• 文献检索
  • 文档翻译
  • 深度研究
  • 学术资讯
  • Suppr Zotero 插件Zotero 插件
  • 邀请有礼
  • 套餐&价格
  • 历史记录
应用&插件
Suppr Zotero 插件Zotero 插件浏览器插件Mac 客户端Windows 客户端微信小程序
定价
高级版会员购买积分包购买API积分包
服务
文献检索文档翻译深度研究API 文档MCP 服务
关于我们
关于 Suppr公司介绍联系我们用户协议隐私条款
关注我们

Suppr 超能文献

核心技术专利:CN118964589B侵权必究
粤ICP备2023148730 号-1Suppr @ 2026

文献检索

告别复杂PubMed语法,用中文像聊天一样搜索,搜遍4000万医学文献。AI智能推荐,让科研检索更轻松。

立即免费搜索

文件翻译

保留排版,准确专业,支持PDF/Word/PPT等文件格式,支持 12+语言互译。

免费翻译文档

深度研究

AI帮你快速写综述,25分钟生成高质量综述,智能提取关键信息,辅助科研写作。

立即免费体验

C反应蛋白/白蛋白比值与去势抵抗时间相结合可增强转移性去势抵抗性前列腺癌患者预后的预测能力。

Combination of C-reactive protein/albumin ratio and time to castration resistance enhances prediction of prognosis for patients with metastatic castration-resistant prostate cancer.

作者信息

Mitsui Yozo, Yamabe Fumito, Hori Shunsuke, Uetani Masato, Aoki Hiroshi, Sakurabayashi Kei, Okawa Mizuho, Kobayashi Hideyuki, Nagao Koichi, Nakajima Koichi

机构信息

Department of Urology, Toho University Faculty of Medicine, Tokyo, Japan.

出版信息

Front Oncol. 2023 Jun 2;13:1162820. doi: 10.3389/fonc.2023.1162820. eCollection 2023.

DOI:10.3389/fonc.2023.1162820
PMID:37333829
原文链接:https://pmc.ncbi.nlm.nih.gov/articles/PMC10272398/
Abstract

OBJECTIVE

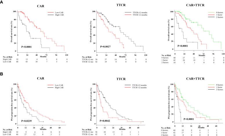
This study aimed to identify the prediction accuracy of the combination of C-reactive protein (CRP) albumin ratio (CAR) and time to castration resistance (TTCR) for overall survival (OS) following development of metastatic castration-resistant prostate cancer (mCRPC).

METHODS

Clinical data from 98 mCRPC patients treated at our institution from 2009 to 2021 were retrospectively evaluated. Optimal cutoff values for CAR and TTCR to predict lethality were generated by use of a receiver operating curve and Youden's index. The Kaplan-Meier method and Cox proportional hazard regression models for OS were used to analyze the prognostic capabilities of CAR and TTCR. Multiple multivariate Cox models were then constructed based on univariate analysis and their accuracy was validated using the concordance index.

RESULTS

The optimal cutoff values for CAR at the time of mCRPC diagnosis and TTCR were 0.48 and 12 months, respectively. Kaplan-Meier curves indicated that patients with CAR >0.48 or TTCR <12 months had a significantly worse OS (both < 0.005). Univariate analysis also identified age, hemoglobin, CRP, and performance status as candidate prognostic factors. Furthermore, a multivariate analysis model incorporating those factors and excluding CRP showed CAR and TTCR to be independent prognostic factors. This model had better prognostic accuracy as compared with that containing CRP instead of CAR. The results showed effective stratification of mCRPC patients in terms of OS based on CAR and TTCR ( < 0.0001).

CONCLUSION

Although further investigation is required, CAR and TTCR used in combination may more accurately predict mCRPC patient prognosis.

摘要

目的

本研究旨在确定C反应蛋白(CRP)与白蛋白比值(CAR)和去势抵抗时间(TTCR)相结合对转移性去势抵抗性前列腺癌(mCRPC)发生后的总生存期(OS)的预测准确性。

方法

回顾性评估了2009年至2021年在本机构接受治疗的98例mCRPC患者的临床数据。通过使用受试者工作特征曲线和尤登指数生成预测致死率的CAR和TTCR的最佳临界值。采用Kaplan-Meier法和OS的Cox比例风险回归模型分析CAR和TTCR的预后能力。然后基于单变量分析构建多个多变量Cox模型,并使用一致性指数验证其准确性。

结果

mCRPC诊断时CAR的最佳临界值和TTCR分别为0.48和12个月。Kaplan-Meier曲线表明,CAR>0.48或TTCR<12个月的患者OS明显更差(均<0.005)。单变量分析还确定年龄、血红蛋白、CRP和体能状态为候选预后因素。此外,纳入这些因素并排除CRP的多变量分析模型显示CAR和TTCR是独立的预后因素。与包含CRP而非CAR的模型相比,该模型具有更好的预后准确性。结果表明,基于CAR和TTCR可对mCRPC患者的OS进行有效的分层(<0.0001)。

结论

尽管需要进一步研究,但联合使用CAR和TTCR可能更准确地预测mCRPC患者的预后。

https://cdn.ncbi.nlm.nih.gov/pmc/blobs/9f5c/10272398/07d50207474d/fonc-13-1162820-g004.jpg
https://cdn.ncbi.nlm.nih.gov/pmc/blobs/9f5c/10272398/ae221af3ced5/fonc-13-1162820-g001.jpg
https://cdn.ncbi.nlm.nih.gov/pmc/blobs/9f5c/10272398/d7c59a355865/fonc-13-1162820-g002.jpg
https://cdn.ncbi.nlm.nih.gov/pmc/blobs/9f5c/10272398/0af6adeb5d95/fonc-13-1162820-g003.jpg
https://cdn.ncbi.nlm.nih.gov/pmc/blobs/9f5c/10272398/07d50207474d/fonc-13-1162820-g004.jpg
https://cdn.ncbi.nlm.nih.gov/pmc/blobs/9f5c/10272398/ae221af3ced5/fonc-13-1162820-g001.jpg
https://cdn.ncbi.nlm.nih.gov/pmc/blobs/9f5c/10272398/d7c59a355865/fonc-13-1162820-g002.jpg
https://cdn.ncbi.nlm.nih.gov/pmc/blobs/9f5c/10272398/0af6adeb5d95/fonc-13-1162820-g003.jpg
https://cdn.ncbi.nlm.nih.gov/pmc/blobs/9f5c/10272398/07d50207474d/fonc-13-1162820-g004.jpg

相似文献

1
Combination of C-reactive protein/albumin ratio and time to castration resistance enhances prediction of prognosis for patients with metastatic castration-resistant prostate cancer.C反应蛋白/白蛋白比值与去势抵抗时间相结合可增强转移性去势抵抗性前列腺癌患者预后的预测能力。
Front Oncol. 2023 Jun 2;13:1162820. doi: 10.3389/fonc.2023.1162820. eCollection 2023.
2
Impact of Time to Castration Resistance on Survival in Metastatic Hormone Sensitive Prostate Cancer Patients in the Era of Combination Therapies.联合治疗时代转移性激素敏感性前列腺癌患者去势抵抗时间对生存的影响
Front Oncol. 2021 Apr 23;11:659135. doi: 10.3389/fonc.2021.659135. eCollection 2021.
3
Prognostic Significance of Time to Castration Resistance in Patients With Metastatic Castration-sensitive Prostate Cancer.转移性去势敏感性前列腺癌患者出现去势抵抗的时间的预后意义
Anticancer Res. 2019 Mar;39(3):1391-1396. doi: 10.21873/anticanres.13253.
4
C reactive protein/Albumin ratio as predictor of prognosis in castration resistant metastatic prostate cancer.C 反应蛋白/白蛋白比值预测去势抵抗性转移性前列腺癌的预后。
Arch Ital Urol Androl. 2023 Jul 11;95(3):11242. doi: 10.4081/aiua.2023.11242.
5
Whole blood expression as a prognostic biomarker in metastatic hormone-sensitive and castration-resistant prostate cancer.全血表达作为转移性激素敏感性和去势抵抗性前列腺癌的预后生物标志物
Transl Androl Urol. 2021 Apr;10(4):1688-1699. doi: 10.21037/tau-20-1444.
6
Is the duration of castration resistance predictive for sequential treatment responses in the metastatic castration-resistant prostate cancer setting?去势抵抗的持续时间能否预测转移性去势抵抗性前列腺癌患者序贯治疗的反应?
J Oncol Pharm Pract. 2021 Sep;27(6):1388-1394. doi: 10.1177/1078155220951612. Epub 2020 Aug 26.
7
A retrospective study on the prognostic value of preoperative C-reactive protein to albumin ratio in patients with oral cavity squamous cell carcinoma.口腔鳞状细胞癌患者术前C反应蛋白与白蛋白比值预后价值的回顾性研究
PeerJ. 2020 Jun 16;8:e9361. doi: 10.7717/peerj.9361. eCollection 2020.
8
Prognostic Value of C-Reactive Protein, Glasgow Prognostic Score, and C-Reactive Protein-to-Albumin Ratio in Colorectal Cancer.C反应蛋白、格拉斯哥预后评分及C反应蛋白与白蛋白比值在结直肠癌中的预后价值
Front Cell Dev Biol. 2021 Oct 26;9:637650. doi: 10.3389/fcell.2021.637650. eCollection 2021.
9
Prognostic impact of C-reactive protein-albumin ratio for the lethality in castration-resistant prostate cancer.C-反应蛋白-白蛋白比值对去势抵抗性前列腺癌致死性的预后影响。
Med Oncol. 2019 Nov 21;37(1):9. doi: 10.1007/s12032-019-1332-7.
10
Novel Treatment Strategies for Low-Risk Metastatic Castration-Sensitive Prostate Cancer.低风险转移性去势敏感性前列腺癌的新型治疗策略
Cancers (Basel). 2024 Sep 19;16(18):3198. doi: 10.3390/cancers16183198.

引用本文的文献

1
Prognostic value of the HALP score in metastatic castration-resistant prostate cancer: an analysis combined with time to castration resistance.HALP评分在转移性去势抵抗性前列腺癌中的预后价值:结合去势抵抗时间的分析
Front Oncol. 2024 Dec 5;14:1431629. doi: 10.3389/fonc.2024.1431629. eCollection 2024.
2
Castration-resistant prostate cancer monitoring by cell-free circulating biomarkers.通过游离循环生物标志物监测去势抵抗性前列腺癌
Front Oncol. 2024 Sep 10;14:1394292. doi: 10.3389/fonc.2024.1394292. eCollection 2024.
3
Exploration of the causal relationship between inflammatory cytokines and prostate carcinoma: a comprehensive Mendelian randomization study.

本文引用的文献

1
Role of Interleukin-1 family in bone metastasis of prostate cancer.白细胞介素-1家族在前列腺癌骨转移中的作用
Front Oncol. 2022 Sep 27;12:951167. doi: 10.3389/fonc.2022.951167. eCollection 2022.
2
Time to castration resistance is a novel prognostic factor of cancer-specific survival in patients with nonmetastatic castration-resistant prostate cancer.去势抵抗时间是无转移去势抵抗性前列腺癌患者癌症特异性生存的一个新的预后因素。
Sci Rep. 2022 Sep 28;12(1):16202. doi: 10.1038/s41598-022-20319-z.
3
Prognostic significance of pathogenic variants in BRCA1, BRCA2, ATM and PALB2 genes in men undergoing hormonal therapy for advanced prostate cancer.
炎症细胞因子与前列腺癌因果关系的探索:一项全面的孟德尔随机化研究。
Front Oncol. 2024 Aug 29;14:1381803. doi: 10.3389/fonc.2024.1381803. eCollection 2024.
BRCA1、BRCA2、ATM 和 PALB2 基因致病性变异在接受晚期前列腺癌激素治疗的男性中的预后意义。
Br J Cancer. 2022 Nov;127(9):1680-1690. doi: 10.1038/s41416-022-01915-2. Epub 2022 Aug 19.
4
Sequencing impact and prognostic factors in metastatic castration-resistant prostate cancer patients treated with cabazitaxel: A systematic review and meta-analysis.卡巴他赛治疗转移性去势抵抗性前列腺癌患者的测序影响及预后因素:一项系统评价和荟萃分析。
Urol Oncol. 2023 Apr;41(4):177-191. doi: 10.1016/j.urolonc.2022.06.018. Epub 2022 Aug 13.
5
Genomic Biomarkers and Genome-Wide Loss-of-Heterozygosity Scores in Metastatic Prostate Cancer Following Progression on Androgen-Targeting Therapies.转移性前列腺癌在雄激素靶向治疗进展后基因组生物标志物和全基因组杂合性丢失评分。
JCO Precis Oncol. 2022 Jul;6:e2200195. doi: 10.1200/PO.22.00195.
6
Prognostic Role of Pretreatment C-Reactive Protein to Albumin Ratio in Urological Cancers: A Systematic Review and Meta-Analysis.治疗前C反应蛋白与白蛋白比值在泌尿系统癌症中的预后作用:一项系统评价和荟萃分析
Front Oncol. 2022 Apr 11;12:879803. doi: 10.3389/fonc.2022.879803. eCollection 2022.
7
Cancer statistics, 2022.癌症统计数据,2022 年。
CA Cancer J Clin. 2022 Jan;72(1):7-33. doi: 10.3322/caac.21708. Epub 2022 Jan 12.
8
Clinical significance and prognostic value of C-reactive protein/albumin ratio in gastric cancer.C反应蛋白/白蛋白比值在胃癌中的临床意义及预后价值
Ann Surg Treat Res. 2021 Jun;100(6):338-346. doi: 10.4174/astr.2021.100.6.338. Epub 2021 Jun 1.
9
Elucidating Prostate Cancer Behaviour During Treatment via Low-pass Whole-genome Sequencing of Circulating Tumour DNA.通过对循环肿瘤 DNA 进行低深度全基因组测序来阐明治疗过程中的前列腺癌行为。
Eur Urol. 2021 Aug;80(2):243-253. doi: 10.1016/j.eururo.2021.05.030. Epub 2021 Jun 5.
10
Evolution of Castration-Resistant Prostate Cancer in ctDNA during Sequential Androgen Receptor Pathway Inhibition.ctDNA 中连续雄激素受体通路抑制下前列腺癌去势抵抗的演变。
Clin Cancer Res. 2021 Aug 15;27(16):4610-4623. doi: 10.1158/1078-0432.CCR-21-1625. Epub 2021 Jun 3.