Faculty of Pharmacy, Department of Pharmacology and Biochemistry, Delta University for Science and Technology, Gamasa City, Egypt.
Faculty of Pharmacy, PharmD Program, University of Tabuk, Tabuk, Saudi Arabia.
Redox Rep. 2023 Dec;28(1):2218679. doi: 10.1080/13510002.2023.2218679.
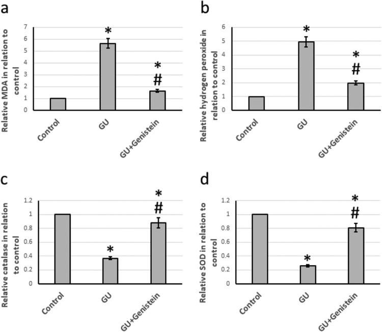
Gastric ulcer (GU) is a prevalent chronic digestive disease affecting about 10% of the world's population leading to gastrointestinal perforation and bleeding. Genistein is a legume flavonoid with antioxidants, anti-inflammatory and antibacterial activities. Therefore, we aimed to investigate the ability of genistein to reduce experimentally induced GU in rats by affecting gastric tissue fibrosis Wnt/β-catenin/TGF-β/SMAD4 pathway.
Thirty rats were used. Ten rats served as control, and GU was induced in twenty rats using a single dose of indomethacin (80 mg/kg) orally. Following induction of GU, ten were treated with genistein 25 mg/kg orally. The gastric tissues were isolated to investigate markers of gastric fibrosis, Wnt, β-catenin, transforming growth factor (TGF)-β, SMAD4, and Protein kinase B (PKB). In addition, gastric sections were stained with PAS and anti-TGF-β antibodies.
Investigation GU micro-images revealed degeneration in both surface cells and glandular epithelial cells, which was improved by genistein. In addition, treatment with genistein significantly reduced the expression of Wnt, β-catenin, TGF-β, SMAD4, and PKB.
Besides antioxidant activity, genistein improves experimentally induced GU in rats, at least in part, via reduction of gastric tissue fibrosis as indicated by reduction in expression of Wnt, β-catenin, TGF-β, SMAD4, and PKB.
胃溃疡(GU)是一种常见的慢性消化疾病,影响全球约 10%的人口,导致胃肠穿孔和出血。染料木黄酮是一种具有抗氧化、抗炎和抗菌活性的豆类黄酮。因此,我们旨在研究染料木黄酮通过影响胃组织纤维化 Wnt/β-catenin/TGF-β/SMAD4 途径,减少实验诱导的大鼠 GU 的能力。
使用 30 只大鼠。10 只大鼠作为对照,20 只大鼠口服单剂量吲哚美辛(80mg/kg)诱导 GU。GU 诱导后,10 只大鼠用染料木黄酮 25mg/kg 口服治疗。分离胃组织,以研究胃纤维化、Wnt、β-catenin、转化生长因子(TGF)-β、SMAD4 和蛋白激酶 B(PKB)的标志物。此外,胃切片用 PAS 和抗 TGF-β 抗体染色。
GU 微观图像显示表面细胞和腺上皮细胞均有变性,染料木黄酮可改善这一情况。此外,染料木黄酮治疗可显著降低 Wnt、β-catenin、TGF-β、SMAD4 和 PKB 的表达。
除了抗氧化活性外,染料木黄酮还通过降低 Wnt、β-catenin、TGF-β、SMAD4 和 PKB 的表达,改善实验诱导的大鼠 GU,至少部分如此。