• 文献检索
  • 文档翻译
  • 深度研究
  • 学术资讯
  • Suppr Zotero 插件Zotero 插件
  • 邀请有礼
  • 套餐&价格
  • 历史记录
应用&插件
Suppr Zotero 插件Zotero 插件浏览器插件Mac 客户端Windows 客户端微信小程序
定价
高级版会员购买积分包购买API积分包
服务
文献检索文档翻译深度研究API 文档MCP 服务
关于我们
关于 Suppr公司介绍联系我们用户协议隐私条款
关注我们

Suppr 超能文献

核心技术专利:CN118964589B侵权必究
粤ICP备2023148730 号-1Suppr @ 2026

文献检索

告别复杂PubMed语法,用中文像聊天一样搜索,搜遍4000万医学文献。AI智能推荐,让科研检索更轻松。

立即免费搜索

文件翻译

保留排版,准确专业,支持PDF/Word/PPT等文件格式,支持 12+语言互译。

免费翻译文档

深度研究

AI帮你快速写综述,25分钟生成高质量综述,智能提取关键信息,辅助科研写作。

立即免费体验

早期声门型喉癌的优化放疗策略。

Optimized radiotherapy treatment strategy for early glottic carcinoma.

机构信息

Department of Radiology, Nagoya University Graduate School of Medicine, Nagoya, Japan.

Department of Radiology, Anjyo Kosei Hospital, Anjyo, Japan.

出版信息

Nagoya J Med Sci. 2023 May;85(2):241-254. doi: 10.18999/nagjms.85.2.241.

DOI:10.18999/nagjms.85.2.241
PMID:37346844
原文链接:https://pmc.ncbi.nlm.nih.gov/articles/PMC10281837/
Abstract

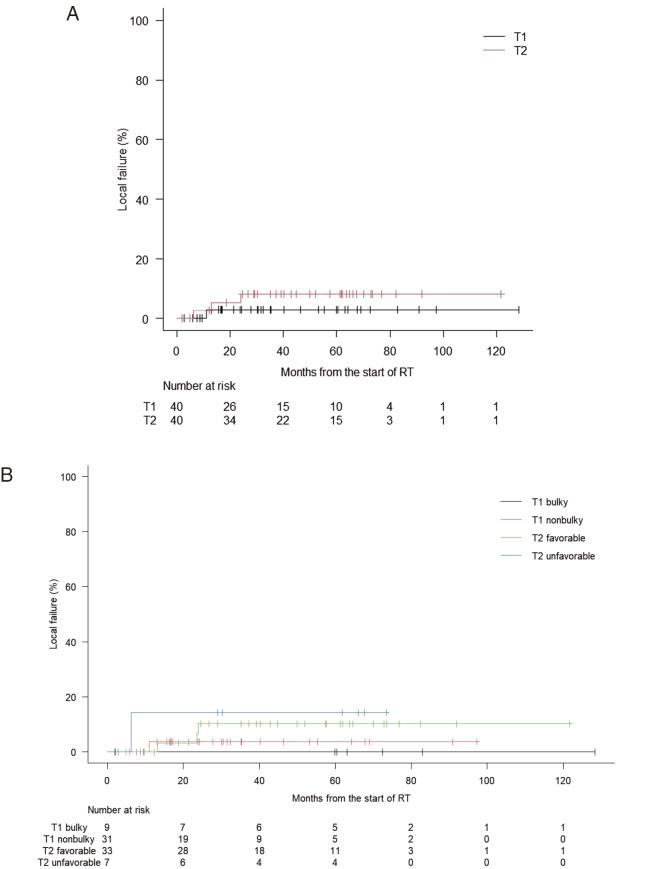
The local control rates of T1 bulky and T2 glottic carcinoma treated via radiation therapy alone are unsatisfactory; thus, we aimed to evaluate the efficacy and safety of our treatment protocol for early glottic carcinoma. Patients with early glottic squamous cell carcinoma treated via radiation therapy from January 2007 to November 2019 were reviewed. Patients were treated with: 63-67.5 Gy/28-30 fractions of radiation therapy alone for T1 non-bulky; concurrent chemoradiotherapy with S-1 and 60 Gy/30 fractions for T1 bulky and T2 favorable; and concurrent chemoradiotherapy with high-dose cisplatin and 66-70 Gy/33-35 fractions for T2 unfavorable glottic carcinoma. Local failure rates were estimated using the cumulative incidence function, overall and disease specific survival rates were estimated using Kaplan-Meier analysis, and adverse events were evaluated. Eighty patients were analyzed; the median age was 69.5 (range, 26-90) years, the median follow-up time for survivors was 40.1 (range, 1.9-128.4) months, and the 3-year local failure, disease specific survival, and overall survival rates were 5.8%, 98.3%, and 94.4%, respectively. In T1 bulky and T2 cases, the local failure rate was significantly lower in the concurrent chemoradiotherapy than in the radiation therapy alone group. Grade 3 acute dermatitis and mucositis were noted in nine and four patients, respectively. There were no acute adverse events of Grade 4 or higher, or late adverse events of Grade 2 or higher. The treatment protocol was effective and well-tolerated; thus, the efficacy of concurrent chemoradiotherapy was suggested in T1 bulky and T2 cases.

摘要

单纯放疗治疗 T1 巨块型和 T2 声门型喉癌的局部控制率不理想;因此,我们旨在评估我们治疗早期声门型喉癌的治疗方案的疗效和安全性。回顾了 2007 年 1 月至 2019 年 11 月期间接受单纯放疗治疗的早期声门型鳞状细胞癌患者。患者接受以下治疗:T1 非巨块型给予 63-67.5Gy/28-30 次分割放疗;T1 巨块型和 T2 有利型给予 S-1 同期化疗联合 60Gy/30 次分割放疗;T2 不利型声门型喉癌给予顺铂高剂量同期化疗联合 66-70Gy/33-35 次分割放疗。采用累积发生率函数估计局部失败率,采用 Kaplan-Meier 分析估计总生存率和疾病特异性生存率,评估不良反应。分析了 80 例患者;中位年龄为 69.5 岁(范围,26-90 岁),幸存者的中位随访时间为 40.1 个月(范围,1.9-128.4 个月),3 年局部失败、疾病特异性生存率和总生存率分别为 5.8%、98.3%和 94.4%。在 T1 巨块型和 T2 型病例中,同期放化疗组的局部失败率明显低于单纯放疗组。9 例和 4 例患者分别出现 3 级急性皮炎和粘膜炎。无 4 级或以上急性不良反应,或 2 级或以上迟发性不良反应。该治疗方案有效且耐受性良好;因此,建议在 T1 巨块型和 T2 型病例中采用同期放化疗。

https://cdn.ncbi.nlm.nih.gov/pmc/blobs/156f/10281837/0d2a26f8bcc7/2186-3326-85-0241-g004.jpg
https://cdn.ncbi.nlm.nih.gov/pmc/blobs/156f/10281837/06e4fbe5510a/2186-3326-85-0241-g001.jpg
https://cdn.ncbi.nlm.nih.gov/pmc/blobs/156f/10281837/016809a3f5c6/2186-3326-85-0241-g002.jpg
https://cdn.ncbi.nlm.nih.gov/pmc/blobs/156f/10281837/468a4873efe6/2186-3326-85-0241-g003.jpg
https://cdn.ncbi.nlm.nih.gov/pmc/blobs/156f/10281837/0d2a26f8bcc7/2186-3326-85-0241-g004.jpg
https://cdn.ncbi.nlm.nih.gov/pmc/blobs/156f/10281837/06e4fbe5510a/2186-3326-85-0241-g001.jpg
https://cdn.ncbi.nlm.nih.gov/pmc/blobs/156f/10281837/016809a3f5c6/2186-3326-85-0241-g002.jpg
https://cdn.ncbi.nlm.nih.gov/pmc/blobs/156f/10281837/468a4873efe6/2186-3326-85-0241-g003.jpg
https://cdn.ncbi.nlm.nih.gov/pmc/blobs/156f/10281837/0d2a26f8bcc7/2186-3326-85-0241-g004.jpg

相似文献

1
Optimized radiotherapy treatment strategy for early glottic carcinoma.早期声门型喉癌的优化放疗策略。
Nagoya J Med Sci. 2023 May;85(2):241-254. doi: 10.18999/nagjms.85.2.241.
2
Optimized treatment strategy of radiotherapy for early glottic squamous cell carcinomas: An initial analysis.早期声门鳞状细胞癌放疗的优化治疗策略:初步分析
Nagoya J Med Sci. 2017 Aug;79(3):331-338. doi: 10.18999/nagjms.79.3.331.
3
Study Protocol: Prospective Study of Concurrent Chemoradiotherapy with S-1 and Hypofractionated Radiotherapy for Outpatients with Early Glottic Squamous Cell Carcinomas.研究方案:S-1同步放化疗与超分割放疗治疗早期声门鳞状细胞癌门诊患者的前瞻性研究
Asian Pac J Cancer Prev. 2018 May 26;19(5):1195-1199. doi: 10.22034/APJCP.2018.19.5.1195.
4
Early glottic cancer treatment with concurrent chemoradiotherapy with once-daily orally administered S-1.早期声门癌采用每日一次口服S-1同步放化疗的治疗方法。
Nagoya J Med Sci. 2021 May;83(2):251-258. doi: 10.18999/nagjms.83.2.251.
5
Critical evaluation of a prospective study of concurrent chemoradiotherapy with S-1 for early glottic carcinoma.对S-1同步放化疗治疗早期声门癌前瞻性研究的批判性评价。
Anticancer Res. 2015 Apr;35(4):2385-90.
6
Concurrent chemoradiotherapy with S-1 for T2N0 glottic squamous cell carcinoma.同步放化疗联合 S-1 治疗 T2N0 声门型鳞状细胞癌。
J Radiat Res. 2010;51(4):481-4. doi: 10.1269/jrr.09134. Epub 2010 Jun 30.
7
Concurrent chemoradiotherapy with conventional fractionated radiotherapy and low-dose daily cisplatin plus weekly docetaxel for T2N0 glottic cancer.T2N0期声门癌采用常规分割放疗联合低剂量每日顺铂加每周多西他赛的同步放化疗。
Radiat Oncol. 2017 Feb 20;12(1):39. doi: 10.1186/s13014-016-0741-4.
8
Retrospective analysis: concurrent chemoradiotherapy and adjuvant chemotherapy for T2N0 glottic squamous cell carcinoma.回顾性分析:T2N0声门鳞状细胞癌的同步放化疗及辅助化疗
Fukuoka Igaku Zasshi. 2009 Jan;100(1):26-31.
9
Outcomes of radiation therapy for T1 glottic carcinoma from an Italian regional series with doses ranging from 60 to 66 Gy.来自意大利地区系列的T1声门癌放射治疗结果,剂量范围为60至66 Gy。
Tumori. 2010 Jul-Aug;96(4):577-81. doi: 10.1177/030089161009600410.
10
Effect of radiation fraction size on local control rates for early glottic carcinoma. A model analysis for in vivo tumor growth and radio-response parameters.放射分次剂量对早期声门癌局部控制率的影响。体内肿瘤生长及放射反应参数的模型分析。
Arch Otolaryngol Head Neck Surg. 1994 Jul;120(7):737-42. doi: 10.1001/archotol.1994.01880310041008.

引用本文的文献

1
Outcome of T2 Glottic Cancer Treated with Radiotherapy Alone or Concurrent Chemo-Radiotherapy.单纯放疗或同步放化疗治疗T2声门癌的疗效
Cancers (Basel). 2025 Feb 19;17(4):712. doi: 10.3390/cancers17040712.

本文引用的文献

1
Proposal for personalized treatment of early glottic cancer with radiation therapy.早期声门型喉癌放射治疗的个体化治疗建议。
Nagoya J Med Sci. 2021 Nov;83(4):663-668. doi: 10.18999/nagjms.83.4.663.
2
The Efficacy and Adverse Events in Patients with Head and Neck Cancer Following Radiotherapy Combined with S-1 Therapy: A Meta-Analysis.头颈部癌患者放疗联合S-1治疗的疗效及不良事件:一项荟萃分析
Cancers (Basel). 2021 Jun 13;13(12):2971. doi: 10.3390/cancers13122971.
3
Why Concurrent CDDP and Radiotherapy Has Synergistic Antitumor Effects: A Review of In Vitro Experimental and Clinical-Based Studies.
为什么同期顺铂和放疗具有协同抗肿瘤作用:体外实验和临床研究综述。
Int J Mol Sci. 2021 Mar 19;22(6):3140. doi: 10.3390/ijms22063140.
4
Moderate hypofractionation for early laryngeal cancer improves local control: a systematic review and meta-analysis.中分割放疗治疗早期喉癌可提高局部控制率:系统评价和荟萃分析。
Eur Arch Otorhinolaryngol. 2020 Nov;277(11):3149-3154. doi: 10.1007/s00405-020-06012-9. Epub 2020 May 6.
5
Study Protocol: Prospective Study of Concurrent Chemoradiotherapy with S-1 and Hypofractionated Radiotherapy for Outpatients with Early Glottic Squamous Cell Carcinomas.研究方案:S-1同步放化疗与超分割放疗治疗早期声门鳞状细胞癌门诊患者的前瞻性研究
Asian Pac J Cancer Prev. 2018 May 26;19(5):1195-1199. doi: 10.22034/APJCP.2018.19.5.1195.
6
Results of a multi-institutional, randomized, non-inferiority, phase III trial of accelerated fractionation versus standard fractionation in radiation therapy for T1-2N0M0 glottic cancer: Japan Clinical Oncology Group Study (JCOG0701).多机构、随机、非劣效、III 期临床试验结果:加速分割放疗与标准分割放疗治疗 T1-2N0M0 声门型癌症的比较:日本临床肿瘤学组研究(JCOG0701)。
Ann Oncol. 2018 Apr 1;29(4):992-997. doi: 10.1093/annonc/mdy036.
7
Use of Larynx-Preservation Strategies in the Treatment of Laryngeal Cancer: American Society of Clinical Oncology Clinical Practice Guideline Update.喉癌保喉治疗策略的应用:美国临床肿瘤学会临床实践指南更新。
J Clin Oncol. 2018 Apr 10;36(11):1143-1169. doi: 10.1200/JCO.2017.75.7385. Epub 2017 Nov 27.
8
Optimized treatment strategy of radiotherapy for early glottic squamous cell carcinomas: An initial analysis.早期声门鳞状细胞癌放疗的优化治疗策略:初步分析
Nagoya J Med Sci. 2017 Aug;79(3):331-338. doi: 10.18999/nagjms.79.3.331.
9
A multicenter survey of stage T1 glottic cancer treated with radiotherapy delivered in 2.25-Gy fractions in clinical practice: An initial 5-year analysis.一项关于临床实践中采用2.25 Gy分割放疗治疗T1期声门癌的多中心调查:初步5年分析。
Nagoya J Med Sci. 2016 Dec;78(4):399-406. doi: 10.18999/nagjms.78.4.399.
10
Impaired vocal cord mobility in T2N0 glottic carcinoma: Suboptimal local control with Radiation alone.T2N0声门癌患者声带活动受限:单纯放疗局部控制欠佳。
Head Neck. 2016 Dec;38(12):1832-1836. doi: 10.1002/hed.24520. Epub 2016 Jun 14.