Suppr超能文献

沥青再生剂的海藻酸钙载体与沥青结合料的界面粘附性能

Interfacial Adhesion Property of Asphalt Binder with Calcium Alginate Carrier of Asphalt Rejuvenator.

作者信息

Li Yan, Sun Bowei, Wu Zirui, Wang Lina, Guo Xiaogang

机构信息

School of Civil Engineering and Architecture, Nanyang Normal University, Nanyang 473061, China.

School of Transportation Science and Engineering, Civil Aviation University of China, Tianjin 300300, China.

出版信息

Molecules. 2023 May 30;28(11):4447. doi: 10.3390/molecules28114447.

Abstract

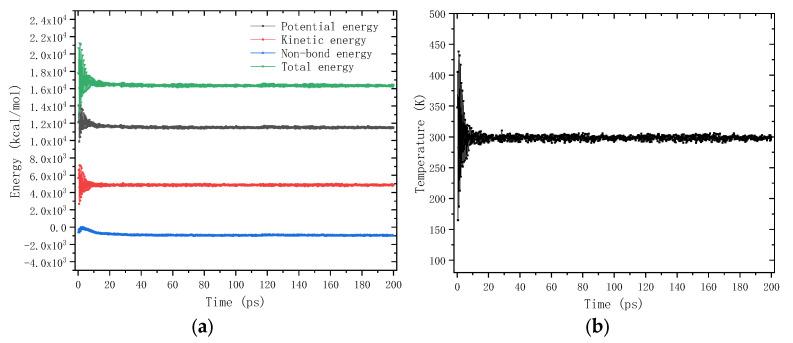
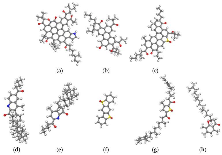
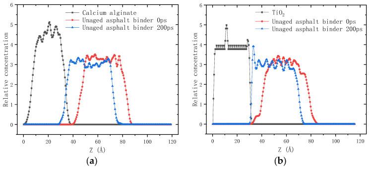
Recently calcium alginate has been successfully applied to encapsulate asphalt rejuvenator, which can protect asphalt rejuvenator from early leakage and release asphalt rejuvenator when triggered by specific factors such as cracks. The interfacial adhesion property of asphalt binder with calcium alginate carrier is of great importance to its actual performance. In this paper, the molecular model of the interface region between asphalt binder and calcium alginate was established, and molecular dynamics simulations were performed on it to investigate the molecular interaction at the interface region. By extracting and processing the data during the simulation process, the interfacial adhesion behavior was expounded using the spreading coefficient (S), permeation depth and permeation degree. Furthermore, the interfacial adhesion strength was evaluated by adopting the interfacial adhesion work. Results showed that the value of S was greater than 0, implying that asphalt binder could wet the surface of calcium alginate. Saturate had the highest value of permeation degree, followed by resin, aromatic and asphaltene. However, asphalt binder could not infiltrate into the interior of TiO, only accumulating and spreading on the surface of TiO. The interfacial adhesion work of unaged and aged asphalt binder to calcium alginate was -114.18 mJ/m and -186.37 mJ/m, respectively, similar to that of asphalt-aggregate interface. The van der Waals interactions contributed the most to the formation of the interfacial adhesion strength. In addition, a certain degree aging of asphalt binder and addition of titanium dioxide in the calcium alginate carrier were helpful to enhance the interfacial adhesion strength.

摘要

最近,海藻酸钙已成功应用于封装沥青再生剂,它可以保护沥青再生剂不提前泄漏,并在受到裂缝等特定因素触发时释放沥青再生剂。沥青结合料与海藻酸钙载体的界面粘附性能对其实际性能至关重要。本文建立了沥青结合料与海藻酸钙界面区域的分子模型,并对其进行了分子动力学模拟,以研究界面区域的分子相互作用。通过提取和处理模拟过程中的数据,利用铺展系数(S)、渗透深度和渗透程度阐述了界面粘附行为。此外,采用界面粘附功评估了界面粘附强度。结果表明,S值大于0,这意味着沥青结合料可以润湿海藻酸钙的表面。饱和分的渗透程度最高,其次是树脂、芳香分和沥青质。然而,沥青结合料无法渗透到TiO₂内部,只能在TiO₂表面堆积和铺展。未老化和老化沥青结合料与海藻酸钙的界面粘附功分别为-114.18 mJ/m²和-186.37 mJ/m²,与沥青-集料界面的相似。范德华相互作用对界面粘附强度的形成贡献最大。此外,沥青结合料的一定程度老化以及在海藻酸钙载体中添加二氧化钛有助于提高界面粘附强度。

https://cdn.ncbi.nlm.nih.gov/pmc/blobs/8060/10254244/e3cb12507e8c/molecules-28-04447-g001.jpg

文献检索

告别复杂PubMed语法,用中文像聊天一样搜索,搜遍4000万医学文献。AI智能推荐,让科研检索更轻松。

立即免费搜索

文件翻译

保留排版,准确专业,支持PDF/Word/PPT等文件格式,支持 12+语言互译。

免费翻译文档

深度研究

AI帮你快速写综述,25分钟生成高质量综述,智能提取关键信息,辅助科研写作。

立即免费体验