Nie Li, Hua Wei, Liu Xiuying, Pang Xinghuo, Guo Caiping, Zhang Wei, Tian Yakun, Qiu Qian
Beijing Center for Disease Prevention and Control, Beijing 100013, China.
Clinical and Research Center for Infectious Diseases, Beijing Youan Hospital, Capital Medical University, Beijing 100069, China.
Vaccines (Basel). 2023 Apr 29;11(5):921. doi: 10.3390/vaccines11050921.
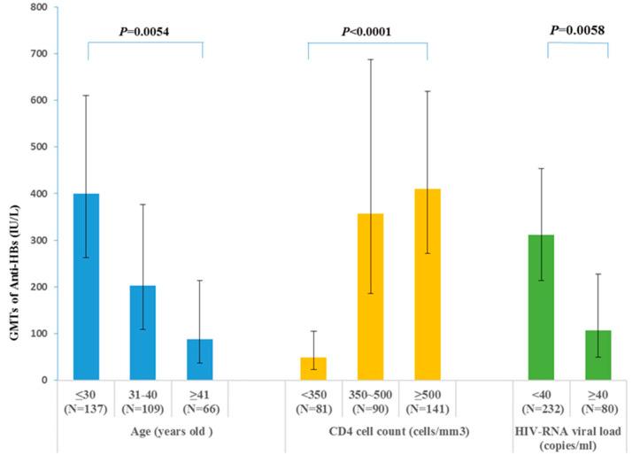
Hepatitis B (HB) vaccination is recommended for people with human immunodeficiency virus/acquired immune deficiency syndrome (HIV/AIDS). We aimed to assess the immune response to the HB vaccine and associated factors using the standard vaccination schedule among people with HIV (PWH) in China. A prospective study was carried out from 2016 to 2020 in Beijing, China. PWH were given three 20 μg doses of recombinant HB vaccine at 0, 1, and 6 months. Blood samples were taken within 4-6 weeks after each dose to evaluate the anti-HBs levels. A total of 312 participants completed vaccination and serologic testing. The seroconversion (anti-HBs ≥ 10 IU/L) rates following the first, second, and third doses of the vaccine were 35.6% (95% CI: 30.3-40.9%), 55.1% (95% CI: 49.6-60.7%), and 86.5% (95% CI: 82.8-90.3%), respectively, and the geometric means of the anti-HBs titers were 0.8 IU/L (95% CI: 0.5-1.6 IU/L), 15.7 IU/L (95% CI: 9.4-26.3 IU/L), and 241.0 IU/L (95% CI: 170.3-341.1 IU/L), respectively. In multivariate analysis, after three doses of vaccination, age, CD4 cell count, and HIV-RNA viral load were significantly associated with strong, moderate, and weak response, respectively. These findings confirm that these personal health conditions are related to the HB response. HB vaccination in PWH using the standard schedule was still highly effective in the context of early treatment initiation, especially among participants aged 30 years and younger.
建议人类免疫缺陷病毒/获得性免疫缺陷综合征(HIV/AIDS)患者接种乙型肝炎(HB)疫苗。我们旨在评估中国HIV感染者(PWH)按照标准疫苗接种程序接种HB疫苗后的免疫反应及相关因素。2016年至2020年在中国北京进行了一项前瞻性研究。PWH在0、1和6个月时分别接种3剂20μg重组HB疫苗。每次接种后4 - 6周采集血样以评估抗-HBs水平。共有312名参与者完成了疫苗接种和血清学检测。第一剂、第二剂和第三剂疫苗后的血清转化率(抗-HBs≥10 IU/L)分别为35.6%(95%CI:30.3 - 40.9%)、55.1%(95%CI:49.6 - 60.7%)和86.5%(95%CI:82.8 - 90.3%),抗-HBs滴度的几何平均值分别为0.8 IU/L(95%CI:0.5 - 1.6 IU/L)、15.7 IU/L(95%CI:9.4 - 26.3 IU/L)和241.0 IU/L(95%CI:170.3 - 341.1 IU/L)。多因素分析显示,接种三剂疫苗后,年龄、CD4细胞计数和HIV-RNA病毒载量分别与强、中和弱反应显著相关。这些发现证实这些个人健康状况与HB反应相关。在早期开始治疗的情况下,按照标准程序为PWH接种HB疫苗仍然非常有效,尤其是在30岁及以下的参与者中。