Suppr超能文献

运动皮层和运动前区皮层上1赫兹重复经颅磁刺激在神经加工和手部功能调制中的半球差异

Hemispheric Differences of 1 Hz rTMS over Motor and Premotor Cortex in Modulation of Neural Processing and Hand Function.

作者信息

Veldema Jitka, Nowak Dennis Alexander, Bösl Kathrin, Gharabaghi Alireza

机构信息

Department of Sport Science, Bielefeld University, 33615 Bielefeld, Germany.

Department of Neurology, VAMED Hospital Kipfenberg, 85110 Kipfenberg, Germany.

出版信息

Brain Sci. 2023 May 2;13(5):752. doi: 10.3390/brainsci13050752.

Abstract

INTRODUCTION

Non-invasive brain stimulation can modulate both neural processing and behavioral performance. Its effects may be influenced by the stimulated area and hemisphere. In this study (EC no. 09083), repetitive transcranial magnetic stimulation (rTMS) was applied to the primary motor cortex (M1) or dorsal premotor cortex (dPMC) of either the right or left hemisphere, while evaluating cortical neurophysiology and hand function.

METHODS

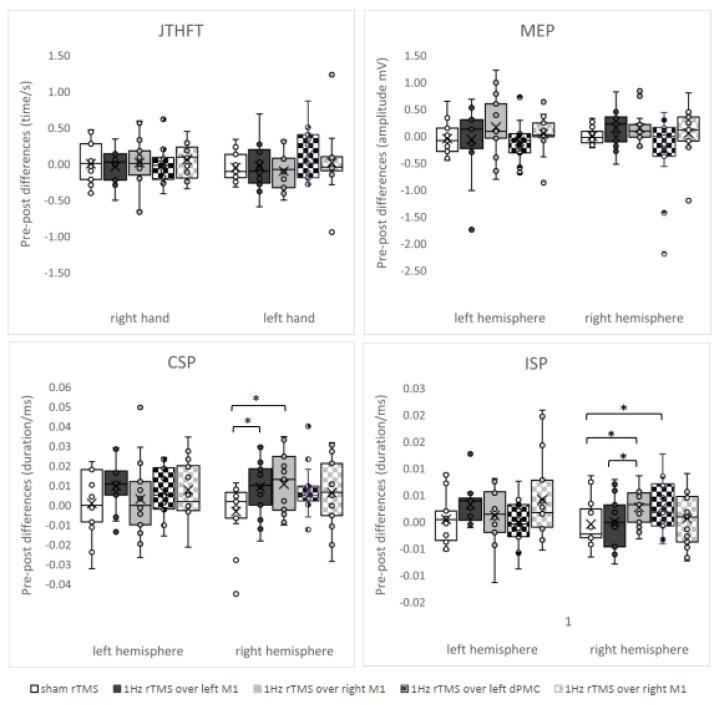
Fifteen healthy subjects participated in this placebo-controlled crossover study. Four sessions of real 1 Hz rTMS (110% of rMT, 900 pulses) over (i) left M1, (ii) right M1, (iii) left dPMC, (iv) right dPMC, and one session of (v) placebo 1 Hz rTMS (0% of rMT, 900 pulses) over the left M1 were applied in randomized order. Motor function of both hands (Jebsen-Taylor Hand Function Test (JTHFT)) and neural processing within both hemispheres (motor evoked potentials (MEPs), cortical silent period (CSP), and ipsilateral silent period (ISP)) were evaluated prior and after each intervention session.

RESULTS

A lengthening of CSP and ISP durations within the right hemisphere was induced by 1 Hz rTMS over both areas and hemispheres. No such intervention-induced neurophysiological changes were detected within the left hemisphere. Regarding JTHFT and MEP, no intervention-induced changes ensued. Changes of hand function correlated with neurophysiological changes within both hemispheres, more often for the left than the right hand.

CONCLUSIONS

Effects of 1 Hz rTMS can be better captured by neurophysiological than behavioral measures. Hemispheric differences need to be considered for this intervention.

摘要

引言

非侵入性脑刺激可调节神经处理过程和行为表现。其效果可能受刺激区域和半球的影响。在本研究(实验编号09083)中,在评估皮层神经生理学和手部功能的同时,对右半球或左半球的初级运动皮层(M1)或背侧运动前区皮层(dPMC)施加重复经颅磁刺激(rTMS)。

方法

15名健康受试者参与了这项安慰剂对照交叉研究。以随机顺序对(i)左侧M1、(ii)右侧M1、(iii)左侧dPMC、(iv)右侧dPMC进行四组1赫兹的真实rTMS刺激(运动阈值的110%,900个脉冲),并对左侧M1进行一组(v)安慰剂1赫兹rTMS刺激(运动阈值的0%,900个脉冲)。在每次干预前后评估双手的运动功能(Jebsen-Taylor手部功能测试(JTHFT))以及两个半球内的神经处理过程(运动诱发电位(MEP)、皮层静息期(CSP)和同侧静息期(ISP))。

结果

在两个区域和半球施加1赫兹rTMS均可使右半球内的CSP和ISP持续时间延长。左半球未检测到这种干预引起的神经生理学变化。关于JTHFT和MEP,未出现干预引起的变化。手部功能的变化与两个半球内的神经生理学变化相关,左手比右手更常见。

结论

与行为测量相比,神经生理学测量能更好地捕捉1赫兹rTMS的效果。进行这种干预时需要考虑半球差异。

https://cdn.ncbi.nlm.nih.gov/pmc/blobs/799c/10216797/277896703aaf/brainsci-13-00752-g001.jpg

文献AI研究员

20分钟写一篇综述,助力文献阅读效率提升50倍。

立即体验

用中文搜PubMed

大模型驱动的PubMed中文搜索引擎

马上搜索

文档翻译

学术文献翻译模型,支持多种主流文档格式。

立即体验