Suppr超能文献

非均匀圆柱壳中弯曲弹性波的分支流。

Branched flows of flexural elastic waves in non-uniform cylindrical shells.

机构信息

Faculty of Engineering and Physical Sciences, University of Southampton, Southampton, United Kingdom.

Department of Mechanical Engineering, University of Sheffield, Sheffield, United Kingdom.

出版信息

PLoS One. 2023 May 26;18(5):e0286420. doi: 10.1371/journal.pone.0286420. eCollection 2023.

Abstract

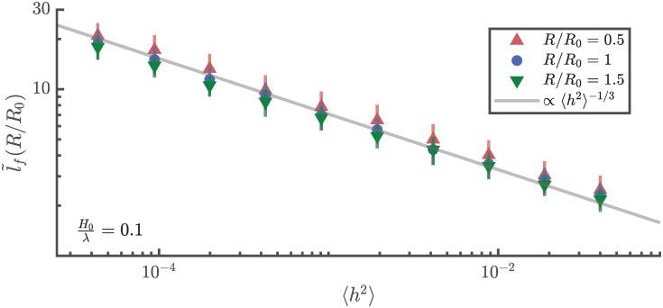
Propagation of elastic waves along the axis of cylindrical shells is of great current interest due to their ubiquitous presence and technological importance. Geometric imperfections and spatial variations of properties are inevitable in such structures. Here we report the existence of branched flows of flexural waves in such waveguides. The location of high amplitude motion, away from the launch location, scales as a power law with respect to the variance, and linearly with respect to the correlation length of the spatial variation in the bending stiffness. These scaling laws are then theoretically derived from the ray equations. Numerical integration of the ray equations also exhibit this behaviour-consistent with finite element numerical simulations as well as the theoretically derived scaling. There appears to be a universality for the exponents in the scaling with respect to similar observations in the past for waves in other physical contexts, as well as dispersive flexural waves in elastic plates.

摘要

由于其普遍存在和技术重要性,沿圆柱壳轴向传播的弹性波引起了极大的关注。在这种结构中,几何缺陷和属性的空间变化是不可避免的。在这里,我们报告了在这种波导中存在弯曲波的分支流动。高振幅运动的位置,远离发射位置,相对于方差按幂次定律变化,并且相对于弯曲刚度空间变化的相关长度按线性变化。然后从射线方程理论上推导出这些标度律。射线方程的数值积分也表现出这种行为,与有限元数值模拟以及理论推导的标度一致。在过去对其他物理背景下的波以及弹性板中的色散弯曲波的类似观察中,似乎存在关于标度的普遍性,其指数也相同。

https://cdn.ncbi.nlm.nih.gov/pmc/blobs/2dfd/10218726/7922671c37c0/pone.0286420.g001.jpg

文献AI研究员

20分钟写一篇综述,助力文献阅读效率提升50倍。

立即体验

用中文搜PubMed

大模型驱动的PubMed中文搜索引擎

马上搜索

文档翻译

学术文献翻译模型,支持多种主流文档格式。

立即体验