辑回归模型来估计腰椎 BMD、血清 25-OHD 水平与肾结石之间的关系。所有模型均包含调查样本权重,并针对协变量进行了调整。

设置

国家健康和营养检查调查(NHANES)2011-2018。本研究的暴露和结局包括腰椎 BMD 和肾结石的存在。

参与者

所有参与本次横断面调查的 7500 名参与者均选自 2011 年至 2018 年的 NHANES。

主要观察指标

本研究的主要结局是肾结石的存在。在家庭中,访谈者使用计算机辅助个人访谈系统向受访者询问肾结石问题。

结果

在所有三个多变量线性回归模型中,腰椎 BMD 与肾结石史呈负相关;在调整所有混杂因素后,所有性别均存在负相关。在多元回归分析中,血清 25-OHD 和腰椎 BMD 之间存在交互作用(p<0.05),影响肾结石;在较高的 25-OHD 组(≥50 nmol/L),腰椎 BMD 与肾结石之间的负相关更明显。

结论

研究结果表明,保持较高的腰椎 BMD 可能会降低肾结石形成的发生率。同时,在保证腰椎 BMD 较高的情况下,保持较高的血清 25-OHD 水平可能更有利于预防结石的发生或复发。

https://cdn.ncbi.nlm.nih.gov/pmc/blobs/7b40/10231023/6a4f46b0b548/bmjopen-2022-070555f01.jpg

文献AI研究员

20分钟写一篇综述,助力文献阅读效率提升50倍。

立即体验

用中文搜PubMed

大模型驱动的PubMed中文搜索引擎

马上搜索

文档翻译

学术文献翻译模型,支持多种主流文档格式。

立即体验