Suppr超能文献

合成、药理学评价及脂乌头碱-1,5-苯并二氮杂卓杂合体的分子模拟。

Synthesis, Pharmacological Evaluation, and Molecular Modeling of Lappaconitine-1,5-Benzodiazepine Hybrids.

机构信息

N.N. Vorozhtsov Novosibirsk Institute of Organic Chemistry, Siberian Branch, Russian Academy of Sciences, Lavrentjev Avenue 9, 630090 Novosibirsk, Russia.

S.Yu. Yunusov Institute of the Chemistry of Plant Substances, Academy of Sciences of the Republic of Uzbekistan, Mirzo Ulugbek Str. 77, Tashkent 100170, Uzbekistan.

出版信息

Molecules. 2023 May 22;28(10):4234. doi: 10.3390/molecules28104234.

Abstract

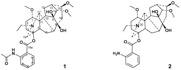
Diterpenoid alkaloids, originating from the amination of natural tetracyclic diterpenes, have long interested scientists due to their medicinal uses and infamous toxicity which has limited the clinical application of the native compound. Alkaloid lappaconitine extracted from various and species has displayed extensive bioactivities and active ongoing research to reduce its adverse effects. A convenient route to construct hybrid molecules containing diterpenoid alkaloid lappaconitine and 3-1,5-benzodiazepine fragments was proposed. The key stage involved the formation of 5'-alkynone-lappaconitines in situ by acyl Sonogashira coupling of 5'-ethynyllappaconitine, followed by cyclocondensation with -phenylenediamine. New hybrid compounds showed low toxicity and outstanding analgesic activity in experimental pain models, which depended on the nature of the substituent in the benzodiazepine nucleus. An analogous dependence was also shown for the antiarrhythmic activity in the epinephrine arrhythmia test in vivo. Studies on the isolated atrium have shown that the mechanism of action of the new compounds is included the blockade of beta-adrenergic receptors and potassium channels. Molecular docking analysis was conducted to determine the binding potential of target molecules with the voltage-gated sodium channel NaV1.5. All obtained results provide a basis for future rational modifications of lappaconitine, reducing side effects, while retaining its therapeutic effects.

摘要

二萜生物碱来源于天然四环二萜的胺化反应,由于其药用价值和臭名昭著的毒性,一直引起科学家的兴趣,这限制了天然化合物的临床应用。从各种 和 物种中提取的生物碱 乌头碱显示出广泛的生物活性,并且正在进行积极的研究以减少其不良反应。提出了一种构建含有二萜生物碱乌头碱和 3-1,5-苯并二氮杂 片段的杂合分子的便捷途径。关键阶段涉及通过 5'-乙炔基乌头碱的酰基 Sonogashira 偶联原位形成 5'-炔酮-乌头碱,然后与 -苯二胺环缩合。新的杂合化合物在实验性疼痛模型中表现出低毒性和出色的镇痛活性,这取决于苯并二氮杂 核中取代基的性质。在体内肾上腺素心律失常试验中也显示出类似的抗心律失常活性。对分离的心房的研究表明,新化合物的作用机制包括阻断β-肾上腺素能受体和钾通道。进行了分子对接分析,以确定靶分子与电压门控钠通道 NaV1.5 的结合潜力。所有获得的结果为未来合理修饰乌头碱提供了基础,减少了副作用,同时保留了其治疗效果。

https://cdn.ncbi.nlm.nih.gov/pmc/blobs/69a8/10223824/4f85750780c2/molecules-28-04234-g001.jpg

文献AI研究员

20分钟写一篇综述,助力文献阅读效率提升50倍。

立即体验

用中文搜PubMed

大模型驱动的PubMed中文搜索引擎

马上搜索

文档翻译

学术文献翻译模型,支持多种主流文档格式。

立即体验