Maharjan Rameswor, Hong Seoyeon, Ahn Jeongjoon, Yoon Youngnam, Jang Yunwoo, Kim Jungin, Lee Myounghee, Park Kido, Yi Hwijong
Crop Production Technology Research Division, Department of Southern Area Crop Science, National Institute of Crop Science, Rural Development Administration, Miryang 50424, Republic of Korea.
Research Institute of Climate Change and Agriculture, National Institute of Crop Science, Rural Development Administration, Jeju 63240, Republic of Korea.
Insects. 2023 Apr 26;14(5):412. doi: 10.3390/insects14050412.
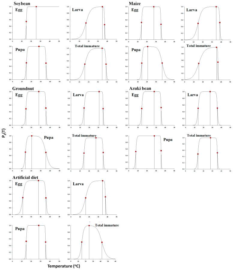
The tobacco cutworm, (Fabricius) (Lepidoptera: Noctuidae), is one of the most serious pests in field crops, vegetables, and ornamentals. Temperatures (15, 20, 25, 27, 30, 35, and 40 °C), host plants (soybean ( (L.)), maize ( L.), groundnut ( L.) and azuki bean ( (Willd.) Ohwi & H. Ohashi,), and the artificial diet-dependent developmental parameters and survival of were examined in this study. Stage-specific parameters such as threshold development temperature (LDT) and thermal constant (K) (Degree day (DD)) were determined by linear and nonlinear models (Sharpe-Schoolfield-Ikemoto), respectively. The total developmental time (egg-adult) decreased with increasing temperature on host plants and with an artificial diet. The total immature developmental time varied from 106.29, 107.57, 130.40, 111.82, and 103.66 days at 15 °C to 22.47, 21.25, 25.31, 18.30, and 22.50 days at 35 °C on soybean, maize, groundnut, azuki bean, and artificial diet, respectively. The LDT for the total immature completion was 7.50, 9.48, 11.44, 12.32, and 7.95 °C on soybean, maize, groundnut, azuki bean, and artificial diet, respectively. The K for the total immature completion was 587.88, 536.84, 517.45, 419.44, and 586.95 DD on soybean, maize, groundnut, azuki bean, and artificial diet, respectively. Temperature and host plant interaction also influenced the longevity and survival of adults. The findings of this study can be used to predict the number of generations, spring emergence, and population dynamics of . The nutrient content analysis of the host plants is discussed in terms of the developmental patterns of .
烟草夜蛾,(法布里修斯)(鳞翅目:夜蛾科),是大田作物、蔬菜和观赏植物中最严重的害虫之一。本研究考察了温度(15、20、25、27、30、35和40℃)、寄主植物(大豆((L.))、玉米(L.)、花生(L.)和小豆((威尔德)大井和大桥))以及依赖人工饲料的烟草夜蛾发育参数和存活率。分别通过线性和非线性模型(夏普-斯库菲尔德-池本模型)确定了特定阶段参数,如发育阈值温度(LDT)和热常数(K)(度日(DD))。在寄主植物和人工饲料上,随着温度升高,总发育时间(卵-成虫)缩短。在15℃时,未成熟阶段的总发育时间在大豆、玉米、花生、小豆和人工饲料上分别为106.29、107.57、130.40、111.82和103.66天,而在35℃时分别为22.47、21.25、25.31、18.30和22.50天。在大豆、玉米、花生、小豆和人工饲料上,未成熟阶段完成发育的LDT分别为7.50、9.48、11.44、12.32和7.95℃。在大豆、玉米、花生、小豆和人工饲料上,未成熟阶段完成发育的K分别为587.88、536.84、517.45、419.44和586.95 DD。温度与寄主植物的相互作用也影响成虫的寿命和存活率。本研究结果可用于预测烟草夜蛾的代数、春季羽化和种群动态。根据烟草夜蛾的发育模式对寄主植物的营养成分进行了分析。