University of Glasgow, Glasgow, UK.
NHS Tayside, Dundee, UK.
J Cachexia Sarcopenia Muscle. 2023 Aug;14(4):1836-1847. doi: 10.1002/jcsm.13262. Epub 2023 May 23.
Endovascular aneurysm repair (EVAR) is the most common mode of repair of abdominal aortic aneurysms (AAA) in the UK. EVAR ranges from standard infrarenal repair to complex fenestrated and branched EVAR (F/B-EVAR). Sarcopenia is defined by lower muscle mass and function, which is associated with inferior perioperative outcomes. Computed tomography-derived body composition analysis offers prognostic value in patients with cancer. Several authors have evaluated the role of body composition analysis in predicting outcomes in patients undergoing EVAR; however, the evidence base is limited by heterogeneous methodology.
Six hundred seventy-four consecutive patients (58 (8.6%) female, mean (SD) age 74.4 (6.8) years) undergoing EVAR and F/B-EVAR at three large tertiary centres were retrospectively recruited. Subcutaneous and visceral fat indices (SFI and VFI), psoas and skeletal muscle indices, and skeletal muscle density were measured at the L3 vertebral level from pre-operative computed tomographies. The maximally selected rank statistic technique was used to define optimal thresholds to predict mortality.
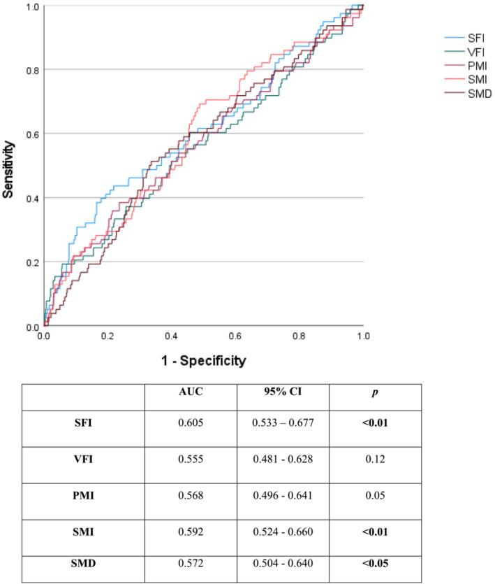
There were 191 deaths during the median follow-up period of 60.0 months. Mean (95% CI) survival in the low SMI versus high SMI subgroups was 62.6 (58.5-66.7) versus 82.0 (78.7-85.3) months (P < 0.001). Mean (95% CI) survival in the low SFI versus high SFI subgroups was 56.4 (48.2-64.7) versus 77.1 (74.2-80.1) months (P < 0.001). One-year mortality in the low SMI versus high SMI subgroups was 10% versus 3% (P < 0.001). Low SMI was associated with increased odds of one-year mortality (OR 3.19, 95% CI 1.60-6.34, P < 0.001). Five-year mortality in the low SMI versus high SMI subgroups was 55% versus 28% (P < 0.001). Low SMI was associated with increased odds of five-year mortality (OR 1.54, 95% CI 1.11-2.14, P < 0.01). On multivariate analysis of all patients, low SFI (HR 1.90, 95% CI 1.30-2.76, P < 0.001) and low SMI (HR 1.88, 95% CI 1.34-2.63, P < 0.001) were associated with poorer survival. On multivariate analysis of asymptomatic AAA patients, low SFI (HR 1.54, 95% CI 1.01-2.35, P < 0.05) and low SMI (HR 1.71, 95% CI 1.20-2.42, P < 0.01) were associated with poorer survival.
Low SMI and SFI are associated with poorer long-term survival following EVAR and F/B-EVAR. The relationship between body composition and prognosis requires further evaluation, and external validation of the thresholds proposed in patients with AAA is required.
血管内动脉瘤修复术(EVAR)是英国治疗腹主动脉瘤(AAA)最常见的方式。EVAR 从标准的肾下修复到复杂的开窗和分支 EVAR(F/B-EVAR)不等。肌肉减少症定义为肌肉量和功能降低,与围手术期不良预后相关。基于体素的 CT 体成分分析在癌症患者中具有预后价值。几位作者已经评估了体成分分析在预测 EVAR 患者预后中的作用;然而,由于方法学的异质性,证据基础有限。
回顾性招募了三家大型三级中心的 674 例连续患者(58 例女性,平均年龄(SD)74.4(6.8)岁),他们接受了 EVAR 和 F/B-EVAR。从术前 CT 上 L3 椎体水平测量皮下和内脏脂肪指数(SFI 和 VFI)、腰大肌和骨骼肌指数以及骨骼肌密度。使用最大选择秩统计技术定义预测死亡率的最佳阈值。
在中位 60.0 个月的随访期间,有 191 例死亡。低 SMI 组与高 SMI 组的平均(95%CI)生存率分别为 62.6(58.5-66.7)个月与 82.0(78.7-85.3)个月(P<0.001)。低 SFI 组与高 SFI 组的平均(95%CI)生存率分别为 56.4(48.2-64.7)个月与 77.1(74.2-80.1)个月(P<0.001)。低 SMI 组与高 SMI 组的 1 年死亡率分别为 10%与 3%(P<0.001)。低 SMI 与 1 年死亡率的增加相关(OR 3.19,95%CI 1.60-6.34,P<0.001)。低 SMI 组与高 SMI 组的 5 年死亡率分别为 55%与 28%(P<0.001)。低 SMI 与 5 年死亡率的增加相关(OR 1.54,95%CI 1.11-2.14,P<0.01)。在所有患者的多变量分析中,低 SFI(HR 1.90,95%CI 1.30-2.76,P<0.001)和低 SMI(HR 1.88,95%CI 1.34-2.63,P<0.001)与生存率降低相关。在无症状 AAA 患者的多变量分析中,低 SFI(HR 1.54,95%CI 1.01-2.35,P<0.05)和低 SMI(HR 1.71,95%CI 1.20-2.42,P<0.01)与生存率降低相关。
低 SMI 和 SFI 与 EVAR 和 F/B-EVAR 后长期生存率降低相关。体成分与预后之间的关系需要进一步评估,并且需要在 AAA 患者中验证所提出的阈值的外部有效性。