Suppr超能文献

MLL3 和 TGF-β 信号基因多态性与 Stanford 型 B 主动脉夹层易感性和预后结局的关联:MLL3 与 TGF-β 信号通路与 Stanford 型 B 型 AD 的关联。

Association of MLL3 and TGF-β signaling gene polymorphisms with the susceptibility and prognostic outcomes of Stanford type B aortic dissection : MLL3 with TGF-β signal pathway association with Stanford type B AD.

机构信息

Department of Cardiology, The Seventh Affiliated Hospital of Sun Yat-sen University, Shenzhen, China.

Faculty of Forensic Medicine, Zhongshan School of Medicine, Sun Yat-sen University, Guangzhou, China.

出版信息

BMC Cardiovasc Disord. 2023 May 24;23(1):275. doi: 10.1186/s12872-023-03287-8.

Abstract

OBJECTIVE

This study aims to investigate the association of lysine methyltransferase 2 C (MLL3) and transforming growth factor β (TGF-β) signaling-related gene polymorphisms with the susceptibility of Stanford type B aortic dissection (AD) and its clinical prognostic outcomes. The methods involved investigating the MLL3 (rs10244604, rs6963460, rs1137721), TGFβ1 (rs1800469), TGFβ2 (rs900), TGFR1 (rs1626340) and TGFR2 (rs4522809) gene polymorphisms. Logistic regression was performed to investigate the association between 7 single nucleotide gene polymorphisms (SNPs) and Stanford type B aortic dissection. The GMDR software was used to analyze gene-gene and gene-environment interactions. The odds ratio (OR) with a 95% confidence interval (CI) was employed to evaluate the association of genes and Stanford type B AD risk.

RESULTS

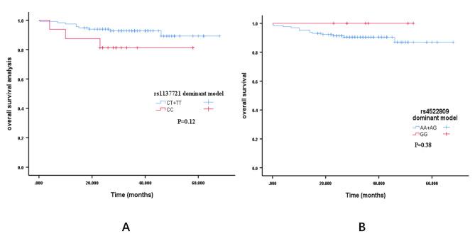
Genotypes and allele distributions in the case and control groups showed significant differences (P < 0.05). Logistic regression has shown that the Stanford Type B AD risk was highest in individuals with the rs1137721 CT genotype (OR = 4.33, 95% CI = 1.51-12.40). Additionally, WBC, drinking, hypertension, triglycerides (TG), and low-density lipoprotein (LDL-C) were independent risk factors for Stanford Type B AD. Logistic regression showed that the Stanford Type B AD risk was highest in individuals with the MLL3 (rs1137721)-TT + CT and TGFβ1 (rs4522809)-AA genotype (OR = 6.72, 95% CI = 1.56-29.84), and lowest in those with the MLL3 (rs1137721)-CC and TGFβ1 (rs4522809)-AA + GG genotype (OR = 4.38, 95% CI = 0.92-20.83). However, the 55-month median long-term follow-up did not show statistical significance.

CONCLUSION

Carriers of both TT + CT of MLL3 (rs1137721) and AA of TGFβ1 (rs4522809) polymorphisms may be closely related to the development of Stanford type B AD. MLL3 (rs1137721), WBC, and TG/TC were found to be associated with the morbidity of Stanford type B AD. MLL3 (KMT2C) is associated with the TGF-β signaling pathway protein. The risk of Stanford type B AD is related to the interactions of gene-gene and gene-environment.

摘要

目的

本研究旨在探讨赖氨酸甲基转移酶 2C(MLL3)和转化生长因子 β(TGF-β)信号相关基因多态性与 Stanford 型 B 型主动脉夹层(AD)易感性及其临床预后结局的关系。方法:研究 MLL3(rs10244604、rs6963460、rs1137721)、TGFβ1(rs1800469)、TGFβ2(rs900)、TGFβR1(rs1626340)和 TGFβR2(rs4522809)基因多态性。采用 logistic 回归分析 7 个单核苷酸基因多态性(SNP)与 Stanford 型 B 型主动脉夹层的关系。采用 GMDR 软件分析基因-基因和基因-环境相互作用。采用比值比(OR)及其 95%置信区间(CI)评估基因与 Stanford 型 B 型 AD 风险的关系。

结果

病例组和对照组的基因型和等位基因分布差异有统计学意义(P < 0.05)。logistic 回归分析显示,rs1137721 CT 基因型个体的 Stanford Type B AD 风险最高(OR = 4.33,95%CI = 1.51-12.40)。白细胞计数(WBC)、饮酒、高血压、甘油三酯(TG)、低密度脂蛋白(LDL-C)是 Stanford Type B AD 的独立危险因素。logistic 回归分析显示,MLL3(rs1137721)-TT+CT 和 TGFβ1(rs4522809)-AA 基因型个体的 Stanford Type B AD 风险最高(OR = 6.72,95%CI = 1.56-29.84),MLL3(rs1137721)-CC 和 TGFβ1(rs4522809)-AA+GG 基因型个体的 Stanford Type B AD 风险最低(OR = 4.38,95%CI = 0.92-20.83)。然而,55 个月的中位长期随访未显示统计学意义。

结论

MLL3(rs1137721)TT+CT 和 TGFβ1(rs4522809)AA 携带者可能与 Stanford 型 B 型主动脉夹层的发生发展密切相关。MLL3(rs1137721)、白细胞计数和 TG/TC 与 Stanford 型 B 型 AD 的发病有关。MLL3(KMT2C)与 TGF-β 信号通路蛋白有关。Stanford 型 B 型 AD 的风险与基因-基因和基因-环境的相互作用有关。

https://cdn.ncbi.nlm.nih.gov/pmc/blobs/6455/10210388/be1f3ecfbd77/12872_2023_3287_Figa_HTML.jpg

相似文献

6
The association of transforming growth factor beta 1 gene polymorphisms with arthritis: a systematic review and meta-analysis.
Clin Exp Med. 2021 May;21(2):331-340. doi: 10.1007/s10238-020-00678-5. Epub 2021 Jan 8.
7
The CC genotype of transforming growth factor-β1 increases the risk of late-onset Alzheimer's disease and is associated with AD-related depression.
Eur Neuropsychopharmacol. 2012 Apr;22(4):281-9. doi: 10.1016/j.euroneuro.2011.08.006. Epub 2011 Sep 15.
8
Polymorphisms of VEGF, TGFβ1, TGFβR2 and conotruncal heart defects in a Chinese population.
Mol Biol Rep. 2014 Mar;41(3):1763-70. doi: 10.1007/s11033-014-3025-9. Epub 2014 Jan 18.
10
MMP-2 gene polymorphisms are associated with type A aortic dissection and aortic diameters in patients.
Medicine (Baltimore). 2016 Oct;95(42):e5175. doi: 10.1097/MD.0000000000005175.

本文引用的文献

1
Identification of Candidate Circular RNAs Underlying Intramuscular Fat Content in the Donkey.
Front Genet. 2020 Dec 9;11:587559. doi: 10.3389/fgene.2020.587559. eCollection 2020.
2
Inherited Thoracic Aortic Disease: New Insights and Translational Targets.
Circulation. 2020 May 12;141(19):1570-1587. doi: 10.1161/CIRCULATIONAHA.119.043756. Epub 2020 May 11.
3
VSMC-specific EP4 deletion exacerbates angiotensin II-induced aortic dissection by increasing vascular inflammation and blood pressure.
Proc Natl Acad Sci U S A. 2019 Apr 23;116(17):8457-8462. doi: 10.1073/pnas.1902119116. Epub 2019 Apr 4.
4
Neovascularization with chronic inflammation characterizes ascending aortic dissection.
Anatol J Cardiol. 2018 Nov;20(5):289-295. doi: 10.14744/AnatolJCardiol.2018.42223.
5
TGF-β Signaling-Related Genes and Thoracic Aortic Aneurysms and Dissections.
Int J Mol Sci. 2018 Jul 21;19(7):2125. doi: 10.3390/ijms19072125.
6
Genetic Association of Lipids and Lipid Drug Targets With Abdominal Aortic Aneurysm: A Meta-analysis.
JAMA Cardiol. 2018 Jan 1;3(1):26-33. doi: 10.1001/jamacardio.2017.4293.
7
MLL3/MLL4 are required for CBP/p300 binding on enhancers and super-enhancer formation in brown adipogenesis.
Nucleic Acids Res. 2017 Jun 20;45(11):6388-6403. doi: 10.1093/nar/gkx234.
9
Aortic dissection: medical, interventional and surgical management.
Heart. 2017 Jan 1;103(1):78-87. doi: 10.1136/heartjnl-2015-308284. Epub 2016 Oct 12.
10
Hereditary Influence in Thoracic Aortic Aneurysm and Dissection.
Circulation. 2016 Jun 14;133(24):2516-28. doi: 10.1161/CIRCULATIONAHA.116.009762.

文献AI研究员

20分钟写一篇综述,助力文献阅读效率提升50倍。

立即体验

用中文搜PubMed

大模型驱动的PubMed中文搜索引擎

马上搜索

文档翻译

学术文献翻译模型,支持多种主流文档格式。

立即体验