• 文献检索
  • 文档翻译
  • 深度研究
  • 学术资讯
  • Suppr Zotero 插件Zotero 插件
  • 邀请有礼
  • 套餐&价格
  • 历史记录
应用&插件
Suppr Zotero 插件Zotero 插件浏览器插件Mac 客户端Windows 客户端微信小程序
定价
高级版会员购买积分包购买API积分包
服务
文献检索文档翻译深度研究API 文档MCP 服务
关于我们
关于 Suppr公司介绍联系我们用户协议隐私条款
关注我们

Suppr 超能文献

核心技术专利:CN118964589B侵权必究
粤ICP备2023148730 号-1Suppr @ 2026

文献检索

告别复杂PubMed语法,用中文像聊天一样搜索,搜遍4000万医学文献。AI智能推荐,让科研检索更轻松。

立即免费搜索

文件翻译

保留排版,准确专业,支持PDF/Word/PPT等文件格式,支持 12+语言互译。

免费翻译文档

深度研究

AI帮你快速写综述,25分钟生成高质量综述,智能提取关键信息,辅助科研写作。

立即免费体验

缺血性卒中和 TIA 后主要不良心血管事件的长期风险。

Long-term risk of major adverse cardiovascular events following ischemic stroke or TIA.

机构信息

Department of Public Health and Clinical Medicine, Östersund, Umeå University, Umeå, Sweden.

出版信息

Sci Rep. 2023 May 23;13(1):8333. doi: 10.1038/s41598-023-35601-x.

DOI:10.1038/s41598-023-35601-x
PMID:37221291
原文链接:https://pmc.ncbi.nlm.nih.gov/articles/PMC10206105/
Abstract

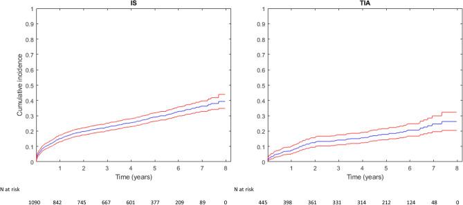
Data are scarce on long-term outcomes after ischemic stroke (IS) or transient ischemic attack (TIA). In this prospective cohort study, we examined the cumulative incidence of major adverse cardiovascular events (MACE) after IS and TIA using a competing risk model and factors associated with new events using a Cox-proportional hazard regression model. All patients discharged alive from Östersund Hospital with IS or TIA between 2010 and 2013 (n = 1535) were followed until 31 December 2017. The primary endpoint was a composite of IS, type 1 acute myocardial infarction (AMI), and cardiovascular (CV) death. Secondary endpoints were the individual components of the primary endpoint, in all patients and separated in IS and TIA subgroups. The cumulative incidence of MACE (median follow-up: 4.4 years) was 12.8% (95% CI: 11.2-14.6) within 1 year after discharge and 35.6% (95% CI: 31.8-39.4) by the end of follow-up. The risk of MACE and CV death was significantly increased in IS compared to TIA (p-values < 0.05), but not the risk of IS or type 1 AMI. Age, kidney failure, prior IS, prior AMI, congestive heart failure, atrial fibrillation, and impaired functional status, were associated with an increased risk of MACE. The risk of recurring events after IS and TIA is high. IS patients have a higher risk of MACE and CV death than TIA patients.

摘要

关于缺血性脑卒中(IS)或短暂性脑缺血发作(TIA)后长期结局的数据较为匮乏。在这项前瞻性队列研究中,我们使用竞争风险模型来评估 IS 和 TIA 后主要不良心血管事件(MACE)的累积发生率,并使用 Cox 比例风险回归模型来分析与新发事件相关的因素。所有于 2010 至 2013 年期间在厄斯特松德医院存活出院的 IS 或 TIA 患者(n=1535)均随访至 2017 年 12 月 31 日。主要终点是 IS、1 型急性心肌梗死(AMI)和心血管(CV)死亡的复合终点。次要终点是所有患者及 IS 和 TIA 亚组中主要终点的各个组成部分。MACE(中位随访时间:4.4 年)的累积发生率在出院后 1 年内为 12.8%(95%CI:11.2-14.6),在随访结束时为 35.6%(95%CI:31.8-39.4)。IS 患者发生 MACE 和 CV 死亡的风险明显高于 TIA 患者(p 值均<0.05),但 IS 或 1 型 AMI 的风险则不然。年龄、肾衰竭、既往 IS、既往 AMI、充血性心力衰竭、心房颤动和功能状态受损与 MACE 风险增加相关。IS 和 TIA 后复发事件的风险较高。IS 患者的 MACE 和 CV 死亡风险高于 TIA 患者。

https://cdn.ncbi.nlm.nih.gov/pmc/blobs/126e/10206105/f80542a12628/41598_2023_35601_Fig3_HTML.jpg
https://cdn.ncbi.nlm.nih.gov/pmc/blobs/126e/10206105/74f112895a14/41598_2023_35601_Fig1_HTML.jpg
https://cdn.ncbi.nlm.nih.gov/pmc/blobs/126e/10206105/960148763659/41598_2023_35601_Fig2_HTML.jpg
https://cdn.ncbi.nlm.nih.gov/pmc/blobs/126e/10206105/f80542a12628/41598_2023_35601_Fig3_HTML.jpg
https://cdn.ncbi.nlm.nih.gov/pmc/blobs/126e/10206105/74f112895a14/41598_2023_35601_Fig1_HTML.jpg
https://cdn.ncbi.nlm.nih.gov/pmc/blobs/126e/10206105/960148763659/41598_2023_35601_Fig2_HTML.jpg
https://cdn.ncbi.nlm.nih.gov/pmc/blobs/126e/10206105/f80542a12628/41598_2023_35601_Fig3_HTML.jpg

相似文献

1
Long-term risk of major adverse cardiovascular events following ischemic stroke or TIA.缺血性卒中和 TIA 后主要不良心血管事件的长期风险。
Sci Rep. 2023 May 23;13(1):8333. doi: 10.1038/s41598-023-35601-x.
2
Cardiovascular outcomes by time-varying New York Heart Association class among patients with obstructive hypertrophic cardiomyopathy: a retrospective cohort study.梗阻性肥厚型心肌病患者纽约心功能协会分级随时间变化的心血管结局:一项回顾性队列研究。
J Med Econ. 2023 Jan-Dec;26(1):1495-1506. doi: 10.1080/13696998.2023.2277076. Epub 2023 Nov 30.
3
A comprehensive analysis of the effects of rivaroxaban on stroke or transient ischaemic attack in patients with heart failure, coronary artery disease, and sinus rhythm: the COMMANDER HF trial.对利伐沙班在心力衰竭、冠心病和窦性心律患者中对卒中或短暂性脑缺血发作影响的综合分析:COMMANDER HF 试验。
Eur Heart J. 2019 Nov 21;40(44):3593-3602. doi: 10.1093/eurheartj/ehz427.
4
Transient ischemic attack events and incident cardiovascular and non-cardiovascular complications: Observations from a large diversified multimorbid cohort.短暂性脑缺血发作事件与心血管和非心血管并发症的发生:来自大型多样化多病种队列的观察结果。
Eur Stroke J. 2023 Mar;8(1):334-343. doi: 10.1177/23969873221146044. Epub 2022 Dec 22.
5
Major vascular events after transient ischaemic attack and minor ischaemic stroke: post hoc modelling of incidence dynamics.短暂性脑缺血发作和轻度缺血性卒中后的主要血管事件:发病动态的事后建模
Cerebrovasc Dis. 2008;25(3):225-33. doi: 10.1159/000113860. Epub 2008 Jan 24.
6
Prognostic value of the ABCD2 score beyond short-term follow-up after transient ischemic attack (TIA)--a cohort study.ABCD2 评分在短暂性脑缺血发作(TIA)后短期随访之外的预后价值——一项队列研究。
BMC Neurol. 2010 Jun 21;10:50. doi: 10.1186/1471-2377-10-50.
7
Outcomes Associated With Clopidogrel-Aspirin Use in Minor Stroke or Transient Ischemic Attack: A Pooled Analysis of Clopidogrel in High-Risk Patients With Acute Non-Disabling Cerebrovascular Events (CHANCE) and Platelet-Oriented Inhibition in New TIA and Minor Ischemic Stroke (POINT) Trials.氯吡格雷联合阿司匹林用于轻度卒中或短暂性脑缺血发作的疗效:氯吡格雷用于急性非致残性脑血管事件高危患者(CHANCE)及新发性短暂性脑缺血发作和轻度缺血性卒中血小板靶向抑制(POINT)试验的汇总分析
JAMA Neurol. 2019 Dec 1;76(12):1466-1473. doi: 10.1001/jamaneurol.2019.2531.
8
Newly Diagnosed Atrial Fibrillation After Transient Ischemic Attack Versus Minor Ischemic Stroke in the POINT Trial.在 POINT 试验中,短暂性脑缺血发作与小卒中后新发心房颤动的比较。
J Am Heart Assoc. 2021 Mar 16;10(6):e019362. doi: 10.1161/JAHA.120.019362. Epub 2021 Mar 8.
9
Impact of Previous Stroke on Clinical Outcome in Elderly Patients With Nonvalvular Atrial Fibrillation: ANAFIE Registry.既往卒中对老年非瓣膜性心房颤动患者临床转归的影响:ANA-FIE 登记研究。
Stroke. 2022 Aug;53(8):2549-2558. doi: 10.1161/STROKEAHA.121.038285. Epub 2022 Apr 20.
10
Major adverse cardiovascular events in non-valvular atrial fibrillation with chronic obstructive pulmonary disease: the ARAPACIS study.非瓣膜性心房颤动合并慢性阻塞性肺疾病患者的主要不良心血管事件:ARAPACIS 研究。
Intern Emerg Med. 2018 Aug;13(5):651-660. doi: 10.1007/s11739-018-1835-9. Epub 2018 Mar 26.

引用本文的文献

1
Trimethylamine N-oxide (TMAO) for risk stratification after acute ischemic stroke: Results from the BIOSIGNAL cohort study.急性缺血性卒中后用于风险分层的氧化三甲胺(TMAO):BIOSIGNAL队列研究结果
Eur Stroke J. 2025 Sep 7:23969873251366192. doi: 10.1177/23969873251366192.
2
Acute Cardiovascular Changes Following Cerebral Ischemia in a Non-human Primate Thromboembolic Stroke Model.非人类灵长类动物血栓栓塞性中风模型中脑缺血后的急性心血管变化
In Vivo. 2025 Jul-Aug;39(4):1992-2003. doi: 10.21873/invivo.13996.
3
Secondary prevention by striking the balance in 24-hour movement behaviour by empowering people at risk with a stroke: rationale and design of the RISE intervention randomised controlled trial.

本文引用的文献

1
Stroke-Heart Syndrome: Incidence and Clinical Outcomes of Cardiac Complications Following Stroke.卒中-心脏综合征:卒中后心脏并发症的发生率及临床结局
Stroke. 2022 May;53(5):1759-1763. doi: 10.1161/STROKEAHA.121.037316. Epub 2022 Mar 31.
2
Age-stratified and blood-pressure-stratified effects of blood-pressure-lowering pharmacotherapy for the prevention of cardiovascular disease and death: an individual participant-level data meta-analysis.降压药物治疗预防心血管疾病和死亡的年龄分层和血压分层效应:一项个体参与者水平数据的荟萃分析。
Lancet. 2021 Sep 18;398(10305):1053-1064. doi: 10.1016/S0140-6736(21)01921-8. Epub 2021 Aug 27.
3
通过使中风高危人群在24小时运动行为中达到平衡来进行二级预防:RISE干预随机对照试验的基本原理与设计
BMJ Open. 2025 Jun 5;15(6):e094894. doi: 10.1136/bmjopen-2024-094894.
4
Readmissions for Cardiac Disease Within 30 Days of Hospitalization for Cerebral Infarction: An Evaluation of the Stroke-Heart Syndrome Using the Nationwide Readmission Database.脑梗死住院30天内的心脏病再入院情况:利用全国再入院数据库对中风-心脏综合征的评估
J Cardiovasc Dev Dis. 2025 Mar 26;12(4):116. doi: 10.3390/jcdd12040116.
5
Long-Term Risk of Stroke After Transient Ischemic Attack or Minor Stroke: A Systematic Review and Meta-Analysis.短暂性脑缺血发作或轻度卒中后中风的长期风险:一项系统评价和荟萃分析。
JAMA. 2025 May 6;333(17):1508-1519. doi: 10.1001/jama.2025.2033.
6
Impaired glucose metabolism and the risk of vascular events and mortality after ischemic stroke: A systematic review and meta-analysis.葡萄糖代谢受损与缺血性脑卒中后血管事件和死亡风险:系统评价和荟萃分析。
Cardiovasc Diabetol. 2024 Aug 31;23(1):323. doi: 10.1186/s12933-024-02413-w.
7
Stroke-heart syndrome: Incidence and clinical outcomes of cardiac complications following intracerebral haemorrhage.卒中-心脏综合征:脑出血后心脏并发症的发生率及临床结局
Eur Stroke J. 2025 Mar;10(1):100-107. doi: 10.1177/23969873241264115. Epub 2024 Jul 30.
8
Outcomes after Perioperative Transient Ischemic Attack Following Cardiac Surgery.心脏手术后围手术期短暂性脑缺血发作的预后
J Cardiovasc Dev Dis. 2024 Jan 17;11(1):27. doi: 10.3390/jcdd11010027.
Nurse-based secondary preventive follow-up by telephone reduced recurrence of cardiovascular events: a randomised controlled trial.
基于护士的电话二级预防随访可降低心血管事件复发:一项随机对照试验。
Sci Rep. 2021 Aug 2;11(1):15628. doi: 10.1038/s41598-021-94892-0.
4
Statins After Ischemic Stroke in the Oldest: A Cohort Study Using the Clinical Practice Research Datalink Database.他汀类药物在老年人缺血性卒中后的应用:一项基于临床实践研究数据链数据库的队列研究。
Stroke. 2021 Apr;52(4):1244-1252. doi: 10.1161/STROKEAHA.120.030755. Epub 2021 Feb 10.
5
Five-Year Risk of Acute Myocardial Infarction After Acute Ischemic Stroke in Korea.韩国急性缺血性脑卒中后 5 年内发生急性心肌梗死的风险。
J Am Heart Assoc. 2021 Jan 5;10(1):e018807. doi: 10.1161/JAHA.120.018807. Epub 2020 Dec 29.
6
Long-term trends in death and dependence after ischaemic strokes: A retrospective cohort study using the South London Stroke Register (SLSR).缺血性中风后死亡和依赖的长期趋势:使用南伦敦中风登记处(SLSR)的回顾性队列研究。
PLoS Med. 2020 Mar 12;17(3):e1003048. doi: 10.1371/journal.pmed.1003048. eCollection 2020 Mar.
7
First-ever ischemic stroke and increased risk of incident heart disease in older adults.老年人首次缺血性中风和增加的新发心脏病风险。
Neurology. 2020 Apr 14;94(15):e1559-e1570. doi: 10.1212/WNL.0000000000009234. Epub 2020 Mar 10.
8
First-Ever Ischemic Stroke and Incident Major Adverse Cardiovascular Events in 93 627 Older Women and Men.93627 名老年女性和男性中首例缺血性中风和主要不良心血管事件。
Stroke. 2020 Feb;51(2):387-394. doi: 10.1161/STROKEAHA.119.028066. Epub 2020 Jan 9.
9
Determinants of the decline in mortality from acute stroke in England: linked national database study of 795 869 adults.英格兰急性中风死亡率下降的决定因素:795869 名成年人的全国数据库关联研究。
BMJ. 2019 May 22;365:l1778. doi: 10.1136/bmj.l1778.
10
Recurrent ischemic stroke: Incidence, predictors, and impact on mortality.复发性缺血性卒中:发生率、预测因素及其对死亡率的影响。
Acta Neurol Scand. 2019 Jul;140(1):3-8. doi: 10.1111/ane.13093. Epub 2019 Apr 11.